成年轻脑膜疾病患者质子颅脊髓照射的早期体会。

IF 3.3 2区 医学 Q2 ONCOLOGY
Felix Ehret, Ammy M Yuan, Ariel E Marciscano, Stephen Zieminski, Peggy A Leland, Melin J Khandekar, Kevin S Oh, Helen A Shih
{"title":"成年轻脑膜疾病患者质子颅脊髓照射的早期体会。","authors":"Felix Ehret, Ammy M Yuan, Ariel E Marciscano, Stephen Zieminski, Peggy A Leland, Melin J Khandekar, Kevin S Oh, Helen A Shih","doi":"10.1186/s13014-025-02618-7","DOIUrl":null,"url":null,"abstract":"<p><strong>Background: </strong>Leptomeningeal disease (LMD) is a fatal complication of cancer linked to poor survival rates and limited treatment options. While photon involved-field radiotherapy is the standard of care for local palliation and symptom alleviation, it lacks durable disease control. Recent data suggest proton craniospinal irradiation (pCSI) to be a promising treatment option, potentially prolonging progression-free survival (PFS) and overall survival (OS). Herein, we report our initial experience with pCSI for treating LMD from solid malignancies.</p><p><strong>Methods: </strong>Adult patients treated with pCSI for LMD were identified, with analysis of patient, tumor, and treatment characteristics as well as clinical outcomes.</p><p><strong>Results: </strong>Nine patients were eligible for analysis who were treated between February 2023 and February 2024. The median age at pCSI and Karnofsky performance status (KPS) were 58.6 years and 80%, respectively. The primary disease was breast cancer in 33.3%, and LMD involved both the brain and spine in 55.5%. Approximately half of the patients (55.5%) had a cerebrospinal fluid diversion before treatment, and nearly all patients underwent pCSI with 30 Gy (relative biological effectiveness) in 10 fractions. All patients completed pCSI as planned. The median clinical and central nervous system (CNS) radiographic follow-up periods were both 3.5 months. Six deaths were observed during the available follow-up. The median PFS, CNS PFS, and OS were 2.7, 4.0, and 4.0 months, respectively. Younger age, higher KPS, and concurrent treatment with targeted therapy were associated with longer OS, while cases with LMD involving both the brain and spine had shorter survival. The observed toxicity was manageable, without any occurrence of grade 4 or 5 toxicity.</p><p><strong>Conclusion: </strong>pCSI can be an effective and safe treatment option for a highly selected population of patients with LMD. Further data and prospective studies are warranted to clarify its role in the management of LMD.</p>","PeriodicalId":49639,"journal":{"name":"Radiation Oncology","volume":"20 1","pages":"61"},"PeriodicalIF":3.3000,"publicationDate":"2025-04-22","publicationTypes":"Journal Article","fieldsOfStudy":null,"isOpenAccess":false,"openAccessPdf":"https://www.ncbi.nlm.nih.gov/pmc/articles/PMC12016269/pdf/","citationCount":"0","resultStr":"{\"title\":\"Early experience with proton craniospinal irradiation in adult patients with leptomeningeal disease.\",\"authors\":\"Felix Ehret, Ammy M Yuan, Ariel E Marciscano, Stephen Zieminski, Peggy A Leland, Melin J Khandekar, Kevin S Oh, Helen A Shih\",\"doi\":\"10.1186/s13014-025-02618-7\",\"DOIUrl\":null,\"url\":null,\"abstract\":\"<p><strong>Background: </strong>Leptomeningeal disease (LMD) is a fatal complication of cancer linked to poor survival rates and limited treatment options. While photon involved-field radiotherapy is the standard of care for local palliation and symptom alleviation, it lacks durable disease control. Recent data suggest proton craniospinal irradiation (pCSI) to be a promising treatment option, potentially prolonging progression-free survival (PFS) and overall survival (OS). Herein, we report our initial experience with pCSI for treating LMD from solid malignancies.</p><p><strong>Methods: </strong>Adult patients treated with pCSI for LMD were identified, with analysis of patient, tumor, and treatment characteristics as well as clinical outcomes.</p><p><strong>Results: </strong>Nine patients were eligible for analysis who were treated between February 2023 and February 2024. The median age at pCSI and Karnofsky performance status (KPS) were 58.6 years and 80%, respectively. The primary disease was breast cancer in 33.3%, and LMD involved both the brain and spine in 55.5%. Approximately half of the patients (55.5%) had a cerebrospinal fluid diversion before treatment, and nearly all patients underwent pCSI with 30 Gy (relative biological effectiveness) in 10 fractions. All patients completed pCSI as planned. The median clinical and central nervous system (CNS) radiographic follow-up periods were both 3.5 months. Six deaths were observed during the available follow-up. The median PFS, CNS PFS, and OS were 2.7, 4.0, and 4.0 months, respectively. Younger age, higher KPS, and concurrent treatment with targeted therapy were associated with longer OS, while cases with LMD involving both the brain and spine had shorter survival. The observed toxicity was manageable, without any occurrence of grade 4 or 5 toxicity.</p><p><strong>Conclusion: </strong>pCSI can be an effective and safe treatment option for a highly selected population of patients with LMD. Further data and prospective studies are warranted to clarify its role in the management of LMD.</p>\",\"PeriodicalId\":49639,\"journal\":{\"name\":\"Radiation Oncology\",\"volume\":\"20 1\",\"pages\":\"61\"},\"PeriodicalIF\":3.3000,\"publicationDate\":\"2025-04-22\",\"publicationTypes\":\"Journal Article\",\"fieldsOfStudy\":null,\"isOpenAccess\":false,\"openAccessPdf\":\"https://www.ncbi.nlm.nih.gov/pmc/articles/PMC12016269/pdf/\",\"citationCount\":\"0\",\"resultStr\":null,\"platform\":\"Semanticscholar\",\"paperid\":null,\"PeriodicalName\":\"Radiation Oncology\",\"FirstCategoryId\":\"3\",\"ListUrlMain\":\"https://doi.org/10.1186/s13014-025-02618-7\",\"RegionNum\":2,\"RegionCategory\":\"医学\",\"ArticlePicture\":[],\"TitleCN\":null,\"AbstractTextCN\":null,\"PMCID\":null,\"EPubDate\":\"\",\"PubModel\":\"\",\"JCR\":\"Q2\",\"JCRName\":\"ONCOLOGY\",\"Score\":null,\"Total\":0}","platform":"Semanticscholar","paperid":null,"PeriodicalName":"Radiation Oncology","FirstCategoryId":"3","ListUrlMain":"https://doi.org/10.1186/s13014-025-02618-7","RegionNum":2,"RegionCategory":"医学","ArticlePicture":[],"TitleCN":null,"AbstractTextCN":null,"PMCID":null,"EPubDate":"","PubModel":"","JCR":"Q2","JCRName":"ONCOLOGY","Score":null,"Total":0}
引用次数: 0

摘要

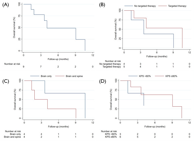
背景:轻脑膜病(LMD)是一种致命的癌症并发症,与低生存率和有限的治疗选择有关。虽然光子牵涉场放射治疗是局部缓解和症状缓解的标准护理,但它缺乏持久的疾病控制。最近的数据表明,质子颅脊髓照射(pCSI)是一种有希望的治疗选择,可能延长无进展生存期(PFS)和总生存期(OS)。在此,我们报告用pCSI治疗来自实体恶性肿瘤的LMD的初步经验。方法:选取经pCSI治疗LMD的成年患者,分析患者、肿瘤、治疗特点及临床结果。结果:在2023年2月至2024年2月期间接受治疗的9例患者符合分析条件。pCSI和Karnofsky性能状态(KPS)的中位年龄分别为58.6岁和80%。原发性乳腺癌占33.3%,同时累及脑和脊柱的LMD占55.5%。大约一半的患者(55.5%)在治疗前进行了脑脊液转移,几乎所有患者都进行了10次30 Gy(相对生物有效性)的pCSI。所有患者均按计划完成pCSI。临床和中枢神经系统影像学随访的中位时间均为3.5个月。在可获得的随访期间观察到6例死亡。中位PFS、CNS PFS和OS分别为2.7、4.0和4.0个月。年龄越小、KPS越高、同时进行靶向治疗的患者生存期越长,而同时累及脑和脊柱的LMD患者生存期越短。观察到的毒性是可控的,没有发生任何4级或5级毒性。结论:pCSI是一种有效且安全的治疗方法,适用于高度选择性的LMD患者。需要进一步的数据和前瞻性研究来阐明其在LMD治疗中的作用。
本文章由计算机程序翻译,如有差异,请以英文原文为准。

Early experience with proton craniospinal irradiation in adult patients with leptomeningeal disease.

Early experience with proton craniospinal irradiation in adult patients with leptomeningeal disease.

Early experience with proton craniospinal irradiation in adult patients with leptomeningeal disease.

Early experience with proton craniospinal irradiation in adult patients with leptomeningeal disease.

Background: Leptomeningeal disease (LMD) is a fatal complication of cancer linked to poor survival rates and limited treatment options. While photon involved-field radiotherapy is the standard of care for local palliation and symptom alleviation, it lacks durable disease control. Recent data suggest proton craniospinal irradiation (pCSI) to be a promising treatment option, potentially prolonging progression-free survival (PFS) and overall survival (OS). Herein, we report our initial experience with pCSI for treating LMD from solid malignancies.

Methods: Adult patients treated with pCSI for LMD were identified, with analysis of patient, tumor, and treatment characteristics as well as clinical outcomes.

Results: Nine patients were eligible for analysis who were treated between February 2023 and February 2024. The median age at pCSI and Karnofsky performance status (KPS) were 58.6 years and 80%, respectively. The primary disease was breast cancer in 33.3%, and LMD involved both the brain and spine in 55.5%. Approximately half of the patients (55.5%) had a cerebrospinal fluid diversion before treatment, and nearly all patients underwent pCSI with 30 Gy (relative biological effectiveness) in 10 fractions. All patients completed pCSI as planned. The median clinical and central nervous system (CNS) radiographic follow-up periods were both 3.5 months. Six deaths were observed during the available follow-up. The median PFS, CNS PFS, and OS were 2.7, 4.0, and 4.0 months, respectively. Younger age, higher KPS, and concurrent treatment with targeted therapy were associated with longer OS, while cases with LMD involving both the brain and spine had shorter survival. The observed toxicity was manageable, without any occurrence of grade 4 or 5 toxicity.

Conclusion: pCSI can be an effective and safe treatment option for a highly selected population of patients with LMD. Further data and prospective studies are warranted to clarify its role in the management of LMD.

求助全文
通过发布文献求助,成功后即可免费获取论文全文。 去求助
来源期刊
Radiation Oncology
Radiation Oncology ONCOLOGY-RADIOLOGY, NUCLEAR MEDICINE & MEDICAL IMAGING
CiteScore
6.50
自引率
2.80%
发文量
181
审稿时长
3-6 weeks
期刊介绍: Radiation Oncology encompasses all aspects of research that impacts on the treatment of cancer using radiation. It publishes findings in molecular and cellular radiation biology, radiation physics, radiation technology, and clinical oncology.
×
引用
GB/T 7714-2015
复制
MLA
复制
APA
复制
导出至
BibTeX EndNote RefMan NoteFirst NoteExpress
×
提示
您的信息不完整,为了账户安全,请先补充。
现在去补充
×
提示
您因"违规操作"
具体请查看互助需知
我知道了
×
提示
确定
请完成安全验证×
copy
已复制链接
快去分享给好友吧!
我知道了
右上角分享
点击右上角分享
0
联系我们:info@booksci.cn Book学术提供免费学术资源搜索服务,方便国内外学者检索中英文文献。致力于提供最便捷和优质的服务体验。 Copyright © 2023 布克学术 All rights reserved.
京ICP备2023020795号-1
ghs 京公网安备 11010802042870号
Book学术文献互助
Book学术文献互助群
群 号:604180095
Book学术官方微信