talquetamab是一种人源化GPRC5D x CD3双特异性抗体,用于日本复发/难治性MM患者的i期研究。

IF 1.8 4区 医学 Q3 HEMATOLOGY
International Journal of Hematology Pub Date : 2025-09-01 Epub Date: 2025-05-09 DOI:10.1007/s12185-025-03991-5
Shinsuke Iida, Kazutaka Sunami, Shigeki Ito, Junichiro Yuda, Ei Fujikawa, Mikihiro Takamoto, Kensuke Aida, Hiroshi Yamazaki, Marimo Takahashi, Tadao Ishida
{"title":"talquetamab是一种人源化GPRC5D x CD3双特异性抗体,用于日本复发/难治性MM患者的i期研究。","authors":"Shinsuke Iida, Kazutaka Sunami, Shigeki Ito, Junichiro Yuda, Ei Fujikawa, Mikihiro Takamoto, Kensuke Aida, Hiroshi Yamazaki, Marimo Takahashi, Tadao Ishida","doi":"10.1007/s12185-025-03991-5","DOIUrl":null,"url":null,"abstract":"<p><p>The bispecific antibody talquetamab demonstrated substantial responses in heavily pretreated relapsed or refractory multiple myeloma (RRMM) in the global phase 1/2 MonumenTAL-1 study. This study, evaluated the safety and efficacy of talquetamab in Japanese patients with RRMM pretreated with a proteasome inhibitor, immunomodulatory drug, and anti-CD38 monoclonal antibody. The primary endpoints were frequency and type of treatment-emergent adverse events (TEAEs) and serious AEs including dose-limiting toxicity (DLT). The secondary endpoints were overall response (ORR; partial response or better), duration of, and time to response. At data cutoff, 15 patients had received subcutaneous talquetamab at three doses (Cohort 1: 135 µg/kg weekly [QW, n = 4]; Cohort 2: 400 µg/kg [QW, n = 5]; Cohort 3: 800 µg/kg [Q2W, n = 6]). No DLTs, deaths, or AE-related dose reductions/treatment discontinuation were observed. Common TEAEs were neutropenia (60.0%), lymphopenia (53.3%), and CRS (46.7%). TEAEs of clinical interest (all Grade ≤ 2) were dysgeusia, skin toxicity, nail disorder, and dry mouth. With an overall median follow-up of 9.0 months, the ORR was 60.0% (95% confidence interval 32.3%, 83.7%). Talquetamab showed substantial responses in Japanese patients with RRMM, consistent with the global MonumenTAL-1 study, supporting its potential as a new standard of care for Japanese RRMM patients.</p>","PeriodicalId":13992,"journal":{"name":"International Journal of Hematology","volume":" ","pages":"421-433"},"PeriodicalIF":1.8000,"publicationDate":"2025-09-01","publicationTypes":"Journal Article","fieldsOfStudy":null,"isOpenAccess":false,"openAccessPdf":"https://www.ncbi.nlm.nih.gov/pmc/articles/PMC12380926/pdf/","citationCount":"0","resultStr":"{\"title\":\"Phase 1 study of talquetamab, a humanized GPRC5D x CD3 bispecific antibody, in Japanese patients with relapsed/refractory MM.\",\"authors\":\"Shinsuke Iida, Kazutaka Sunami, Shigeki Ito, Junichiro Yuda, Ei Fujikawa, Mikihiro Takamoto, Kensuke Aida, Hiroshi Yamazaki, Marimo Takahashi, Tadao Ishida\",\"doi\":\"10.1007/s12185-025-03991-5\",\"DOIUrl\":null,\"url\":null,\"abstract\":\"<p><p>The bispecific antibody talquetamab demonstrated substantial responses in heavily pretreated relapsed or refractory multiple myeloma (RRMM) in the global phase 1/2 MonumenTAL-1 study. This study, evaluated the safety and efficacy of talquetamab in Japanese patients with RRMM pretreated with a proteasome inhibitor, immunomodulatory drug, and anti-CD38 monoclonal antibody. The primary endpoints were frequency and type of treatment-emergent adverse events (TEAEs) and serious AEs including dose-limiting toxicity (DLT). The secondary endpoints were overall response (ORR; partial response or better), duration of, and time to response. At data cutoff, 15 patients had received subcutaneous talquetamab at three doses (Cohort 1: 135 µg/kg weekly [QW, n = 4]; Cohort 2: 400 µg/kg [QW, n = 5]; Cohort 3: 800 µg/kg [Q2W, n = 6]). No DLTs, deaths, or AE-related dose reductions/treatment discontinuation were observed. Common TEAEs were neutropenia (60.0%), lymphopenia (53.3%), and CRS (46.7%). TEAEs of clinical interest (all Grade ≤ 2) were dysgeusia, skin toxicity, nail disorder, and dry mouth. With an overall median follow-up of 9.0 months, the ORR was 60.0% (95% confidence interval 32.3%, 83.7%). Talquetamab showed substantial responses in Japanese patients with RRMM, consistent with the global MonumenTAL-1 study, supporting its potential as a new standard of care for Japanese RRMM patients.</p>\",\"PeriodicalId\":13992,\"journal\":{\"name\":\"International Journal of Hematology\",\"volume\":\" \",\"pages\":\"421-433\"},\"PeriodicalIF\":1.8000,\"publicationDate\":\"2025-09-01\",\"publicationTypes\":\"Journal Article\",\"fieldsOfStudy\":null,\"isOpenAccess\":false,\"openAccessPdf\":\"https://www.ncbi.nlm.nih.gov/pmc/articles/PMC12380926/pdf/\",\"citationCount\":\"0\",\"resultStr\":null,\"platform\":\"Semanticscholar\",\"paperid\":null,\"PeriodicalName\":\"International Journal of Hematology\",\"FirstCategoryId\":\"3\",\"ListUrlMain\":\"https://doi.org/10.1007/s12185-025-03991-5\",\"RegionNum\":4,\"RegionCategory\":\"医学\",\"ArticlePicture\":[],\"TitleCN\":null,\"AbstractTextCN\":null,\"PMCID\":null,\"EPubDate\":\"2025/5/9 0:00:00\",\"PubModel\":\"Epub\",\"JCR\":\"Q3\",\"JCRName\":\"HEMATOLOGY\",\"Score\":null,\"Total\":0}","platform":"Semanticscholar","paperid":null,"PeriodicalName":"International Journal of Hematology","FirstCategoryId":"3","ListUrlMain":"https://doi.org/10.1007/s12185-025-03991-5","RegionNum":4,"RegionCategory":"医学","ArticlePicture":[],"TitleCN":null,"AbstractTextCN":null,"PMCID":null,"EPubDate":"2025/5/9 0:00:00","PubModel":"Epub","JCR":"Q3","JCRName":"HEMATOLOGY","Score":null,"Total":0}
引用次数: 0

摘要

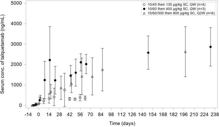
在全球1/2期MonumenTAL-1研究中,双特异性抗体talquetamab在重度预处理的复发或难治性多发性骨髓瘤(RRMM)中显示出显著的应答。本研究评估了talquetamab在用蛋白酶体抑制剂、免疫调节药物和抗cd38单克隆抗体预处理的日本RRMM患者中的安全性和有效性。主要终点是治疗中出现的不良事件(teae)的频率和类型,以及包括剂量限制性毒性(DLT)在内的严重不良事件。次要终点为总反应(ORR);部分反应或较好),持续时间和反应时间。截止数据时,15例患者接受了三次皮下注射他奎他单抗(队列1:每周135µg/kg [QW, n = 4];队列2:400µg/kg [QW, n = 5];队列3:800µg/kg [Q2W, n = 6])。未观察到dlt、死亡或ae相关的剂量减少/治疗中断。常见的teae为中性粒细胞减少症(60.0%)、淋巴细胞减少症(53.3%)和CRS(46.7%)。具有临床意义的teae(均为≤2级)为发音困难、皮肤毒性、指甲紊乱和口干。总中位随访9个月,ORR为60.0%(95%可信区间32.3%,83.7%)。Talquetamab在日本RRMM患者中显示出显著的应答,与全球monument -1研究一致,支持其作为日本RRMM患者的新护理标准的潜力。
本文章由计算机程序翻译,如有差异,请以英文原文为准。

Phase 1 study of talquetamab, a humanized GPRC5D x CD3 bispecific antibody, in Japanese patients with relapsed/refractory MM.

Phase 1 study of talquetamab, a humanized GPRC5D x CD3 bispecific antibody, in Japanese patients with relapsed/refractory MM.

Phase 1 study of talquetamab, a humanized GPRC5D x CD3 bispecific antibody, in Japanese patients with relapsed/refractory MM.

Phase 1 study of talquetamab, a humanized GPRC5D x CD3 bispecific antibody, in Japanese patients with relapsed/refractory MM.

The bispecific antibody talquetamab demonstrated substantial responses in heavily pretreated relapsed or refractory multiple myeloma (RRMM) in the global phase 1/2 MonumenTAL-1 study. This study, evaluated the safety and efficacy of talquetamab in Japanese patients with RRMM pretreated with a proteasome inhibitor, immunomodulatory drug, and anti-CD38 monoclonal antibody. The primary endpoints were frequency and type of treatment-emergent adverse events (TEAEs) and serious AEs including dose-limiting toxicity (DLT). The secondary endpoints were overall response (ORR; partial response or better), duration of, and time to response. At data cutoff, 15 patients had received subcutaneous talquetamab at three doses (Cohort 1: 135 µg/kg weekly [QW, n = 4]; Cohort 2: 400 µg/kg [QW, n = 5]; Cohort 3: 800 µg/kg [Q2W, n = 6]). No DLTs, deaths, or AE-related dose reductions/treatment discontinuation were observed. Common TEAEs were neutropenia (60.0%), lymphopenia (53.3%), and CRS (46.7%). TEAEs of clinical interest (all Grade ≤ 2) were dysgeusia, skin toxicity, nail disorder, and dry mouth. With an overall median follow-up of 9.0 months, the ORR was 60.0% (95% confidence interval 32.3%, 83.7%). Talquetamab showed substantial responses in Japanese patients with RRMM, consistent with the global MonumenTAL-1 study, supporting its potential as a new standard of care for Japanese RRMM patients.

求助全文
通过发布文献求助,成功后即可免费获取论文全文。 去求助
来源期刊
CiteScore
3.90
自引率
4.80%
发文量
223
审稿时长
6 months
期刊介绍: The International Journal of Hematology, the official journal of the Japanese Society of Hematology, has a long history of publishing leading research in hematology. The journal comprises articles that contribute to progress in research not only in basic hematology but also in clinical hematology, aiming to cover all aspects of this field, namely, erythrocytes, leukocytes and hematopoiesis, hemostasis, thrombosis and vascular biology, hematological malignancies, transplantation, and cell therapy. The expanded [Progress in Hematology] section integrates such relevant fields as the cell biology of stem cells and cancer cells, and clinical research in inflammation, cancer, and thrombosis. Reports on results of clinical trials are also included, thus contributing to the aim of fostering communication among researchers in the growing field of modern hematology. The journal provides the best of up-to-date information on modern hematology, presenting readers with high-impact, original work focusing on pivotal issues.
×
引用
GB/T 7714-2015
复制
MLA
复制
APA
复制
导出至
BibTeX EndNote RefMan NoteFirst NoteExpress
×
提示
您的信息不完整,为了账户安全,请先补充。
现在去补充
×
提示
您因"违规操作"
具体请查看互助需知
我知道了
×
提示
确定
请完成安全验证×
copy
已复制链接
快去分享给好友吧!
我知道了
右上角分享
点击右上角分享
0
联系我们:info@booksci.cn Book学术提供免费学术资源搜索服务,方便国内外学者检索中英文文献。致力于提供最便捷和优质的服务体验。 Copyright © 2023 布克学术 All rights reserved.
京ICP备2023020795号-1
ghs 京公网安备 11010802042870号
Book学术文献互助
Book学术文献互助群
群 号:604180095
Book学术官方微信