PANTAX:外排泵抑制剂SCO-101联合吉西他滨和nab-紫杉醇治疗不可切除或转移性胰腺癌的Ib期临床试验。

IF 2.7 3区 医学 Q2 ONCOLOGY
Investigational New Drugs Pub Date : 2025-04-01 Epub Date: 2025-04-24 DOI:10.1007/s10637-025-01526-7
Susy Shim, Anke Reinacher-Schick, Anna-Lena Kraeft, Per Pfeiffer, Line Schmidt Tarpgaard, Thomas Jens Ettrich, Angelika Kestler, Signe Christensen, Haatisha Jandu, Mubeen Nawabi, Nicklas Lindland Roest, Lars Damstrup, Peter Michael Vestlev, Nils Brünner, Jan Stenvang, Morten Ladekarl
{"title":"PANTAX:外排泵抑制剂SCO-101联合吉西他滨和nab-紫杉醇治疗不可切除或转移性胰腺癌的Ib期临床试验。","authors":"Susy Shim, Anke Reinacher-Schick, Anna-Lena Kraeft, Per Pfeiffer, Line Schmidt Tarpgaard, Thomas Jens Ettrich, Angelika Kestler, Signe Christensen, Haatisha Jandu, Mubeen Nawabi, Nicklas Lindland Roest, Lars Damstrup, Peter Michael Vestlev, Nils Brünner, Jan Stenvang, Morten Ladekarl","doi":"10.1007/s10637-025-01526-7","DOIUrl":null,"url":null,"abstract":"<p><p>De novo or acquired resistance to chemotherapy is ubiquitous in pancreatic ductal adenocarcinoma (PDAC). SCO-101 is an oral compound that may counteract chemo-resistance by interacting with SRPK1, ABCG2 drug transporter, and liver enzyme UGT1A1. We first conducted preclinical experiments in paclitaxel-resistant PDAC cells to access the tumoricidal effects of SCO-101 or SRPK1-inhibitor alone or in combination with paclitaxel. Second, we enrolled 22 patients with non-resectable PDAC in a phase Ib trial to investigate safety and pharmaco-kinetics, and to establish maximum tolerated dose (MTD) by evaluation of dose-limiting toxicities (DLTs) during the first cycle of 80% dose gemcitabine (Gem) and nab-paclitaxel (Nab) together with increasing doses of SCO-101. In paclitaxel-resistant PDAC cells in vitro, a synergistic effect between SCO-101 and paclitaxel was demonstrated. In patients, daily doses for 6 days of SCO-101 resulted in a two- to threefold drug accumulation, and drug exposure was dose proportional. Treatment was well tolerated. Transiently increased blood bilirubin attributable to SCO-101 was observed in 12 cases (55%) and associated with jaundice in three patients. One and two DLTs, respectively, were observed at 150 and 250mg dosing-levels of SCO-101, and the MTD was determined to be 200 mg of SCO-101 daily for 6 days on a bi-weekly schedule together with 80% dose of Gem and Nab. Median progression-free and overall survival was 3.3 and 9.5 months, respectively. In PDAC, SCO-101 can be added to Gem and Nab with little and manageable toxicity. However, no clear added efficacy signal was observed of the combination. Trial registration number: NCT04652205 (Nov 29, 2020).</p>","PeriodicalId":14513,"journal":{"name":"Investigational New Drugs","volume":"43 2","pages":"337-347"},"PeriodicalIF":2.7000,"publicationDate":"2025-04-01","publicationTypes":"Journal Article","fieldsOfStudy":null,"isOpenAccess":false,"openAccessPdf":"https://www.ncbi.nlm.nih.gov/pmc/articles/PMC12048447/pdf/","citationCount":"0","resultStr":"{\"title\":\"PANTAX: a phase Ib clinical trial of the efflux pump inhibitor SCO-101 in combination with gemcitabine and nab-paclitaxel in non-resectable or metastatic pancreatic cancer.\",\"authors\":\"Susy Shim, Anke Reinacher-Schick, Anna-Lena Kraeft, Per Pfeiffer, Line Schmidt Tarpgaard, Thomas Jens Ettrich, Angelika Kestler, Signe Christensen, Haatisha Jandu, Mubeen Nawabi, Nicklas Lindland Roest, Lars Damstrup, Peter Michael Vestlev, Nils Brünner, Jan Stenvang, Morten Ladekarl\",\"doi\":\"10.1007/s10637-025-01526-7\",\"DOIUrl\":null,\"url\":null,\"abstract\":\"<p><p>De novo or acquired resistance to chemotherapy is ubiquitous in pancreatic ductal adenocarcinoma (PDAC). SCO-101 is an oral compound that may counteract chemo-resistance by interacting with SRPK1, ABCG2 drug transporter, and liver enzyme UGT1A1. We first conducted preclinical experiments in paclitaxel-resistant PDAC cells to access the tumoricidal effects of SCO-101 or SRPK1-inhibitor alone or in combination with paclitaxel. Second, we enrolled 22 patients with non-resectable PDAC in a phase Ib trial to investigate safety and pharmaco-kinetics, and to establish maximum tolerated dose (MTD) by evaluation of dose-limiting toxicities (DLTs) during the first cycle of 80% dose gemcitabine (Gem) and nab-paclitaxel (Nab) together with increasing doses of SCO-101. In paclitaxel-resistant PDAC cells in vitro, a synergistic effect between SCO-101 and paclitaxel was demonstrated. In patients, daily doses for 6 days of SCO-101 resulted in a two- to threefold drug accumulation, and drug exposure was dose proportional. Treatment was well tolerated. Transiently increased blood bilirubin attributable to SCO-101 was observed in 12 cases (55%) and associated with jaundice in three patients. One and two DLTs, respectively, were observed at 150 and 250mg dosing-levels of SCO-101, and the MTD was determined to be 200 mg of SCO-101 daily for 6 days on a bi-weekly schedule together with 80% dose of Gem and Nab. Median progression-free and overall survival was 3.3 and 9.5 months, respectively. In PDAC, SCO-101 can be added to Gem and Nab with little and manageable toxicity. However, no clear added efficacy signal was observed of the combination. Trial registration number: NCT04652205 (Nov 29, 2020).</p>\",\"PeriodicalId\":14513,\"journal\":{\"name\":\"Investigational New Drugs\",\"volume\":\"43 2\",\"pages\":\"337-347\"},\"PeriodicalIF\":2.7000,\"publicationDate\":\"2025-04-01\",\"publicationTypes\":\"Journal Article\",\"fieldsOfStudy\":null,\"isOpenAccess\":false,\"openAccessPdf\":\"https://www.ncbi.nlm.nih.gov/pmc/articles/PMC12048447/pdf/\",\"citationCount\":\"0\",\"resultStr\":null,\"platform\":\"Semanticscholar\",\"paperid\":null,\"PeriodicalName\":\"Investigational New Drugs\",\"FirstCategoryId\":\"3\",\"ListUrlMain\":\"https://doi.org/10.1007/s10637-025-01526-7\",\"RegionNum\":3,\"RegionCategory\":\"医学\",\"ArticlePicture\":[],\"TitleCN\":null,\"AbstractTextCN\":null,\"PMCID\":null,\"EPubDate\":\"2025/4/24 0:00:00\",\"PubModel\":\"Epub\",\"JCR\":\"Q2\",\"JCRName\":\"ONCOLOGY\",\"Score\":null,\"Total\":0}","platform":"Semanticscholar","paperid":null,"PeriodicalName":"Investigational New Drugs","FirstCategoryId":"3","ListUrlMain":"https://doi.org/10.1007/s10637-025-01526-7","RegionNum":3,"RegionCategory":"医学","ArticlePicture":[],"TitleCN":null,"AbstractTextCN":null,"PMCID":null,"EPubDate":"2025/4/24 0:00:00","PubModel":"Epub","JCR":"Q2","JCRName":"ONCOLOGY","Score":null,"Total":0}
引用次数: 0

摘要

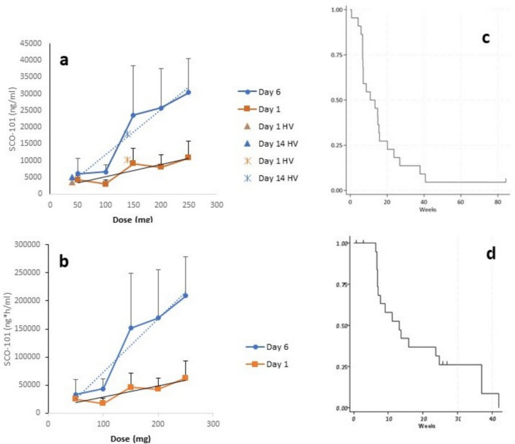
新生或获得性化疗耐药在胰腺导管腺癌(PDAC)中普遍存在。SCO-101是一种口服化合物,可通过与SRPK1、ABCG2药物转运体和肝酶UGT1A1相互作用来对抗化疗耐药。我们首先在紫杉醇耐药的PDAC细胞中进行了临床前实验,以获得SCO-101或srpk1抑制剂单独或与紫杉醇联合的杀肿瘤作用。其次,我们在Ib期试验中招募了22例不可切除的PDAC患者,以研究安全性和药物动力学,并通过评估80%剂量的吉西他滨(Gem)和Nab -紫杉醇(Nab)以及增加剂量的SCO-101的第一个周期的剂量限制毒性(dlt)来确定最大耐受剂量(MTD)。在体外抗紫杉醇PDAC细胞中,SCO-101与紫杉醇具有协同作用。在患者中,连续6天每日剂量的SCO-101导致2 - 3倍的药物积累,并且药物暴露与剂量成正比。治疗耐受性良好。12例(55%)患者观察到SCO-101引起的短暂性血胆红素升高,3例患者伴有黄疸。分别在150和250mg SCO-101剂量水平下观察1个和2个dlt, MTD确定为每天200 mg SCO-101,每两周服用6天,同时服用80%剂量的Gem和Nab。中位无进展生存期和总生存期分别为3.3个月和9.5个月。在PDAC中,SCO-101可以添加到Gem和Nab中,毒性很小且可控。然而,没有观察到明显的疗效增加信号。试验注册号:NCT04652205(2020年11月29日)。
本文章由计算机程序翻译,如有差异,请以英文原文为准。

PANTAX: a phase Ib clinical trial of the efflux pump inhibitor SCO-101 in combination with gemcitabine and nab-paclitaxel in non-resectable or metastatic pancreatic cancer.

PANTAX: a phase Ib clinical trial of the efflux pump inhibitor SCO-101 in combination with gemcitabine and nab-paclitaxel in non-resectable or metastatic pancreatic cancer.

PANTAX: a phase Ib clinical trial of the efflux pump inhibitor SCO-101 in combination with gemcitabine and nab-paclitaxel in non-resectable or metastatic pancreatic cancer.

PANTAX: a phase Ib clinical trial of the efflux pump inhibitor SCO-101 in combination with gemcitabine and nab-paclitaxel in non-resectable or metastatic pancreatic cancer.

De novo or acquired resistance to chemotherapy is ubiquitous in pancreatic ductal adenocarcinoma (PDAC). SCO-101 is an oral compound that may counteract chemo-resistance by interacting with SRPK1, ABCG2 drug transporter, and liver enzyme UGT1A1. We first conducted preclinical experiments in paclitaxel-resistant PDAC cells to access the tumoricidal effects of SCO-101 or SRPK1-inhibitor alone or in combination with paclitaxel. Second, we enrolled 22 patients with non-resectable PDAC in a phase Ib trial to investigate safety and pharmaco-kinetics, and to establish maximum tolerated dose (MTD) by evaluation of dose-limiting toxicities (DLTs) during the first cycle of 80% dose gemcitabine (Gem) and nab-paclitaxel (Nab) together with increasing doses of SCO-101. In paclitaxel-resistant PDAC cells in vitro, a synergistic effect between SCO-101 and paclitaxel was demonstrated. In patients, daily doses for 6 days of SCO-101 resulted in a two- to threefold drug accumulation, and drug exposure was dose proportional. Treatment was well tolerated. Transiently increased blood bilirubin attributable to SCO-101 was observed in 12 cases (55%) and associated with jaundice in three patients. One and two DLTs, respectively, were observed at 150 and 250mg dosing-levels of SCO-101, and the MTD was determined to be 200 mg of SCO-101 daily for 6 days on a bi-weekly schedule together with 80% dose of Gem and Nab. Median progression-free and overall survival was 3.3 and 9.5 months, respectively. In PDAC, SCO-101 can be added to Gem and Nab with little and manageable toxicity. However, no clear added efficacy signal was observed of the combination. Trial registration number: NCT04652205 (Nov 29, 2020).

求助全文
通过发布文献求助,成功后即可免费获取论文全文。 去求助
来源期刊
CiteScore
7.60
自引率
0.00%
发文量
121
审稿时长
1 months
期刊介绍: The development of new anticancer agents is one of the most rapidly changing aspects of cancer research. Investigational New Drugs provides a forum for the rapid dissemination of information on new anticancer agents. The papers published are of interest to the medical chemist, toxicologist, pharmacist, pharmacologist, biostatistician and clinical oncologist. Investigational New Drugs provides the fastest possible publication of new discoveries and results for the whole community of scientists developing anticancer agents.
×
引用
GB/T 7714-2015
复制
MLA
复制
APA
复制
导出至
BibTeX EndNote RefMan NoteFirst NoteExpress
×
提示
您的信息不完整,为了账户安全,请先补充。
现在去补充
×
提示
您因"违规操作"
具体请查看互助需知
我知道了
×
提示
确定
请完成安全验证×
copy
已复制链接
快去分享给好友吧!
我知道了
右上角分享
点击右上角分享
0
联系我们:info@booksci.cn Book学术提供免费学术资源搜索服务,方便国内外学者检索中英文文献。致力于提供最便捷和优质的服务体验。 Copyright © 2023 布克学术 All rights reserved.
京ICP备2023020795号-1
ghs 京公网安备 11010802042870号
Book学术文献互助
Book学术文献互助群
群 号:604180095
Book学术官方微信