颈部疼痛患者在标准化治疗方案后对个体化治疗的反应:随机对照试验的二次分析。

IF 2 4区 医学 Q2 REHABILITATION
Anders Galaasen Bakken, Andreas Eklund, Anna Oksanen, Iben Axén
{"title":"颈部疼痛患者在标准化治疗方案后对个体化治疗的反应:随机对照试验的二次分析。","authors":"Anders Galaasen Bakken, Andreas Eklund, Anna Oksanen, Iben Axén","doi":"10.1186/s12998-025-00579-y","DOIUrl":null,"url":null,"abstract":"<p><strong>Background: </strong>Manual therapy and exercise are recommended for patients with neck pain. In a recent randomized controlled trial, home stretching exercises with or without manual therapy were offered to subjects with persistent or recurrent neck pain. No difference in pain or disability between the treatment groups were found after the two-week intervention period. We aimed to investigate whether these patients had a better outcome after individual tailoring of the treatment content two months after the initial structured intervention period.</p><p><strong>Methods: </strong>This manuscript is a secondary analysis of a previous clinical trial where 131 patients with persistent or recurrent neck pain received treatments over two weeks (the intervention period). Pain and disability were assessed for two months following the intervention period. During this period, the treating therapists could recommend further individualized tailored treatment, including any treatment modality, regardless of the intervention group and whether the participants responded to the intervention (responders) or not (non-responders). Responders from the intervention period were defined as reporting a minimal clinical improvement on the numeric rating scale (NRS-11) at a 20-percentage points improvement (2 increments), regardless of group belonging in the original trial. All other participants were considered non-responders. We also evaluated the number of treatments, differences in disability, quality and affective component of pain, and quality of life during the individualized care period.</p><p><strong>Results: </strong>For responders to a randomized trial of manual therapy and stretching exercises, a significant worsening in pain was associated with an increasing number of treatments during a two-month individualized care period. Among non-responders to the initial intervention period, improvement in neck pain disability was observed with individually tailored treatments.</p><p><strong>Conclusions: </strong>For responders to a randomized trial of manual therapy and stretching, worsening pain in the individualized care period was associated with increasing numbers of individually tailored treatments. Among non-responders to the initial intervention period, improvement in neck pain disability was observed with individually tailored treatments.</p><p><strong>Trial registration: </strong>The trial was registered at ClinicalTrials.gov, registration number NCT03576846, on 23rd of June 2018.</p>","PeriodicalId":48572,"journal":{"name":"Chiropractic & Manual Therapies","volume":"33 1","pages":"13"},"PeriodicalIF":2.0000,"publicationDate":"2025-04-11","publicationTypes":"Journal Article","fieldsOfStudy":null,"isOpenAccess":false,"openAccessPdf":"https://www.ncbi.nlm.nih.gov/pmc/articles/PMC11987369/pdf/","citationCount":"0","resultStr":"{\"title\":\"The response to individualized treatment after a standardized treatment protocol among neck pain sufferers: a secondary analysis of a randomized controlled trial.\",\"authors\":\"Anders Galaasen Bakken, Andreas Eklund, Anna Oksanen, Iben Axén\",\"doi\":\"10.1186/s12998-025-00579-y\",\"DOIUrl\":null,\"url\":null,\"abstract\":\"<p><strong>Background: </strong>Manual therapy and exercise are recommended for patients with neck pain. In a recent randomized controlled trial, home stretching exercises with or without manual therapy were offered to subjects with persistent or recurrent neck pain. No difference in pain or disability between the treatment groups were found after the two-week intervention period. We aimed to investigate whether these patients had a better outcome after individual tailoring of the treatment content two months after the initial structured intervention period.</p><p><strong>Methods: </strong>This manuscript is a secondary analysis of a previous clinical trial where 131 patients with persistent or recurrent neck pain received treatments over two weeks (the intervention period). Pain and disability were assessed for two months following the intervention period. During this period, the treating therapists could recommend further individualized tailored treatment, including any treatment modality, regardless of the intervention group and whether the participants responded to the intervention (responders) or not (non-responders). Responders from the intervention period were defined as reporting a minimal clinical improvement on the numeric rating scale (NRS-11) at a 20-percentage points improvement (2 increments), regardless of group belonging in the original trial. All other participants were considered non-responders. We also evaluated the number of treatments, differences in disability, quality and affective component of pain, and quality of life during the individualized care period.</p><p><strong>Results: </strong>For responders to a randomized trial of manual therapy and stretching exercises, a significant worsening in pain was associated with an increasing number of treatments during a two-month individualized care period. Among non-responders to the initial intervention period, improvement in neck pain disability was observed with individually tailored treatments.</p><p><strong>Conclusions: </strong>For responders to a randomized trial of manual therapy and stretching, worsening pain in the individualized care period was associated with increasing numbers of individually tailored treatments. Among non-responders to the initial intervention period, improvement in neck pain disability was observed with individually tailored treatments.</p><p><strong>Trial registration: </strong>The trial was registered at ClinicalTrials.gov, registration number NCT03576846, on 23rd of June 2018.</p>\",\"PeriodicalId\":48572,\"journal\":{\"name\":\"Chiropractic & Manual Therapies\",\"volume\":\"33 1\",\"pages\":\"13\"},\"PeriodicalIF\":2.0000,\"publicationDate\":\"2025-04-11\",\"publicationTypes\":\"Journal Article\",\"fieldsOfStudy\":null,\"isOpenAccess\":false,\"openAccessPdf\":\"https://www.ncbi.nlm.nih.gov/pmc/articles/PMC11987369/pdf/\",\"citationCount\":\"0\",\"resultStr\":null,\"platform\":\"Semanticscholar\",\"paperid\":null,\"PeriodicalName\":\"Chiropractic & Manual Therapies\",\"FirstCategoryId\":\"3\",\"ListUrlMain\":\"https://doi.org/10.1186/s12998-025-00579-y\",\"RegionNum\":4,\"RegionCategory\":\"医学\",\"ArticlePicture\":[],\"TitleCN\":null,\"AbstractTextCN\":null,\"PMCID\":null,\"EPubDate\":\"\",\"PubModel\":\"\",\"JCR\":\"Q2\",\"JCRName\":\"REHABILITATION\",\"Score\":null,\"Total\":0}","platform":"Semanticscholar","paperid":null,"PeriodicalName":"Chiropractic & Manual Therapies","FirstCategoryId":"3","ListUrlMain":"https://doi.org/10.1186/s12998-025-00579-y","RegionNum":4,"RegionCategory":"医学","ArticlePicture":[],"TitleCN":null,"AbstractTextCN":null,"PMCID":null,"EPubDate":"","PubModel":"","JCR":"Q2","JCRName":"REHABILITATION","Score":null,"Total":0}
引用次数: 0

摘要

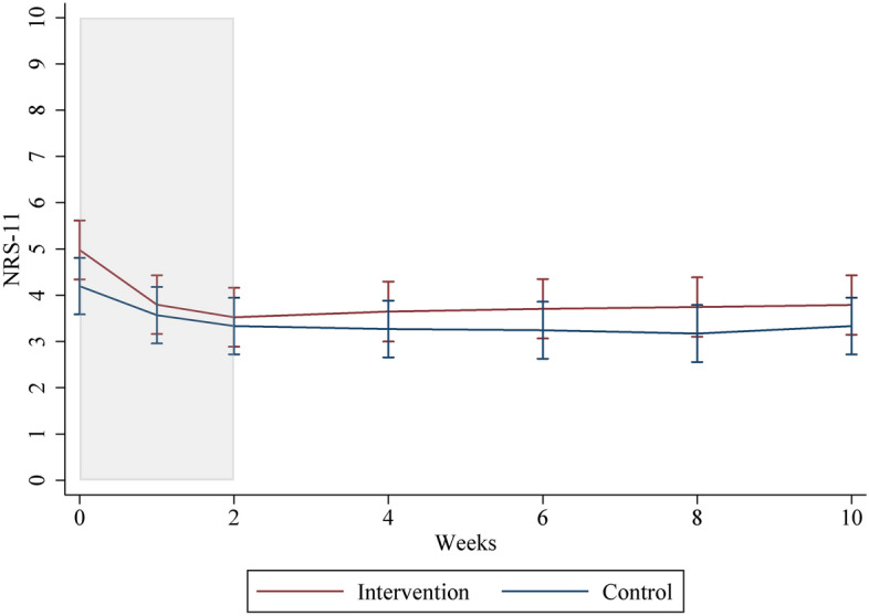
背景:对颈部疼痛患者推荐手工治疗和运动。在最近的一项随机对照试验中,对持续或复发性颈部疼痛的受试者进行了有或没有手工治疗的家庭拉伸运动。在两周的干预期后,两组之间的疼痛和残疾没有差异。我们的目的是调查这些患者在最初的结构化干预期两个月后对治疗内容进行个性化调整后是否有更好的结果。方法:本文是对先前一项临床试验的二次分析,该试验中131例持续性或复发性颈部疼痛患者接受了两周(干预期)的治疗。在干预期后的两个月对疼痛和残疾进行评估。在此期间,治疗治疗师可以推荐进一步的个性化治疗,包括任何治疗方式,而不考虑干预组和参与者是否对干预有反应(反应者)或没有(无反应者)。干预期的应答者被定义为在数字评定量表(NRS-11)上报告最小的临床改善,改善20个百分点(2个增量),无论属于原始试验的哪一组。所有其他参与者都被认为无反应。我们还评估了治疗的次数,残疾的差异,疼痛的质量和情感成分,以及个性化护理期间的生活质量。结果:对手工治疗和伸展运动的随机试验反应者来说,在两个月的个体化护理期间,疼痛的显著恶化与治疗次数的增加有关。在最初干预期无反应的患者中,通过个体化治疗观察到颈部疼痛残疾的改善。结论:对于手工治疗和拉伸的随机试验的应答者来说,个性化护理期间疼痛的恶化与个性化治疗次数的增加有关。在最初干预期无反应的患者中,通过个体化治疗观察到颈部疼痛残疾的改善。试验注册:该试验于2018年6月23日在ClinicalTrials.gov上注册,注册号为NCT03576846。
本文章由计算机程序翻译,如有差异,请以英文原文为准。

The response to individualized treatment after a standardized treatment protocol among neck pain sufferers: a secondary analysis of a randomized controlled trial.

The response to individualized treatment after a standardized treatment protocol among neck pain sufferers: a secondary analysis of a randomized controlled trial.

The response to individualized treatment after a standardized treatment protocol among neck pain sufferers: a secondary analysis of a randomized controlled trial.

The response to individualized treatment after a standardized treatment protocol among neck pain sufferers: a secondary analysis of a randomized controlled trial.

Background: Manual therapy and exercise are recommended for patients with neck pain. In a recent randomized controlled trial, home stretching exercises with or without manual therapy were offered to subjects with persistent or recurrent neck pain. No difference in pain or disability between the treatment groups were found after the two-week intervention period. We aimed to investigate whether these patients had a better outcome after individual tailoring of the treatment content two months after the initial structured intervention period.

Methods: This manuscript is a secondary analysis of a previous clinical trial where 131 patients with persistent or recurrent neck pain received treatments over two weeks (the intervention period). Pain and disability were assessed for two months following the intervention period. During this period, the treating therapists could recommend further individualized tailored treatment, including any treatment modality, regardless of the intervention group and whether the participants responded to the intervention (responders) or not (non-responders). Responders from the intervention period were defined as reporting a minimal clinical improvement on the numeric rating scale (NRS-11) at a 20-percentage points improvement (2 increments), regardless of group belonging in the original trial. All other participants were considered non-responders. We also evaluated the number of treatments, differences in disability, quality and affective component of pain, and quality of life during the individualized care period.

Results: For responders to a randomized trial of manual therapy and stretching exercises, a significant worsening in pain was associated with an increasing number of treatments during a two-month individualized care period. Among non-responders to the initial intervention period, improvement in neck pain disability was observed with individually tailored treatments.

Conclusions: For responders to a randomized trial of manual therapy and stretching, worsening pain in the individualized care period was associated with increasing numbers of individually tailored treatments. Among non-responders to the initial intervention period, improvement in neck pain disability was observed with individually tailored treatments.

Trial registration: The trial was registered at ClinicalTrials.gov, registration number NCT03576846, on 23rd of June 2018.

求助全文
通过发布文献求助,成功后即可免费获取论文全文。 去求助
来源期刊
Chiropractic & Manual Therapies
Chiropractic & Manual Therapies Medicine-Complementary and Alternative Medicine
CiteScore
3.20
自引率
15.80%
发文量
48
审稿时长
20 weeks
期刊介绍: Chiropractic & Manual Therapies publishes manuscripts on all aspects of evidence-based information that is clinically relevant to chiropractors, manual therapists and related health care professionals. Chiropractic & Manual Therapies is an open access journal that aims to provide chiropractors, manual therapists and related health professionals with clinically relevant, evidence-based information. Chiropractic and other manual therapies share a relatively broad diagnostic practice and treatment scope, emphasizing the structure and function of the body''s musculoskeletal framework (especially the spine). The practices of chiropractic and manual therapies are closely associated with treatments including manipulation, which is a key intervention. The range of services provided can also include massage, mobilisation, physical therapies, dry needling, lifestyle and dietary counselling, plus a variety of other associated therapeutic and rehabilitation approaches. Chiropractic & Manual Therapies continues to serve as a critical resource in this field, and as an open access publication, is more readily available to practitioners, researchers and clinicians worldwide.
×
引用
GB/T 7714-2015
复制
MLA
复制
APA
复制
导出至
BibTeX EndNote RefMan NoteFirst NoteExpress
×
提示
您的信息不完整,为了账户安全,请先补充。
现在去补充
×
提示
您因"违规操作"
具体请查看互助需知
我知道了
×
提示
确定
请完成安全验证×
copy
已复制链接
快去分享给好友吧!
我知道了
右上角分享
点击右上角分享
0
联系我们:info@booksci.cn Book学术提供免费学术资源搜索服务,方便国内外学者检索中英文文献。致力于提供最便捷和优质的服务体验。 Copyright © 2023 布克学术 All rights reserved.
京ICP备2023020795号-1
ghs 京公网安备 11010802042870号
Book学术文献互助
Book学术文献互助群
群 号:604180095
Book学术官方微信