环境运动制导支持的部分可观察隐马尔可夫模型研究综述。

IF 2.2 Q2 HEALTH CARE SCIENCES & SERVICES
International Journal of Telemedicine and Applications Pub Date : 2025-03-04 eCollection Date: 2025-01-01 DOI:10.1155/ijta/8095704
Shahram Payandeh
{"title":"环境运动制导支持的部分可观察隐马尔可夫模型研究综述。","authors":"Shahram Payandeh","doi":"10.1155/ijta/8095704","DOIUrl":null,"url":null,"abstract":"<p><p>The study of ambient movement guidance encompasses a multidisciplinary approach to facilitating and guiding individuals, particularly older adults, within their living environments. This involves integration of ambient sensors, such as motion detectors, cameras, or IoT devices, to monitor the movements and activities of individuals in real time. By leveraging these sensors, the system can predict and anticipate the expected movements of the person, allowing for proactive ambient guidance and support. In addition to ambient guidance, robots can also play a role in leading individuals by interfacing through audio prompts or visual cues through their daily activities. However, despite advancements in sensor technology and robotic assistance, uncertainties persist in the monitoring and prediction of movements. These uncertainties can arise from various sources, including sensor noise, occlusions, environmental changes, and inherent variability in human behavior. Addressing these uncertainties requires probabilistic modeling techniques based on partially observable hidden Markov models (POHMMs) and various of its extensions such as POMDP, to effectively capture the dynamic nature of movement patterns and incorporate uncertainty into the decision-making process. This paper presents a detailed overview study of probabilistic framework and how its various interpretation can be used in developing an ambient movement guiding system for supporting individuals, particularly older, in support of ageing-in-place paradigms.</p>","PeriodicalId":45630,"journal":{"name":"International Journal of Telemedicine and Applications","volume":"2025 ","pages":"8095704"},"PeriodicalIF":2.2000,"publicationDate":"2025-03-04","publicationTypes":"Journal Article","fieldsOfStudy":null,"isOpenAccess":false,"openAccessPdf":"https://www.ncbi.nlm.nih.gov/pmc/articles/PMC11991827/pdf/","citationCount":"0","resultStr":"{\"title\":\"Overview Study of Partially Observable Hidden Markov Models for Ambient Movement Guidance Support.\",\"authors\":\"Shahram Payandeh\",\"doi\":\"10.1155/ijta/8095704\",\"DOIUrl\":null,\"url\":null,\"abstract\":\"<p><p>The study of ambient movement guidance encompasses a multidisciplinary approach to facilitating and guiding individuals, particularly older adults, within their living environments. This involves integration of ambient sensors, such as motion detectors, cameras, or IoT devices, to monitor the movements and activities of individuals in real time. By leveraging these sensors, the system can predict and anticipate the expected movements of the person, allowing for proactive ambient guidance and support. In addition to ambient guidance, robots can also play a role in leading individuals by interfacing through audio prompts or visual cues through their daily activities. However, despite advancements in sensor technology and robotic assistance, uncertainties persist in the monitoring and prediction of movements. These uncertainties can arise from various sources, including sensor noise, occlusions, environmental changes, and inherent variability in human behavior. Addressing these uncertainties requires probabilistic modeling techniques based on partially observable hidden Markov models (POHMMs) and various of its extensions such as POMDP, to effectively capture the dynamic nature of movement patterns and incorporate uncertainty into the decision-making process. This paper presents a detailed overview study of probabilistic framework and how its various interpretation can be used in developing an ambient movement guiding system for supporting individuals, particularly older, in support of ageing-in-place paradigms.</p>\",\"PeriodicalId\":45630,\"journal\":{\"name\":\"International Journal of Telemedicine and Applications\",\"volume\":\"2025 \",\"pages\":\"8095704\"},\"PeriodicalIF\":2.2000,\"publicationDate\":\"2025-03-04\",\"publicationTypes\":\"Journal Article\",\"fieldsOfStudy\":null,\"isOpenAccess\":false,\"openAccessPdf\":\"https://www.ncbi.nlm.nih.gov/pmc/articles/PMC11991827/pdf/\",\"citationCount\":\"0\",\"resultStr\":null,\"platform\":\"Semanticscholar\",\"paperid\":null,\"PeriodicalName\":\"International Journal of Telemedicine and Applications\",\"FirstCategoryId\":\"1085\",\"ListUrlMain\":\"https://doi.org/10.1155/ijta/8095704\",\"RegionNum\":0,\"RegionCategory\":null,\"ArticlePicture\":[],\"TitleCN\":null,\"AbstractTextCN\":null,\"PMCID\":null,\"EPubDate\":\"2025/1/1 0:00:00\",\"PubModel\":\"eCollection\",\"JCR\":\"Q2\",\"JCRName\":\"HEALTH CARE SCIENCES & SERVICES\",\"Score\":null,\"Total\":0}","platform":"Semanticscholar","paperid":null,"PeriodicalName":"International Journal of Telemedicine and Applications","FirstCategoryId":"1085","ListUrlMain":"https://doi.org/10.1155/ijta/8095704","RegionNum":0,"RegionCategory":null,"ArticlePicture":[],"TitleCN":null,"AbstractTextCN":null,"PMCID":null,"EPubDate":"2025/1/1 0:00:00","PubModel":"eCollection","JCR":"Q2","JCRName":"HEALTH CARE SCIENCES & SERVICES","Score":null,"Total":0}
引用次数: 0

摘要

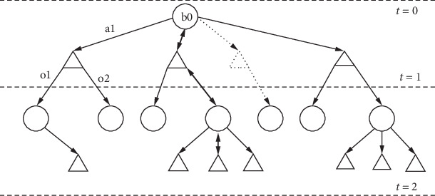
环境运动指导的研究包括多学科方法,以促进和指导个人,特别是老年人,在他们的生活环境。这涉及到环境传感器的集成,如运动探测器、摄像头或物联网设备,以实时监控个人的运动和活动。通过利用这些传感器,系统可以预测和预测人的预期动作,从而提供主动的环境指导和支持。除了环境引导之外,机器人还可以通过音频提示或视觉提示在日常活动中发挥引导作用。然而,尽管传感器技术和机器人辅助取得了进步,但在监测和预测运动方面仍然存在不确定性。这些不确定性可能来自各种来源,包括传感器噪声、遮挡、环境变化和人类行为的固有可变性。解决这些不确定性需要基于部分可观察隐马尔可夫模型(pohmm)及其各种扩展(如POMDP)的概率建模技术,以有效地捕捉运动模式的动态特性,并将不确定性纳入决策过程。本文介绍了概率框架的详细概述研究,以及如何将其各种解释用于开发环境运动指导系统,以支持个人,特别是老年人,以支持原地老龄化范式。
本文章由计算机程序翻译,如有差异,请以英文原文为准。

Overview Study of Partially Observable Hidden Markov Models for Ambient Movement Guidance Support.

Overview Study of Partially Observable Hidden Markov Models for Ambient Movement Guidance Support.

Overview Study of Partially Observable Hidden Markov Models for Ambient Movement Guidance Support.

Overview Study of Partially Observable Hidden Markov Models for Ambient Movement Guidance Support.

The study of ambient movement guidance encompasses a multidisciplinary approach to facilitating and guiding individuals, particularly older adults, within their living environments. This involves integration of ambient sensors, such as motion detectors, cameras, or IoT devices, to monitor the movements and activities of individuals in real time. By leveraging these sensors, the system can predict and anticipate the expected movements of the person, allowing for proactive ambient guidance and support. In addition to ambient guidance, robots can also play a role in leading individuals by interfacing through audio prompts or visual cues through their daily activities. However, despite advancements in sensor technology and robotic assistance, uncertainties persist in the monitoring and prediction of movements. These uncertainties can arise from various sources, including sensor noise, occlusions, environmental changes, and inherent variability in human behavior. Addressing these uncertainties requires probabilistic modeling techniques based on partially observable hidden Markov models (POHMMs) and various of its extensions such as POMDP, to effectively capture the dynamic nature of movement patterns and incorporate uncertainty into the decision-making process. This paper presents a detailed overview study of probabilistic framework and how its various interpretation can be used in developing an ambient movement guiding system for supporting individuals, particularly older, in support of ageing-in-place paradigms.

求助全文
通过发布文献求助,成功后即可免费获取论文全文。 去求助
来源期刊
CiteScore
6.90
自引率
2.30%
发文量
19
审稿时长
12 weeks
期刊介绍: The overall aim of the International Journal of Telemedicine and Applications is to bring together science and applications of medical practice and medical care at a distance as well as their supporting technologies such as, computing, communications, and networking technologies with emphasis on telemedicine techniques and telemedicine applications. It is directed at practicing engineers, academic researchers, as well as doctors, nurses, etc. Telemedicine is an information technology that enables doctors to perform medical consultations, diagnoses, and treatments, as well as medical education, away from patients. For example, doctors can remotely examine patients via remote viewing monitors and sound devices, and/or sampling physiological data using telecommunication. Telemedicine technology is applied to areas of emergency healthcare, videoconsulting, telecardiology, telepathology, teledermatology, teleophthalmology, teleoncology, telepsychiatry, teledentistry, etc. International Journal of Telemedicine and Applications will highlight the continued growth and new challenges in telemedicine, applications, and their supporting technologies, for both application development and basic research. Papers should emphasize original results or case studies relating to the theory and/or applications of telemedicine. Tutorial papers, especially those emphasizing multidisciplinary views of telemedicine, are also welcome. International Journal of Telemedicine and Applications employs a paperless, electronic submission and evaluation system to promote a rapid turnaround in the peer-review process.
×
引用
GB/T 7714-2015
复制
MLA
复制
APA
复制
导出至
BibTeX EndNote RefMan NoteFirst NoteExpress
×
提示
您的信息不完整,为了账户安全,请先补充。
现在去补充
×
提示
您因"违规操作"
具体请查看互助需知
我知道了
×
提示
确定
请完成安全验证×
copy
已复制链接
快去分享给好友吧!
我知道了
右上角分享
点击右上角分享
0
联系我们:info@booksci.cn Book学术提供免费学术资源搜索服务,方便国内外学者检索中英文文献。致力于提供最便捷和优质的服务体验。 Copyright © 2023 布克学术 All rights reserved.
京ICP备2023020795号-1
ghs 京公网安备 11010802042870号
Book学术文献互助
Book学术文献互助群
群 号:604180095
Book学术官方微信