评估确定触发药剂师干预的住院时间的分数:整合到临床决策支持系统。

IF 3.4 Q2 HEALTH CARE SCIENCES & SERVICES
JAMIA Open Pub Date : 2025-05-05 eCollection Date: 2025-06-01 DOI:10.1093/jamiaopen/ooaf030
Laurine Robert, Nathalie Vidoni, Erwin Gérard, Emmanuel Chazard, Pascal Odou, Chloé Rousselière, Bertrand Décaudin
{"title":"评估确定触发药剂师干预的住院时间的分数:整合到临床决策支持系统。","authors":"Laurine Robert, Nathalie Vidoni, Erwin Gérard, Emmanuel Chazard, Pascal Odou, Chloé Rousselière, Bertrand Décaudin","doi":"10.1093/jamiaopen/ooaf030","DOIUrl":null,"url":null,"abstract":"<p><strong>Objectives: </strong>The objective of the study was to determine, after medication review, the patient risk score threshold that would distinguish between stays with prescriptions triggering pharmacist intervention (PI) and stays with prescriptions not triggering PI.</p><p><strong>Materials and methods: </strong>The study was retrospective and observational, conducted in the clinical pharmacy team. The patient risk score was adapted from a Canadian score and was integrated in the clinical decision support system (CDSS). For each hospital stay, the score was calculated at the beginning of hospitalization and we retrospectively showed if a medication review and a PI were conducted. Then, the optimal patient risk score threshold was determined to help pharmacist in optimizing medication review.</p><p><strong>Results: </strong>During the study, 973 (56.7%) medication reviews were performed and 248 (25.5%) led to a PI. After analyzing sensitivity, specificity, and positive predictive value of different thresholds, the threshold of 4 was deemed discriminating to identify hospital stays likely to lead to a PI following a medication review. At this threshold, 600 hospital stays would have been detected (33.3% of the latter led to a PI), and 5.0% of stays with a medication review would not have been detected even though they were hospital stays that had triggered a PI.</p><p><strong>Discussion and conclusion: </strong>Integration of a patient risk score in a CDSS can help clinical pharmacist to target hospital stays likely to trigger a PI. However, an optimal threshold is difficult to determine. Constructing and using a score in practice should be organized with the local clinical pharmacy team, in order to understand the tool's limitations and maximize its use in detecting at-risk drug prescriptions.</p>","PeriodicalId":36278,"journal":{"name":"JAMIA Open","volume":"8 3","pages":"ooaf030"},"PeriodicalIF":3.4000,"publicationDate":"2025-05-05","publicationTypes":"Journal Article","fieldsOfStudy":null,"isOpenAccess":false,"openAccessPdf":"https://www.ncbi.nlm.nih.gov/pmc/articles/PMC12051848/pdf/","citationCount":"0","resultStr":"{\"title\":\"Evaluation of a score for identifying hospital stays that trigger a pharmacist intervention: integration into a clinical decision support system.\",\"authors\":\"Laurine Robert, Nathalie Vidoni, Erwin Gérard, Emmanuel Chazard, Pascal Odou, Chloé Rousselière, Bertrand Décaudin\",\"doi\":\"10.1093/jamiaopen/ooaf030\",\"DOIUrl\":null,\"url\":null,\"abstract\":\"<p><strong>Objectives: </strong>The objective of the study was to determine, after medication review, the patient risk score threshold that would distinguish between stays with prescriptions triggering pharmacist intervention (PI) and stays with prescriptions not triggering PI.</p><p><strong>Materials and methods: </strong>The study was retrospective and observational, conducted in the clinical pharmacy team. The patient risk score was adapted from a Canadian score and was integrated in the clinical decision support system (CDSS). For each hospital stay, the score was calculated at the beginning of hospitalization and we retrospectively showed if a medication review and a PI were conducted. Then, the optimal patient risk score threshold was determined to help pharmacist in optimizing medication review.</p><p><strong>Results: </strong>During the study, 973 (56.7%) medication reviews were performed and 248 (25.5%) led to a PI. After analyzing sensitivity, specificity, and positive predictive value of different thresholds, the threshold of 4 was deemed discriminating to identify hospital stays likely to lead to a PI following a medication review. At this threshold, 600 hospital stays would have been detected (33.3% of the latter led to a PI), and 5.0% of stays with a medication review would not have been detected even though they were hospital stays that had triggered a PI.</p><p><strong>Discussion and conclusion: </strong>Integration of a patient risk score in a CDSS can help clinical pharmacist to target hospital stays likely to trigger a PI. However, an optimal threshold is difficult to determine. Constructing and using a score in practice should be organized with the local clinical pharmacy team, in order to understand the tool's limitations and maximize its use in detecting at-risk drug prescriptions.</p>\",\"PeriodicalId\":36278,\"journal\":{\"name\":\"JAMIA Open\",\"volume\":\"8 3\",\"pages\":\"ooaf030\"},\"PeriodicalIF\":3.4000,\"publicationDate\":\"2025-05-05\",\"publicationTypes\":\"Journal Article\",\"fieldsOfStudy\":null,\"isOpenAccess\":false,\"openAccessPdf\":\"https://www.ncbi.nlm.nih.gov/pmc/articles/PMC12051848/pdf/\",\"citationCount\":\"0\",\"resultStr\":null,\"platform\":\"Semanticscholar\",\"paperid\":null,\"PeriodicalName\":\"JAMIA Open\",\"FirstCategoryId\":\"1085\",\"ListUrlMain\":\"https://doi.org/10.1093/jamiaopen/ooaf030\",\"RegionNum\":0,\"RegionCategory\":null,\"ArticlePicture\":[],\"TitleCN\":null,\"AbstractTextCN\":null,\"PMCID\":null,\"EPubDate\":\"2025/6/1 0:00:00\",\"PubModel\":\"eCollection\",\"JCR\":\"Q2\",\"JCRName\":\"HEALTH CARE SCIENCES & SERVICES\",\"Score\":null,\"Total\":0}","platform":"Semanticscholar","paperid":null,"PeriodicalName":"JAMIA Open","FirstCategoryId":"1085","ListUrlMain":"https://doi.org/10.1093/jamiaopen/ooaf030","RegionNum":0,"RegionCategory":null,"ArticlePicture":[],"TitleCN":null,"AbstractTextCN":null,"PMCID":null,"EPubDate":"2025/6/1 0:00:00","PubModel":"eCollection","JCR":"Q2","JCRName":"HEALTH CARE SCIENCES & SERVICES","Score":null,"Total":0}
引用次数: 0

摘要

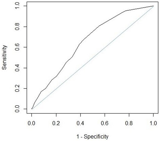
目的:本研究的目的是在用药审查后,确定患者风险评分阈值,以区分处方触发药师干预(PI)和处方未触发PI的住院。材料与方法:本研究为回顾性观察性研究,在临床药学团队中进行。患者风险评分改编自加拿大评分,并整合到临床决策支持系统(CDSS)中。对于每次住院,在住院开始时计算得分,我们回顾性地显示是否进行了药物审查和PI。然后确定最佳患者风险评分阈值,以帮助药师优化用药评价。结果:在研究期间,进行了973例(56.7%)药物回顾,248例(25.5%)导致PI。在分析了不同阈值的敏感性、特异性和阳性预测值后,阈值4被认为是鉴别在药物审查后可能导致PI的住院时间。在这个阈值下,600次住院将被检测到(33.3%的后者导致PI), 5.0%的药物审查住院将不会被检测到,即使它们是触发PI的住院。讨论与结论:在CDSS中整合患者风险评分可以帮助临床药师针对可能引发PI的住院时间。然而,最佳阈值很难确定。在实践中,应与当地临床药学团队组织构建和使用评分,以了解该工具的局限性,并最大限度地利用其在检测高危药物处方方面的作用。
本文章由计算机程序翻译,如有差异,请以英文原文为准。

Evaluation of a score for identifying hospital stays that trigger a pharmacist intervention: integration into a clinical decision support system.

Evaluation of a score for identifying hospital stays that trigger a pharmacist intervention: integration into a clinical decision support system.

Evaluation of a score for identifying hospital stays that trigger a pharmacist intervention: integration into a clinical decision support system.

Evaluation of a score for identifying hospital stays that trigger a pharmacist intervention: integration into a clinical decision support system.

Objectives: The objective of the study was to determine, after medication review, the patient risk score threshold that would distinguish between stays with prescriptions triggering pharmacist intervention (PI) and stays with prescriptions not triggering PI.

Materials and methods: The study was retrospective and observational, conducted in the clinical pharmacy team. The patient risk score was adapted from a Canadian score and was integrated in the clinical decision support system (CDSS). For each hospital stay, the score was calculated at the beginning of hospitalization and we retrospectively showed if a medication review and a PI were conducted. Then, the optimal patient risk score threshold was determined to help pharmacist in optimizing medication review.

Results: During the study, 973 (56.7%) medication reviews were performed and 248 (25.5%) led to a PI. After analyzing sensitivity, specificity, and positive predictive value of different thresholds, the threshold of 4 was deemed discriminating to identify hospital stays likely to lead to a PI following a medication review. At this threshold, 600 hospital stays would have been detected (33.3% of the latter led to a PI), and 5.0% of stays with a medication review would not have been detected even though they were hospital stays that had triggered a PI.

Discussion and conclusion: Integration of a patient risk score in a CDSS can help clinical pharmacist to target hospital stays likely to trigger a PI. However, an optimal threshold is difficult to determine. Constructing and using a score in practice should be organized with the local clinical pharmacy team, in order to understand the tool's limitations and maximize its use in detecting at-risk drug prescriptions.

求助全文
通过发布文献求助,成功后即可免费获取论文全文。 去求助
来源期刊
JAMIA Open
JAMIA Open Medicine-Health Informatics
CiteScore
4.10
自引率
4.80%
发文量
102
审稿时长
16 weeks
×
引用
GB/T 7714-2015
复制
MLA
复制
APA
复制
导出至
BibTeX EndNote RefMan NoteFirst NoteExpress
×
提示
您的信息不完整,为了账户安全,请先补充。
现在去补充
×
提示
您因"违规操作"
具体请查看互助需知
我知道了
×
提示
确定
请完成安全验证×
copy
已复制链接
快去分享给好友吧!
我知道了
右上角分享
点击右上角分享
0
联系我们:info@booksci.cn Book学术提供免费学术资源搜索服务,方便国内外学者检索中英文文献。致力于提供最便捷和优质的服务体验。 Copyright © 2023 布克学术 All rights reserved.
京ICP备2023020795号-1
ghs 京公网安备 11010802042870号
Book学术文献互助
Book学术文献互助群
群 号:604180095
Book学术官方微信