轻至中度帕金森综合征患者休息和活动模式的特点

IF 1.7
Kaori Ono, Yu Kume
{"title":"轻至中度帕金森综合征患者休息和活动模式的特点","authors":"Kaori Ono, Yu Kume","doi":"10.1111/psyg.70047","DOIUrl":null,"url":null,"abstract":"<p><strong>Background: </strong>Few studies have examined the characteristics of the decline in physical activity levels in Parkinson's disease (PD) patients from the perspective of a 24-h behavioural profile, including sleep.</p><p><strong>Objective: </strong>To identify factors related to the rest and activity patterns in PD patients by assessing the Rest-Activity Rhythm.</p><p><strong>Methods: </strong>The participants were 20 patients with Parkinson's syndrome (PS group) and 20 healthy elderly community residents (control group). The nonparametric rest-activity rhythm parameters were measured by a wristwatch-type activity monitor worn by the study subjects on the non-dominant hand continuously for at least 5 days. To assess the specific symptoms of PS in the patients, the scores on the Movement Disorder Society-Sponsored Revision of the Unified Parkinson's Disease Rating Scale (MDS-UPDRS) were collected from the medical records.</p><p><strong>Results: </strong>In the PS group, a negative correlation was found between the relative amplitude and score for part I of the MDS-UPDRS, that is, non-motor symptoms (r = -0.51, p < 0.05). Additionally, binomial logistic regression analysis revealed two regression models, with Model I showing a significant association with the highest physical activity level over the 24-h profile (odds ratio, 0.96; 95% confidence interval [95% CI], 0.94-0.99; p = 0.002) and Model II showing a significant association with a fragmented rhythm (odds ratio, 1.04; 95% CI, 1.01-1.07; p = 0.004).</p><p><strong>Conclusion: </strong>These results suggest that rehabilitation of PD patients should include increasing their physical activity levels while minimising intermittency of the rest and activity patterns, and that attention should be paid to non-motor symptoms in addition to motor symptoms.</p>","PeriodicalId":74597,"journal":{"name":"Psychogeriatrics : the official journal of the Japanese Psychogeriatric Society","volume":"25 3","pages":"e70047"},"PeriodicalIF":1.7000,"publicationDate":"2025-05-01","publicationTypes":"Journal Article","fieldsOfStudy":null,"isOpenAccess":false,"openAccessPdf":"https://www.ncbi.nlm.nih.gov/pmc/articles/PMC12062425/pdf/","citationCount":"0","resultStr":"{\"title\":\"Characteristics of the Rest and Activity Patterns in Patients With Mild to Moderate Parkinson's Syndrome.\",\"authors\":\"Kaori Ono, Yu Kume\",\"doi\":\"10.1111/psyg.70047\",\"DOIUrl\":null,\"url\":null,\"abstract\":\"<p><strong>Background: </strong>Few studies have examined the characteristics of the decline in physical activity levels in Parkinson's disease (PD) patients from the perspective of a 24-h behavioural profile, including sleep.</p><p><strong>Objective: </strong>To identify factors related to the rest and activity patterns in PD patients by assessing the Rest-Activity Rhythm.</p><p><strong>Methods: </strong>The participants were 20 patients with Parkinson's syndrome (PS group) and 20 healthy elderly community residents (control group). The nonparametric rest-activity rhythm parameters were measured by a wristwatch-type activity monitor worn by the study subjects on the non-dominant hand continuously for at least 5 days. To assess the specific symptoms of PS in the patients, the scores on the Movement Disorder Society-Sponsored Revision of the Unified Parkinson's Disease Rating Scale (MDS-UPDRS) were collected from the medical records.</p><p><strong>Results: </strong>In the PS group, a negative correlation was found between the relative amplitude and score for part I of the MDS-UPDRS, that is, non-motor symptoms (r = -0.51, p < 0.05). Additionally, binomial logistic regression analysis revealed two regression models, with Model I showing a significant association with the highest physical activity level over the 24-h profile (odds ratio, 0.96; 95% confidence interval [95% CI], 0.94-0.99; p = 0.002) and Model II showing a significant association with a fragmented rhythm (odds ratio, 1.04; 95% CI, 1.01-1.07; p = 0.004).</p><p><strong>Conclusion: </strong>These results suggest that rehabilitation of PD patients should include increasing their physical activity levels while minimising intermittency of the rest and activity patterns, and that attention should be paid to non-motor symptoms in addition to motor symptoms.</p>\",\"PeriodicalId\":74597,\"journal\":{\"name\":\"Psychogeriatrics : the official journal of the Japanese Psychogeriatric Society\",\"volume\":\"25 3\",\"pages\":\"e70047\"},\"PeriodicalIF\":1.7000,\"publicationDate\":\"2025-05-01\",\"publicationTypes\":\"Journal Article\",\"fieldsOfStudy\":null,\"isOpenAccess\":false,\"openAccessPdf\":\"https://www.ncbi.nlm.nih.gov/pmc/articles/PMC12062425/pdf/\",\"citationCount\":\"0\",\"resultStr\":null,\"platform\":\"Semanticscholar\",\"paperid\":null,\"PeriodicalName\":\"Psychogeriatrics : the official journal of the Japanese Psychogeriatric Society\",\"FirstCategoryId\":\"1085\",\"ListUrlMain\":\"https://doi.org/10.1111/psyg.70047\",\"RegionNum\":0,\"RegionCategory\":null,\"ArticlePicture\":[],\"TitleCN\":null,\"AbstractTextCN\":null,\"PMCID\":null,\"EPubDate\":\"\",\"PubModel\":\"\",\"JCR\":\"\",\"JCRName\":\"\",\"Score\":null,\"Total\":0}","platform":"Semanticscholar","paperid":null,"PeriodicalName":"Psychogeriatrics : the official journal of the Japanese Psychogeriatric Society","FirstCategoryId":"1085","ListUrlMain":"https://doi.org/10.1111/psyg.70047","RegionNum":0,"RegionCategory":null,"ArticlePicture":[],"TitleCN":null,"AbstractTextCN":null,"PMCID":null,"EPubDate":"","PubModel":"","JCR":"","JCRName":"","Score":null,"Total":0}
引用次数: 0

摘要

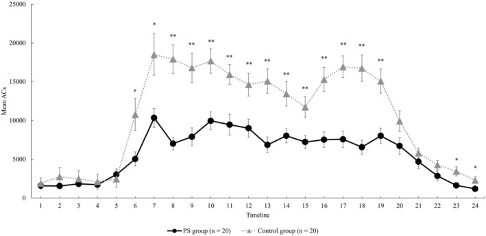
背景:很少有研究从24小时行为特征(包括睡眠)的角度研究帕金森病(PD)患者身体活动水平下降的特征。目的:通过对PD患者休息-活动节律的评估,确定与PD患者休息和活动模式相关的因素。方法:选取20例帕金森综合征患者(PS组)和20例健康老年社区居民(对照组)。非参数休息-活动节律参数由研究对象连续至少5天佩戴在非优势手上的腕式活动监测仪测量。为了评估PS患者的具体症状,从医疗记录中收集运动障碍学会赞助的统一帕金森病评定量表(MDS-UPDRS)的分数。结果:在PS组中,MDS-UPDRS第一部分即非运动症状的相对振幅与评分呈负相关(r = -0.51, p)。结论:PD患者的康复应包括增加身体活动水平,同时尽量减少休息和活动模式的间歇性,在注意运动症状的同时,还应注意非运动症状。
本文章由计算机程序翻译,如有差异,请以英文原文为准。

Characteristics of the Rest and Activity Patterns in Patients With Mild to Moderate Parkinson's Syndrome.

Characteristics of the Rest and Activity Patterns in Patients With Mild to Moderate Parkinson's Syndrome.

Characteristics of the Rest and Activity Patterns in Patients With Mild to Moderate Parkinson's Syndrome.

Background: Few studies have examined the characteristics of the decline in physical activity levels in Parkinson's disease (PD) patients from the perspective of a 24-h behavioural profile, including sleep.

Objective: To identify factors related to the rest and activity patterns in PD patients by assessing the Rest-Activity Rhythm.

Methods: The participants were 20 patients with Parkinson's syndrome (PS group) and 20 healthy elderly community residents (control group). The nonparametric rest-activity rhythm parameters were measured by a wristwatch-type activity monitor worn by the study subjects on the non-dominant hand continuously for at least 5 days. To assess the specific symptoms of PS in the patients, the scores on the Movement Disorder Society-Sponsored Revision of the Unified Parkinson's Disease Rating Scale (MDS-UPDRS) were collected from the medical records.

Results: In the PS group, a negative correlation was found between the relative amplitude and score for part I of the MDS-UPDRS, that is, non-motor symptoms (r = -0.51, p < 0.05). Additionally, binomial logistic regression analysis revealed two regression models, with Model I showing a significant association with the highest physical activity level over the 24-h profile (odds ratio, 0.96; 95% confidence interval [95% CI], 0.94-0.99; p = 0.002) and Model II showing a significant association with a fragmented rhythm (odds ratio, 1.04; 95% CI, 1.01-1.07; p = 0.004).

Conclusion: These results suggest that rehabilitation of PD patients should include increasing their physical activity levels while minimising intermittency of the rest and activity patterns, and that attention should be paid to non-motor symptoms in addition to motor symptoms.

求助全文
通过发布文献求助,成功后即可免费获取论文全文。 去求助
来源期刊
自引率
0.00%
发文量
0
×
引用
GB/T 7714-2015
复制
MLA
复制
APA
复制
导出至
BibTeX EndNote RefMan NoteFirst NoteExpress
×
提示
您的信息不完整,为了账户安全,请先补充。
现在去补充
×
提示
您因"违规操作"
具体请查看互助需知
我知道了
×
提示
确定
请完成安全验证×
copy
已复制链接
快去分享给好友吧!
我知道了
右上角分享
点击右上角分享
0
联系我们:info@booksci.cn Book学术提供免费学术资源搜索服务,方便国内外学者检索中英文文献。致力于提供最便捷和优质的服务体验。 Copyright © 2023 布克学术 All rights reserved.
京ICP备2023020795号-1
ghs 京公网安备 11010802042870号
Book学术文献互助
Book学术文献互助群
群 号:604180095
Book学术官方微信