创伤性凝血功能障碍合并严重多发创伤的Nomogram预后预测模型。

IF 0.7 Q3 EMERGENCY MEDICINE
Journal of Emergencies, Trauma, and Shock Pub Date : 2025-01-01 Epub Date: 2025-02-27 DOI:10.4103/jets.jets_124_24
Jun Shen, Feng Xu
{"title":"创伤性凝血功能障碍合并严重多发创伤的Nomogram预后预测模型。","authors":"Jun Shen, Feng Xu","doi":"10.4103/jets.jets_124_24","DOIUrl":null,"url":null,"abstract":"<p><strong>Introduction: </strong>The objective of this study was to investigate the predictive value of thromboelastography (TEG) combined with conventional coagulation test parameters for the clinical outcome of patients with trauma-induced coagulopathy (TIC) and establish and evaluate a clinical nomogram for predicting the prognosis of TIC patients.</p><p><strong>Methods: </strong>Clinical data of severe multiple trauma patients who underwent emergency treatment in the hospital from November 2018 to August 2021 were enrolled retrospectively. The prognosis was evaluated according to the length of hospital stay and the 30-day survival rate. Multivariable logistic regression model was used to evaluate the correlation between TEG parameters and clinical outcomes. A nomogram model was constructed and the receiver operating characteristic (ROC) curve was used to evaluate the predictive value.</p><p><strong>Results: </strong>Univariate analysis indicated that there were significant differences in age, hypertension, temperature fluctuation (>3°C), transfusion, kinetics time (K), angle (α) value, maximal amplitude (MA), and international normalized ratio between the good and poor outcome group (<i>P</i> < 0.05). Multivariate logistic regression analysis showed that age, Glasgow Coma Scale scores, temperature fluctuation (>3°C), and MA parameters were independent risk factors for poor outcome, and we established the nomogram prediction model. According to ROC curve analysis, the area under the curve for MA parameter was 0.689 (95% confidence interval [CI]: 0.610-0.760), and the corresponding sensitivity and specificity were 44.12% and 91.87%, respectively. The area under the curve for temperature fluctuation (>3°C) was 0.697 (95% CI: 0.618-0.768), and the corresponding sensitivity and specificity were 60.00% and 79.67%, respectively.</p><p><strong>Conclusion: </strong>TEG parameters combined with relevant clinical indicators can be used to evaluate the prognosis of TIC patients with severe multiple trauma. The establishment of correlation nomogram model was guiding significance for clinical evaluation of long-term prognosis of trauma patients.</p>","PeriodicalId":15692,"journal":{"name":"Journal of Emergencies, Trauma, and Shock","volume":"18 1","pages":"3-9"},"PeriodicalIF":0.7000,"publicationDate":"2025-01-01","publicationTypes":"Journal Article","fieldsOfStudy":null,"isOpenAccess":false,"openAccessPdf":"https://www.ncbi.nlm.nih.gov/pmc/articles/PMC12020931/pdf/","citationCount":"0","resultStr":"{\"title\":\"A Nomogram Prediction Model for Clinical Outcome of Trauma-induced Coagulopathy Patients with Severe Multiple Trauma.\",\"authors\":\"Jun Shen, Feng Xu\",\"doi\":\"10.4103/jets.jets_124_24\",\"DOIUrl\":null,\"url\":null,\"abstract\":\"<p><strong>Introduction: </strong>The objective of this study was to investigate the predictive value of thromboelastography (TEG) combined with conventional coagulation test parameters for the clinical outcome of patients with trauma-induced coagulopathy (TIC) and establish and evaluate a clinical nomogram for predicting the prognosis of TIC patients.</p><p><strong>Methods: </strong>Clinical data of severe multiple trauma patients who underwent emergency treatment in the hospital from November 2018 to August 2021 were enrolled retrospectively. The prognosis was evaluated according to the length of hospital stay and the 30-day survival rate. Multivariable logistic regression model was used to evaluate the correlation between TEG parameters and clinical outcomes. A nomogram model was constructed and the receiver operating characteristic (ROC) curve was used to evaluate the predictive value.</p><p><strong>Results: </strong>Univariate analysis indicated that there were significant differences in age, hypertension, temperature fluctuation (>3°C), transfusion, kinetics time (K), angle (α) value, maximal amplitude (MA), and international normalized ratio between the good and poor outcome group (<i>P</i> < 0.05). Multivariate logistic regression analysis showed that age, Glasgow Coma Scale scores, temperature fluctuation (>3°C), and MA parameters were independent risk factors for poor outcome, and we established the nomogram prediction model. According to ROC curve analysis, the area under the curve for MA parameter was 0.689 (95% confidence interval [CI]: 0.610-0.760), and the corresponding sensitivity and specificity were 44.12% and 91.87%, respectively. The area under the curve for temperature fluctuation (>3°C) was 0.697 (95% CI: 0.618-0.768), and the corresponding sensitivity and specificity were 60.00% and 79.67%, respectively.</p><p><strong>Conclusion: </strong>TEG parameters combined with relevant clinical indicators can be used to evaluate the prognosis of TIC patients with severe multiple trauma. The establishment of correlation nomogram model was guiding significance for clinical evaluation of long-term prognosis of trauma patients.</p>\",\"PeriodicalId\":15692,\"journal\":{\"name\":\"Journal of Emergencies, Trauma, and Shock\",\"volume\":\"18 1\",\"pages\":\"3-9\"},\"PeriodicalIF\":0.7000,\"publicationDate\":\"2025-01-01\",\"publicationTypes\":\"Journal Article\",\"fieldsOfStudy\":null,\"isOpenAccess\":false,\"openAccessPdf\":\"https://www.ncbi.nlm.nih.gov/pmc/articles/PMC12020931/pdf/\",\"citationCount\":\"0\",\"resultStr\":null,\"platform\":\"Semanticscholar\",\"paperid\":null,\"PeriodicalName\":\"Journal of Emergencies, Trauma, and Shock\",\"FirstCategoryId\":\"1085\",\"ListUrlMain\":\"https://doi.org/10.4103/jets.jets_124_24\",\"RegionNum\":0,\"RegionCategory\":null,\"ArticlePicture\":[],\"TitleCN\":null,\"AbstractTextCN\":null,\"PMCID\":null,\"EPubDate\":\"2025/2/27 0:00:00\",\"PubModel\":\"Epub\",\"JCR\":\"Q3\",\"JCRName\":\"EMERGENCY MEDICINE\",\"Score\":null,\"Total\":0}","platform":"Semanticscholar","paperid":null,"PeriodicalName":"Journal of Emergencies, Trauma, and Shock","FirstCategoryId":"1085","ListUrlMain":"https://doi.org/10.4103/jets.jets_124_24","RegionNum":0,"RegionCategory":null,"ArticlePicture":[],"TitleCN":null,"AbstractTextCN":null,"PMCID":null,"EPubDate":"2025/2/27 0:00:00","PubModel":"Epub","JCR":"Q3","JCRName":"EMERGENCY MEDICINE","Score":null,"Total":0}
引用次数: 0

摘要

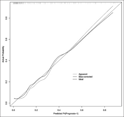
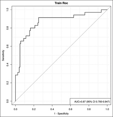
前言:本研究的目的是探讨血栓弹性成像(TEG)联合常规凝血试验参数对创伤性凝血病(TIC)患者临床预后的预测价值,建立并评价用于预测TIC患者预后的临床nomogram。方法:回顾性分析2018年11月至2021年8月在该院急诊治疗的严重多发创伤患者的临床资料。根据住院时间和30天生存率评价预后。采用多变量logistic回归模型评价TEG参数与临床结局的相关性。建立nomogram模型,采用受试者工作特征(receiver operating characteristic, ROC)曲线评价预测价值。结果:单因素分析显示,预后良好组与预后不良组在年龄、高血压、体温波动(>3°C)、输血、动力学时间(K)、角度(α)值、最大振幅(MA)、国际标准化比值等方面差异均有统计学意义(P < 0.05)。多因素logistic回归分析显示,年龄、格拉斯哥昏迷量表评分、体温波动(> ~ 3℃)、MA参数是预后不良的独立危险因素,我们建立了nomogram预测模型。根据ROC曲线分析,MA参数曲线下面积为0.689(95%可信区间[CI]: 0.610-0.760),相应的敏感性和特异性分别为44.12%和91.87%。温度波动(> ~ 3℃)曲线下面积为0.697 (95% CI: 0.618 ~ 0.768),敏感性为60.00%,特异性为79.67%。结论:TEG参数结合相关临床指标可用于评价TIC合并严重多发伤患者的预后。相关图模型的建立对创伤患者长期预后的临床评价具有指导意义。
本文章由计算机程序翻译,如有差异,请以英文原文为准。

A Nomogram Prediction Model for Clinical Outcome of Trauma-induced Coagulopathy Patients with Severe Multiple Trauma.

A Nomogram Prediction Model for Clinical Outcome of Trauma-induced Coagulopathy Patients with Severe Multiple Trauma.

A Nomogram Prediction Model for Clinical Outcome of Trauma-induced Coagulopathy Patients with Severe Multiple Trauma.

A Nomogram Prediction Model for Clinical Outcome of Trauma-induced Coagulopathy Patients with Severe Multiple Trauma.

Introduction: The objective of this study was to investigate the predictive value of thromboelastography (TEG) combined with conventional coagulation test parameters for the clinical outcome of patients with trauma-induced coagulopathy (TIC) and establish and evaluate a clinical nomogram for predicting the prognosis of TIC patients.

Methods: Clinical data of severe multiple trauma patients who underwent emergency treatment in the hospital from November 2018 to August 2021 were enrolled retrospectively. The prognosis was evaluated according to the length of hospital stay and the 30-day survival rate. Multivariable logistic regression model was used to evaluate the correlation between TEG parameters and clinical outcomes. A nomogram model was constructed and the receiver operating characteristic (ROC) curve was used to evaluate the predictive value.

Results: Univariate analysis indicated that there were significant differences in age, hypertension, temperature fluctuation (>3°C), transfusion, kinetics time (K), angle (α) value, maximal amplitude (MA), and international normalized ratio between the good and poor outcome group (P < 0.05). Multivariate logistic regression analysis showed that age, Glasgow Coma Scale scores, temperature fluctuation (>3°C), and MA parameters were independent risk factors for poor outcome, and we established the nomogram prediction model. According to ROC curve analysis, the area under the curve for MA parameter was 0.689 (95% confidence interval [CI]: 0.610-0.760), and the corresponding sensitivity and specificity were 44.12% and 91.87%, respectively. The area under the curve for temperature fluctuation (>3°C) was 0.697 (95% CI: 0.618-0.768), and the corresponding sensitivity and specificity were 60.00% and 79.67%, respectively.

Conclusion: TEG parameters combined with relevant clinical indicators can be used to evaluate the prognosis of TIC patients with severe multiple trauma. The establishment of correlation nomogram model was guiding significance for clinical evaluation of long-term prognosis of trauma patients.

求助全文
通过发布文献求助,成功后即可免费获取论文全文。 去求助
来源期刊
CiteScore
2.90
自引率
7.10%
发文量
52
审稿时长
39 weeks
×
引用
GB/T 7714-2015
复制
MLA
复制
APA
复制
导出至
BibTeX EndNote RefMan NoteFirst NoteExpress
×
提示
您的信息不完整,为了账户安全,请先补充。
现在去补充
×
提示
您因"违规操作"
具体请查看互助需知
我知道了
×
提示
确定
请完成安全验证×
copy
已复制链接
快去分享给好友吧!
我知道了
右上角分享
点击右上角分享
0
联系我们:info@booksci.cn Book学术提供免费学术资源搜索服务,方便国内外学者检索中英文文献。致力于提供最便捷和优质的服务体验。 Copyright © 2023 布克学术 All rights reserved.
京ICP备2023020795号-1
ghs 京公网安备 11010802042870号
Book学术文献互助
Book学术文献互助群
群 号:604180095
Book学术官方微信