最初原发肿瘤缩小或淋巴结缩小:在食管鳞状细胞癌患者接受新辅助化疗后手术,哪个是更好的预后因素?

IF 3.8 4区 医学 Q3 GASTROENTEROLOGY & HEPATOLOGY
Esophagus Pub Date : 2025-07-01 Epub Date: 2025-04-28 DOI:10.1007/s10388-025-01128-5
Takaomi Hagi, Osamu Shiraishi, Masuhiro Terada, Atsushi Yamada, Masashi Kohda, Tomoya Nakanishi, Yoko Hiraki, Hiroaki Kato, Atsushi Yasuda, Masayuki Shinkai, Motohiro Imano, Takushi Yasuda
{"title":"最初原发肿瘤缩小或淋巴结缩小:在食管鳞状细胞癌患者接受新辅助化疗后手术,哪个是更好的预后因素?","authors":"Takaomi Hagi, Osamu Shiraishi, Masuhiro Terada, Atsushi Yamada, Masashi Kohda, Tomoya Nakanishi, Yoko Hiraki, Hiroaki Kato, Atsushi Yasuda, Masayuki Shinkai, Motohiro Imano, Takushi Yasuda","doi":"10.1007/s10388-025-01128-5","DOIUrl":null,"url":null,"abstract":"<p><strong>Background: </strong>Early response of the primary tumor (PT) to neoadjuvant chemotherapy (NAC) in patients with esophageal squamous cell carcinoma (ESCC) is considered a potential predictor of postoperative prognosis. However, the role of metastatic lymph nodes (LNs) remains poorly understood. This study aimed to compare the predictive value of early response in PT and LNs for postoperative prognosis.</p><p><strong>Methods: </strong>We enrolled 124 consecutive patients who received NAC-docetaxel, cisplatin, 5-fluorouracil (DCF) followed by surgery for ESCC between April 2010 and March 2020. Initial tumor reduction of the PT (ITR-PT) and LN (ITR-LN), defined as the percentage decrease in tumor shorter diameter after the first course of NAC-DCF, was evaluated using computed tomography. The optimal cut-off values of ITRs were determined using receiver operating characteristic curves and Cox regression models, and their relationship with recurrence-free survival (RFS) was analyzed.</p><p><strong>Results: </strong>The median ITR-PT and ITR-LN were 21.77% and -0.88%, respectively. The optimal cut-off values for predicting prognosis were approximately 10% for ITR-PT (hazard ratio [HR], 3.23; 95% confidence interval [CI], 1.84-5.64) and -10% for ITR-LN (HR, 2.20; 95% CI, 1.27-3.80). ITR-PT showed a greater impact on RFS (3-year RFS: ITR-PT ≥ 10%, 66.1%; ITR-PT < 10%, 18.4%; log-rank P < 0.001) compared with ITR-LN (3-year RFS: ITR-LN ≥ -10%, 64.1%; ITR-PT < -10%, 34.3%; log-rank P = 0.004). Multivariate analysis of RFS identified ypN, ITR-PT, and ITR-LN as independent prognostic factors.</p><p><strong>Conclusions: </strong>Both ITR-PT and ITR-LN are promising predictors of survival in patients with ESCC who underwent NAC-DCF plus surgery. ITR-PT may be a stronger prognostic factor than ITR-LN.</p>","PeriodicalId":11918,"journal":{"name":"Esophagus","volume":" ","pages":"398-409"},"PeriodicalIF":3.8000,"publicationDate":"2025-07-01","publicationTypes":"Journal Article","fieldsOfStudy":null,"isOpenAccess":false,"openAccessPdf":"https://www.ncbi.nlm.nih.gov/pmc/articles/PMC12167354/pdf/","citationCount":"0","resultStr":"{\"title\":\"Initial reduction of the primary tumor or lymph nodes: which is the better prognostic factor in patients with esophageal squamous cell carcinoma receiving neoadjuvant chemotherapy followed by surgery?\",\"authors\":\"Takaomi Hagi, Osamu Shiraishi, Masuhiro Terada, Atsushi Yamada, Masashi Kohda, Tomoya Nakanishi, Yoko Hiraki, Hiroaki Kato, Atsushi Yasuda, Masayuki Shinkai, Motohiro Imano, Takushi Yasuda\",\"doi\":\"10.1007/s10388-025-01128-5\",\"DOIUrl\":null,\"url\":null,\"abstract\":\"<p><strong>Background: </strong>Early response of the primary tumor (PT) to neoadjuvant chemotherapy (NAC) in patients with esophageal squamous cell carcinoma (ESCC) is considered a potential predictor of postoperative prognosis. However, the role of metastatic lymph nodes (LNs) remains poorly understood. This study aimed to compare the predictive value of early response in PT and LNs for postoperative prognosis.</p><p><strong>Methods: </strong>We enrolled 124 consecutive patients who received NAC-docetaxel, cisplatin, 5-fluorouracil (DCF) followed by surgery for ESCC between April 2010 and March 2020. Initial tumor reduction of the PT (ITR-PT) and LN (ITR-LN), defined as the percentage decrease in tumor shorter diameter after the first course of NAC-DCF, was evaluated using computed tomography. The optimal cut-off values of ITRs were determined using receiver operating characteristic curves and Cox regression models, and their relationship with recurrence-free survival (RFS) was analyzed.</p><p><strong>Results: </strong>The median ITR-PT and ITR-LN were 21.77% and -0.88%, respectively. The optimal cut-off values for predicting prognosis were approximately 10% for ITR-PT (hazard ratio [HR], 3.23; 95% confidence interval [CI], 1.84-5.64) and -10% for ITR-LN (HR, 2.20; 95% CI, 1.27-3.80). ITR-PT showed a greater impact on RFS (3-year RFS: ITR-PT ≥ 10%, 66.1%; ITR-PT < 10%, 18.4%; log-rank P < 0.001) compared with ITR-LN (3-year RFS: ITR-LN ≥ -10%, 64.1%; ITR-PT < -10%, 34.3%; log-rank P = 0.004). Multivariate analysis of RFS identified ypN, ITR-PT, and ITR-LN as independent prognostic factors.</p><p><strong>Conclusions: </strong>Both ITR-PT and ITR-LN are promising predictors of survival in patients with ESCC who underwent NAC-DCF plus surgery. ITR-PT may be a stronger prognostic factor than ITR-LN.</p>\",\"PeriodicalId\":11918,\"journal\":{\"name\":\"Esophagus\",\"volume\":\" \",\"pages\":\"398-409\"},\"PeriodicalIF\":3.8000,\"publicationDate\":\"2025-07-01\",\"publicationTypes\":\"Journal Article\",\"fieldsOfStudy\":null,\"isOpenAccess\":false,\"openAccessPdf\":\"https://www.ncbi.nlm.nih.gov/pmc/articles/PMC12167354/pdf/\",\"citationCount\":\"0\",\"resultStr\":null,\"platform\":\"Semanticscholar\",\"paperid\":null,\"PeriodicalName\":\"Esophagus\",\"FirstCategoryId\":\"3\",\"ListUrlMain\":\"https://doi.org/10.1007/s10388-025-01128-5\",\"RegionNum\":4,\"RegionCategory\":\"医学\",\"ArticlePicture\":[],\"TitleCN\":null,\"AbstractTextCN\":null,\"PMCID\":null,\"EPubDate\":\"2025/4/28 0:00:00\",\"PubModel\":\"Epub\",\"JCR\":\"Q3\",\"JCRName\":\"GASTROENTEROLOGY & HEPATOLOGY\",\"Score\":null,\"Total\":0}","platform":"Semanticscholar","paperid":null,"PeriodicalName":"Esophagus","FirstCategoryId":"3","ListUrlMain":"https://doi.org/10.1007/s10388-025-01128-5","RegionNum":4,"RegionCategory":"医学","ArticlePicture":[],"TitleCN":null,"AbstractTextCN":null,"PMCID":null,"EPubDate":"2025/4/28 0:00:00","PubModel":"Epub","JCR":"Q3","JCRName":"GASTROENTEROLOGY & HEPATOLOGY","Score":null,"Total":0}
引用次数: 0

摘要

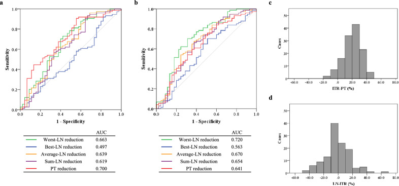
背景:食管鳞状细胞癌(ESCC)患者原发肿瘤(PT)对新辅助化疗(NAC)的早期反应被认为是术后预后的潜在预测因素。然而,转移性淋巴结(LNs)的作用仍然知之甚少。本研究旨在比较PT和LNs的早期反应对术后预后的预测价值。方法:在2010年4月至2020年3月期间,我们招募了124名连续接受nac -多西紫杉醇、顺铂、5-氟尿嘧啶(DCF)治疗的ESCC患者。使用计算机断层扫描评估第一个疗程NAC-DCF后,PT (ITR-PT)和LN (ITR-LN)的初始肿瘤缩小率,定义为肿瘤较短直径缩小的百分比。采用受试者工作特征曲线和Cox回归模型确定itr的最佳临界值,并分析其与无复发生存率(RFS)的关系。结果:中位ITR-PT和ITR-LN分别为21.77%和-0.88%。ITR-PT预测预后的最佳临界值约为10%(风险比[HR], 3.23;95%可信区间[CI], 1.84-5.64)和-10%的ITR-LN (HR, 2.20;95% ci, 1.27-3.80)。ITR-PT对RFS的影响更大(3年RFS: ITR-PT≥10%,66.1%;结论:ITR-PT和ITR-LN都是预测接受NAC-DCF +手术的ESCC患者生存的有希望的指标。ITR-PT可能是比ITR-LN更强的预后因素。
本文章由计算机程序翻译,如有差异,请以英文原文为准。

Initial reduction of the primary tumor or lymph nodes: which is the better prognostic factor in patients with esophageal squamous cell carcinoma receiving neoadjuvant chemotherapy followed by surgery?

Initial reduction of the primary tumor or lymph nodes: which is the better prognostic factor in patients with esophageal squamous cell carcinoma receiving neoadjuvant chemotherapy followed by surgery?

Initial reduction of the primary tumor or lymph nodes: which is the better prognostic factor in patients with esophageal squamous cell carcinoma receiving neoadjuvant chemotherapy followed by surgery?

Background: Early response of the primary tumor (PT) to neoadjuvant chemotherapy (NAC) in patients with esophageal squamous cell carcinoma (ESCC) is considered a potential predictor of postoperative prognosis. However, the role of metastatic lymph nodes (LNs) remains poorly understood. This study aimed to compare the predictive value of early response in PT and LNs for postoperative prognosis.

Methods: We enrolled 124 consecutive patients who received NAC-docetaxel, cisplatin, 5-fluorouracil (DCF) followed by surgery for ESCC between April 2010 and March 2020. Initial tumor reduction of the PT (ITR-PT) and LN (ITR-LN), defined as the percentage decrease in tumor shorter diameter after the first course of NAC-DCF, was evaluated using computed tomography. The optimal cut-off values of ITRs were determined using receiver operating characteristic curves and Cox regression models, and their relationship with recurrence-free survival (RFS) was analyzed.

Results: The median ITR-PT and ITR-LN were 21.77% and -0.88%, respectively. The optimal cut-off values for predicting prognosis were approximately 10% for ITR-PT (hazard ratio [HR], 3.23; 95% confidence interval [CI], 1.84-5.64) and -10% for ITR-LN (HR, 2.20; 95% CI, 1.27-3.80). ITR-PT showed a greater impact on RFS (3-year RFS: ITR-PT ≥ 10%, 66.1%; ITR-PT < 10%, 18.4%; log-rank P < 0.001) compared with ITR-LN (3-year RFS: ITR-LN ≥ -10%, 64.1%; ITR-PT < -10%, 34.3%; log-rank P = 0.004). Multivariate analysis of RFS identified ypN, ITR-PT, and ITR-LN as independent prognostic factors.

Conclusions: Both ITR-PT and ITR-LN are promising predictors of survival in patients with ESCC who underwent NAC-DCF plus surgery. ITR-PT may be a stronger prognostic factor than ITR-LN.

求助全文
通过发布文献求助,成功后即可免费获取论文全文。 去求助
来源期刊
Esophagus
Esophagus GASTROENTEROLOGY & HEPATOLOGY-
CiteScore
4.90
自引率
8.30%
发文量
78
审稿时长
>12 weeks
期刊介绍: Esophagus, the official journal of the Japan Esophageal Society, introduces practitioners and researchers to significant studies in the fields of benign and malignant diseases of the esophagus. The journal welcomes original articles, review articles, and short articles including technical notes ( How I do it ), which will be peer-reviewed by the editorial board. Letters to the editor are also welcome. Special articles on esophageal diseases will be provided by the editorial board, and proceedings of symposia and workshops will be included in special issues for the Annual Congress of the Society.
×
引用
GB/T 7714-2015
复制
MLA
复制
APA
复制
导出至
BibTeX EndNote RefMan NoteFirst NoteExpress
×
提示
您的信息不完整,为了账户安全,请先补充。
现在去补充
×
提示
您因"违规操作"
具体请查看互助需知
我知道了
×
提示
确定
请完成安全验证×
copy
已复制链接
快去分享给好友吧!
我知道了
右上角分享
点击右上角分享
0
联系我们:info@booksci.cn Book学术提供免费学术资源搜索服务,方便国内外学者检索中英文文献。致力于提供最便捷和优质的服务体验。 Copyright © 2023 布克学术 All rights reserved.
京ICP备2023020795号-1
ghs 京公网安备 11010802042870号
Book学术文献互助
Book学术文献互助群
群 号:604180095
Book学术官方微信