焦虑的父亲和抑郁的母亲:儿童残疾和父母的心理健康。

IF 2.4 3区 医学 Q2 ECONOMICS
Health economics Pub Date : 2025-04-10 DOI:10.1002/hec.4962
Derek Asuman, Tinna Laufey Ásgeirsdóttir, Johan Jarl
{"title":"焦虑的父亲和抑郁的母亲:儿童残疾和父母的心理健康。","authors":"Derek Asuman,&nbsp;Tinna Laufey Ásgeirsdóttir,&nbsp;Johan Jarl","doi":"10.1002/hec.4962","DOIUrl":null,"url":null,"abstract":"<p>Having a child with a disability undoubtedly affects parents in many ways, including their well-being. However, the specific mental health trajectories of parents, differentiated by the severity of impairments and parental roles, remain under-explored. We investigate the mental-health effects of having a child with a disability. Using individual-level register data from Sweden, we exploit the epidemiological features of Cerebral Palsy (CP) to estimate causal effects. Results show that prescriptions for mental-health disorders increase after the birth of a child with CP. While fathers are more likely to be dispensed anti-anxiety medications, dispensed medications for anti-depressants increase for mothers. Further, the effects are larger for parents of children with severe impairments but do not differ across parental characteristics. Our findings highlight the need for support and assistance for families with children with disabilities.</p>","PeriodicalId":12847,"journal":{"name":"Health economics","volume":"34 7","pages":"1326-1349"},"PeriodicalIF":2.4000,"publicationDate":"2025-04-10","publicationTypes":"Journal Article","fieldsOfStudy":null,"isOpenAccess":false,"openAccessPdf":"https://onlinelibrary.wiley.com/doi/epdf/10.1002/hec.4962","citationCount":"0","resultStr":"{\"title\":\"Anxious Dads and Depressed Moms: Child Disability and the Mental Health of Parents\",\"authors\":\"Derek Asuman,&nbsp;Tinna Laufey Ásgeirsdóttir,&nbsp;Johan Jarl\",\"doi\":\"10.1002/hec.4962\",\"DOIUrl\":null,\"url\":null,\"abstract\":\"<p>Having a child with a disability undoubtedly affects parents in many ways, including their well-being. However, the specific mental health trajectories of parents, differentiated by the severity of impairments and parental roles, remain under-explored. We investigate the mental-health effects of having a child with a disability. Using individual-level register data from Sweden, we exploit the epidemiological features of Cerebral Palsy (CP) to estimate causal effects. Results show that prescriptions for mental-health disorders increase after the birth of a child with CP. While fathers are more likely to be dispensed anti-anxiety medications, dispensed medications for anti-depressants increase for mothers. Further, the effects are larger for parents of children with severe impairments but do not differ across parental characteristics. Our findings highlight the need for support and assistance for families with children with disabilities.</p>\",\"PeriodicalId\":12847,\"journal\":{\"name\":\"Health economics\",\"volume\":\"34 7\",\"pages\":\"1326-1349\"},\"PeriodicalIF\":2.4000,\"publicationDate\":\"2025-04-10\",\"publicationTypes\":\"Journal Article\",\"fieldsOfStudy\":null,\"isOpenAccess\":false,\"openAccessPdf\":\"https://onlinelibrary.wiley.com/doi/epdf/10.1002/hec.4962\",\"citationCount\":\"0\",\"resultStr\":null,\"platform\":\"Semanticscholar\",\"paperid\":null,\"PeriodicalName\":\"Health economics\",\"FirstCategoryId\":\"3\",\"ListUrlMain\":\"https://onlinelibrary.wiley.com/doi/10.1002/hec.4962\",\"RegionNum\":3,\"RegionCategory\":\"医学\",\"ArticlePicture\":[],\"TitleCN\":null,\"AbstractTextCN\":null,\"PMCID\":null,\"EPubDate\":\"\",\"PubModel\":\"\",\"JCR\":\"Q2\",\"JCRName\":\"ECONOMICS\",\"Score\":null,\"Total\":0}","platform":"Semanticscholar","paperid":null,"PeriodicalName":"Health economics","FirstCategoryId":"3","ListUrlMain":"https://onlinelibrary.wiley.com/doi/10.1002/hec.4962","RegionNum":3,"RegionCategory":"医学","ArticlePicture":[],"TitleCN":null,"AbstractTextCN":null,"PMCID":null,"EPubDate":"","PubModel":"","JCR":"Q2","JCRName":"ECONOMICS","Score":null,"Total":0}
引用次数: 0

摘要

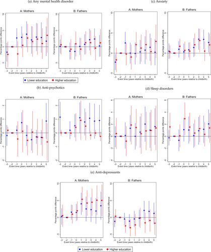
有一个残疾的孩子无疑会在很多方面影响父母,包括他们的幸福。然而,根据损伤的严重程度和父母的角色来区分的父母的具体心理健康轨迹,仍然没有得到充分的探索。我们调查有残疾的孩子对心理健康的影响。使用来自瑞典的个人水平登记数据,我们利用脑瘫(CP)的流行病学特征来估计因果关系。结果显示,患有CP的孩子出生后,心理健康障碍的处方增加了。父亲更有可能得到抗焦虑药物,而母亲得到的抗抑郁药物则增加了。此外,对于有严重缺陷的孩子的父母,这种影响更大,但在父母的特征上没有差异。我们的研究结果强调了为有残疾儿童的家庭提供支持和帮助的必要性。
本文章由计算机程序翻译,如有差异,请以英文原文为准。

Anxious Dads and Depressed Moms: Child Disability and the Mental Health of Parents

Anxious Dads and Depressed Moms: Child Disability and the Mental Health of Parents

Having a child with a disability undoubtedly affects parents in many ways, including their well-being. However, the specific mental health trajectories of parents, differentiated by the severity of impairments and parental roles, remain under-explored. We investigate the mental-health effects of having a child with a disability. Using individual-level register data from Sweden, we exploit the epidemiological features of Cerebral Palsy (CP) to estimate causal effects. Results show that prescriptions for mental-health disorders increase after the birth of a child with CP. While fathers are more likely to be dispensed anti-anxiety medications, dispensed medications for anti-depressants increase for mothers. Further, the effects are larger for parents of children with severe impairments but do not differ across parental characteristics. Our findings highlight the need for support and assistance for families with children with disabilities.

求助全文
通过发布文献求助,成功后即可免费获取论文全文。 去求助
来源期刊
Health economics
Health economics 医学-卫生保健
CiteScore
3.60
自引率
4.80%
发文量
177
审稿时长
4-8 weeks
期刊介绍: This Journal publishes articles on all aspects of health economics: theoretical contributions, empirical studies and analyses of health policy from the economic perspective. Its scope includes the determinants of health and its definition and valuation, as well as the demand for and supply of health care; planning and market mechanisms; micro-economic evaluation of individual procedures and treatments; and evaluation of the performance of health care systems. Contributions should typically be original and innovative. As a rule, the Journal does not include routine applications of cost-effectiveness analysis, discrete choice experiments and costing analyses. Editorials are regular features, these should be concise and topical. Occasionally commissioned reviews are published and special issues bring together contributions on a single topic. Health Economics Letters facilitate rapid exchange of views on topical issues. Contributions related to problems in both developed and developing countries are welcome.
×
引用
GB/T 7714-2015
复制
MLA
复制
APA
复制
导出至
BibTeX EndNote RefMan NoteFirst NoteExpress
×
提示
您的信息不完整,为了账户安全,请先补充。
现在去补充
×
提示
您因"违规操作"
具体请查看互助需知
我知道了
×
提示
确定
请完成安全验证×
copy
已复制链接
快去分享给好友吧!
我知道了
右上角分享
点击右上角分享
0
联系我们:info@booksci.cn Book学术提供免费学术资源搜索服务,方便国内外学者检索中英文文献。致力于提供最便捷和优质的服务体验。 Copyright © 2023 布克学术 All rights reserved.
京ICP备2023020795号-1
ghs 京公网安备 11010802042870号
Book学术文献互助
Book学术文献互助群
群 号:604180095
Book学术官方微信