使用脉冲振荡法和呼气一氧化氮分数检测控制不充分的成人哮喘。

IF 3 3区 医学 Q2 ALLERGY
Journal of Asthma and Allergy Pub Date : 2025-04-25 eCollection Date: 2025-01-01 DOI:10.2147/JAA.S516257
Xuwen Yang, Meishan Liu, Honglei Shi, Mengjia Hu, Yong Lu, Xiaohong Chang, Kewu Huang
{"title":"使用脉冲振荡法和呼气一氧化氮分数检测控制不充分的成人哮喘。","authors":"Xuwen Yang, Meishan Liu, Honglei Shi, Mengjia Hu, Yong Lu, Xiaohong Chang, Kewu Huang","doi":"10.2147/JAA.S516257","DOIUrl":null,"url":null,"abstract":"<p><strong>Purpose: </strong>To investigate the effectiveness of impulse oscillometry (IOS) and its combination with fractional expiratory nitric oxide (FeNO) in distinguishing inadequately controlled asthma (ICA) from well-controlled asthma (WCA) in adults.</p><p><strong>Patients and methods: </strong>Adult patients aged 18 and above with asthma were recruited and underwent routine blood tests, FeNO, IOS, and spirometry before and after bronchodilator administration on the same day. Asthma control level was assessed using Asthma Control Test (ACT) scores; WCA was defined as a score above 20, while ICA was defined as a score of 20 or below. Receiver operating characteristic curve (ROC) and logistic regression analyses were employed to determine the relationship between IOS and FeNO measurements and asthma control.</p><p><strong>Results: </strong>The <i>z</i> score values of IOS parameters, specifically resistance at 5 hz (R5), resistance at 20 hz (R20), and the area under reactance curve between 5 hz and resonant frequency (AX) after bronchodilator administration were significantly different between the WCA (n = 75) and ICA (n = 77) groups. IOS parameters, R5, R20, and AX, after bronchodilation identified patients with ICA, with areas under receiver operating characteristic curve (AUC) of 0.654, 0.690, and 0.708, respectively, adjusted for smoke exposure, variable airflow limitation and fixed airflow obstruction. Combining IOS parameters with FeNO significantly increased the AUC (0.728, 0.752, and 0.763) for detecting ICA compared to IOS parameters with R5, R20, and AX, alone. Patients with abnormal IOS and FeNO values had significantly higher odds ratio (OR) of having ICA by logistic regression analyses, especially for abnormally higher AX, with an OR of 6.48.</p><p><strong>Conclusion: </strong>IOS is useful in discriminating ICA from WCA in adults, with its effectiveness further enhanced when combined with FeNO measurements.</p>","PeriodicalId":15079,"journal":{"name":"Journal of Asthma and Allergy","volume":"18 ","pages":"637-647"},"PeriodicalIF":3.0000,"publicationDate":"2025-04-25","publicationTypes":"Journal Article","fieldsOfStudy":null,"isOpenAccess":false,"openAccessPdf":"https://www.ncbi.nlm.nih.gov/pmc/articles/PMC12042203/pdf/","citationCount":"0","resultStr":"{\"title\":\"Detection of Inadequately Controlled Asthma in Adults Using Impulse Oscillometry and Fractional Exhaled Nitric Oxide.\",\"authors\":\"Xuwen Yang, Meishan Liu, Honglei Shi, Mengjia Hu, Yong Lu, Xiaohong Chang, Kewu Huang\",\"doi\":\"10.2147/JAA.S516257\",\"DOIUrl\":null,\"url\":null,\"abstract\":\"<p><strong>Purpose: </strong>To investigate the effectiveness of impulse oscillometry (IOS) and its combination with fractional expiratory nitric oxide (FeNO) in distinguishing inadequately controlled asthma (ICA) from well-controlled asthma (WCA) in adults.</p><p><strong>Patients and methods: </strong>Adult patients aged 18 and above with asthma were recruited and underwent routine blood tests, FeNO, IOS, and spirometry before and after bronchodilator administration on the same day. Asthma control level was assessed using Asthma Control Test (ACT) scores; WCA was defined as a score above 20, while ICA was defined as a score of 20 or below. Receiver operating characteristic curve (ROC) and logistic regression analyses were employed to determine the relationship between IOS and FeNO measurements and asthma control.</p><p><strong>Results: </strong>The <i>z</i> score values of IOS parameters, specifically resistance at 5 hz (R5), resistance at 20 hz (R20), and the area under reactance curve between 5 hz and resonant frequency (AX) after bronchodilator administration were significantly different between the WCA (n = 75) and ICA (n = 77) groups. IOS parameters, R5, R20, and AX, after bronchodilation identified patients with ICA, with areas under receiver operating characteristic curve (AUC) of 0.654, 0.690, and 0.708, respectively, adjusted for smoke exposure, variable airflow limitation and fixed airflow obstruction. Combining IOS parameters with FeNO significantly increased the AUC (0.728, 0.752, and 0.763) for detecting ICA compared to IOS parameters with R5, R20, and AX, alone. Patients with abnormal IOS and FeNO values had significantly higher odds ratio (OR) of having ICA by logistic regression analyses, especially for abnormally higher AX, with an OR of 6.48.</p><p><strong>Conclusion: </strong>IOS is useful in discriminating ICA from WCA in adults, with its effectiveness further enhanced when combined with FeNO measurements.</p>\",\"PeriodicalId\":15079,\"journal\":{\"name\":\"Journal of Asthma and Allergy\",\"volume\":\"18 \",\"pages\":\"637-647\"},\"PeriodicalIF\":3.0000,\"publicationDate\":\"2025-04-25\",\"publicationTypes\":\"Journal Article\",\"fieldsOfStudy\":null,\"isOpenAccess\":false,\"openAccessPdf\":\"https://www.ncbi.nlm.nih.gov/pmc/articles/PMC12042203/pdf/\",\"citationCount\":\"0\",\"resultStr\":null,\"platform\":\"Semanticscholar\",\"paperid\":null,\"PeriodicalName\":\"Journal of Asthma and Allergy\",\"FirstCategoryId\":\"3\",\"ListUrlMain\":\"https://doi.org/10.2147/JAA.S516257\",\"RegionNum\":3,\"RegionCategory\":\"医学\",\"ArticlePicture\":[],\"TitleCN\":null,\"AbstractTextCN\":null,\"PMCID\":null,\"EPubDate\":\"2025/1/1 0:00:00\",\"PubModel\":\"eCollection\",\"JCR\":\"Q2\",\"JCRName\":\"ALLERGY\",\"Score\":null,\"Total\":0}","platform":"Semanticscholar","paperid":null,"PeriodicalName":"Journal of Asthma and Allergy","FirstCategoryId":"3","ListUrlMain":"https://doi.org/10.2147/JAA.S516257","RegionNum":3,"RegionCategory":"医学","ArticlePicture":[],"TitleCN":null,"AbstractTextCN":null,"PMCID":null,"EPubDate":"2025/1/1 0:00:00","PubModel":"eCollection","JCR":"Q2","JCRName":"ALLERGY","Score":null,"Total":0}
引用次数: 0

摘要

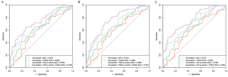
目的:探讨脉冲振荡法(IOS)及其联合呼气一氧化氮分数法(FeNO)对成人控制不充分哮喘(ICA)和控制良好哮喘(WCA)的鉴别效果。患者和方法:招募年龄在18岁及以上的成年哮喘患者,于当日给予支气管扩张剂前后进行常规血液检查、FeNO、IOS和肺活量测定。采用哮喘控制测试(ACT)评分评估哮喘控制水平;WCA定义为20分以上,ICA定义为20分或以下。采用受试者工作特征曲线(ROC)和logistic回归分析确定IOS和FeNO测量与哮喘控制的关系。结果:WCA组(n = 75)与ICA组(n = 77)给药后的IOS参数z评分值,特别是5hz阻力(R5)、20hz阻力(R20)和5hz与共振频率(AX)之间的电抗曲线下面积差异有统计学意义。经支气管扩张后的IOS参数R5、R20和AX识别ICA患者,经烟雾暴露、可变气流限制和固定气流阻塞调整后,受试者工作特征曲线下面积(AUC)分别为0.654、0.690和0.708。与单独使用R5、R20和AX的IOS参数相比,将IOS参数与FeNO结合检测ICA的AUC(0.728、0.752和0.763)显著增加。经logistic回归分析,IOS和FeNO值异常的患者发生ICA的比值比(OR)显著高于其他患者,尤其是异常高的AX值,OR为6.48。结论:IOS可用于成人ICA和WCA的鉴别,且与FeNO检测相结合可进一步提高其鉴别效果。
本文章由计算机程序翻译,如有差异,请以英文原文为准。

Detection of Inadequately Controlled Asthma in Adults Using Impulse Oscillometry and Fractional Exhaled Nitric Oxide.

Detection of Inadequately Controlled Asthma in Adults Using Impulse Oscillometry and Fractional Exhaled Nitric Oxide.

Detection of Inadequately Controlled Asthma in Adults Using Impulse Oscillometry and Fractional Exhaled Nitric Oxide.

Purpose: To investigate the effectiveness of impulse oscillometry (IOS) and its combination with fractional expiratory nitric oxide (FeNO) in distinguishing inadequately controlled asthma (ICA) from well-controlled asthma (WCA) in adults.

Patients and methods: Adult patients aged 18 and above with asthma were recruited and underwent routine blood tests, FeNO, IOS, and spirometry before and after bronchodilator administration on the same day. Asthma control level was assessed using Asthma Control Test (ACT) scores; WCA was defined as a score above 20, while ICA was defined as a score of 20 or below. Receiver operating characteristic curve (ROC) and logistic regression analyses were employed to determine the relationship between IOS and FeNO measurements and asthma control.

Results: The z score values of IOS parameters, specifically resistance at 5 hz (R5), resistance at 20 hz (R20), and the area under reactance curve between 5 hz and resonant frequency (AX) after bronchodilator administration were significantly different between the WCA (n = 75) and ICA (n = 77) groups. IOS parameters, R5, R20, and AX, after bronchodilation identified patients with ICA, with areas under receiver operating characteristic curve (AUC) of 0.654, 0.690, and 0.708, respectively, adjusted for smoke exposure, variable airflow limitation and fixed airflow obstruction. Combining IOS parameters with FeNO significantly increased the AUC (0.728, 0.752, and 0.763) for detecting ICA compared to IOS parameters with R5, R20, and AX, alone. Patients with abnormal IOS and FeNO values had significantly higher odds ratio (OR) of having ICA by logistic regression analyses, especially for abnormally higher AX, with an OR of 6.48.

Conclusion: IOS is useful in discriminating ICA from WCA in adults, with its effectiveness further enhanced when combined with FeNO measurements.

求助全文
通过发布文献求助,成功后即可免费获取论文全文。 去求助
来源期刊
Journal of Asthma and Allergy
Journal of Asthma and Allergy Medicine-Immunology and Allergy
CiteScore
5.30
自引率
6.20%
发文量
185
审稿时长
16 weeks
期刊介绍: An international, peer-reviewed journal publishing original research, reports, editorials and commentaries on the following topics: Asthma; Pulmonary physiology; Asthma related clinical health; Clinical immunology and the immunological basis of disease; Pharmacological interventions and new therapies. Although the main focus of the journal will be to publish research and clinical results in humans, preclinical, animal and in vitro studies will be published where they shed light on disease processes and potential new therapies.
×
引用
GB/T 7714-2015
复制
MLA
复制
APA
复制
导出至
BibTeX EndNote RefMan NoteFirst NoteExpress
×
提示
您的信息不完整,为了账户安全,请先补充。
现在去补充
×
提示
您因"违规操作"
具体请查看互助需知
我知道了
×
提示
确定
请完成安全验证×
copy
已复制链接
快去分享给好友吧!
我知道了
右上角分享
点击右上角分享
0
联系我们:info@booksci.cn Book学术提供免费学术资源搜索服务,方便国内外学者检索中英文文献。致力于提供最便捷和优质的服务体验。 Copyright © 2023 布克学术 All rights reserved.
京ICP备2023020795号-1
ghs 京公网安备 11010802042870号
Book学术文献互助
Book学术文献互助群
群 号:604180095
Book学术官方微信