腹部大手术对舌下微循环的影响:一项观察性研究。

IF 3.3 3区 医学 Q1 ANESTHESIOLOGY
Moritz Flick, Gyde P Jannsen, Linda Krause, Jonathan Montomoli, Franziska Pollok, Parisa Moll-Khosrawi, Karim Kouz, Alina Bergholz, Kristen K Thomsen, Matthias P Hilty, Can Ince, Christian Zöllner, Bernd Saugel
{"title":"腹部大手术对舌下微循环的影响:一项观察性研究。","authors":"Moritz Flick, Gyde P Jannsen, Linda Krause, Jonathan Montomoli, Franziska Pollok, Parisa Moll-Khosrawi, Karim Kouz, Alina Bergholz, Kristen K Thomsen, Matthias P Hilty, Can Ince, Christian Zöllner, Bernd Saugel","doi":"10.1007/s12630-025-02941-3","DOIUrl":null,"url":null,"abstract":"<p><strong>Purpose: </strong>It remains unknown whether the sublingual microcirculation is impaired during noncardiac surgery. We, therefore, aimed to investigate the sublingual microcirculation in patients undergoing major abdominal surgery. Specifically, we sought to test the primary hypothesis that the sublingual microcirculation is persistently impaired during major abdominal surgery.</p><p><strong>Methods: </strong>In this prospective observational study, we assessed the sublingual microcirculation using vital microscopy before induction of general anesthesia, at the time of surgical incision, every 20 min during surgery, and on the first postoperative day in 46 patients undergoing major abdominal surgery. The primary endpoint was the area under a proportion of perfused vessels (PPV) of 92% as a measure of the duration and severity of capillary red blood cell flow impairment.</p><p><strong>Results: </strong>The median [interquartile range (IQR)] intraoperative area under a PPV of 92% was 71%⋅min [2%⋅min-278%⋅min], and the median [IQR] time-weighted average PPV < 92% was 0.3% [0%-0.9%]. Twelve patients (26%) had an area under a PPV of 92% of 0%⋅min, and five patients (11%) had an area under a PPV of 92% of 400%⋅min or higher. The duration of surgery had no clinically important persistent effect on intraoperative PPV or any other sublingual microcirculation variable. The lowest intraoperative PPV was lower than the PPV at incision (estimated difference, -5.3%; 95% confidence interval, -6.3 to -4.4; P < 0.001).</p><p><strong>Conclusions: </strong>The area under a PPV of 92% during elective major abdominal surgery was small, indicative of little impairment of sublingual microcirculation. The duration of surgery had no clinically important effect on sublingual microcirculatory variables.</p>","PeriodicalId":56145,"journal":{"name":"Canadian Journal of Anesthesia-Journal Canadien D Anesthesie","volume":" ","pages":"768-779"},"PeriodicalIF":3.3000,"publicationDate":"2025-05-01","publicationTypes":"Journal Article","fieldsOfStudy":null,"isOpenAccess":false,"openAccessPdf":"https://www.ncbi.nlm.nih.gov/pmc/articles/PMC12106128/pdf/","citationCount":"0","resultStr":"{\"title\":\"The effect of major abdominal surgery on the sublingual microcirculation: an observational study.\",\"authors\":\"Moritz Flick, Gyde P Jannsen, Linda Krause, Jonathan Montomoli, Franziska Pollok, Parisa Moll-Khosrawi, Karim Kouz, Alina Bergholz, Kristen K Thomsen, Matthias P Hilty, Can Ince, Christian Zöllner, Bernd Saugel\",\"doi\":\"10.1007/s12630-025-02941-3\",\"DOIUrl\":null,\"url\":null,\"abstract\":\"<p><strong>Purpose: </strong>It remains unknown whether the sublingual microcirculation is impaired during noncardiac surgery. We, therefore, aimed to investigate the sublingual microcirculation in patients undergoing major abdominal surgery. Specifically, we sought to test the primary hypothesis that the sublingual microcirculation is persistently impaired during major abdominal surgery.</p><p><strong>Methods: </strong>In this prospective observational study, we assessed the sublingual microcirculation using vital microscopy before induction of general anesthesia, at the time of surgical incision, every 20 min during surgery, and on the first postoperative day in 46 patients undergoing major abdominal surgery. The primary endpoint was the area under a proportion of perfused vessels (PPV) of 92% as a measure of the duration and severity of capillary red blood cell flow impairment.</p><p><strong>Results: </strong>The median [interquartile range (IQR)] intraoperative area under a PPV of 92% was 71%⋅min [2%⋅min-278%⋅min], and the median [IQR] time-weighted average PPV < 92% was 0.3% [0%-0.9%]. Twelve patients (26%) had an area under a PPV of 92% of 0%⋅min, and five patients (11%) had an area under a PPV of 92% of 400%⋅min or higher. The duration of surgery had no clinically important persistent effect on intraoperative PPV or any other sublingual microcirculation variable. The lowest intraoperative PPV was lower than the PPV at incision (estimated difference, -5.3%; 95% confidence interval, -6.3 to -4.4; P < 0.001).</p><p><strong>Conclusions: </strong>The area under a PPV of 92% during elective major abdominal surgery was small, indicative of little impairment of sublingual microcirculation. The duration of surgery had no clinically important effect on sublingual microcirculatory variables.</p>\",\"PeriodicalId\":56145,\"journal\":{\"name\":\"Canadian Journal of Anesthesia-Journal Canadien D Anesthesie\",\"volume\":\" \",\"pages\":\"768-779\"},\"PeriodicalIF\":3.3000,\"publicationDate\":\"2025-05-01\",\"publicationTypes\":\"Journal Article\",\"fieldsOfStudy\":null,\"isOpenAccess\":false,\"openAccessPdf\":\"https://www.ncbi.nlm.nih.gov/pmc/articles/PMC12106128/pdf/\",\"citationCount\":\"0\",\"resultStr\":null,\"platform\":\"Semanticscholar\",\"paperid\":null,\"PeriodicalName\":\"Canadian Journal of Anesthesia-Journal Canadien D Anesthesie\",\"FirstCategoryId\":\"3\",\"ListUrlMain\":\"https://doi.org/10.1007/s12630-025-02941-3\",\"RegionNum\":3,\"RegionCategory\":\"医学\",\"ArticlePicture\":[],\"TitleCN\":null,\"AbstractTextCN\":null,\"PMCID\":null,\"EPubDate\":\"2025/5/12 0:00:00\",\"PubModel\":\"Epub\",\"JCR\":\"Q1\",\"JCRName\":\"ANESTHESIOLOGY\",\"Score\":null,\"Total\":0}","platform":"Semanticscholar","paperid":null,"PeriodicalName":"Canadian Journal of Anesthesia-Journal Canadien D Anesthesie","FirstCategoryId":"3","ListUrlMain":"https://doi.org/10.1007/s12630-025-02941-3","RegionNum":3,"RegionCategory":"医学","ArticlePicture":[],"TitleCN":null,"AbstractTextCN":null,"PMCID":null,"EPubDate":"2025/5/12 0:00:00","PubModel":"Epub","JCR":"Q1","JCRName":"ANESTHESIOLOGY","Score":null,"Total":0}
引用次数: 0

摘要

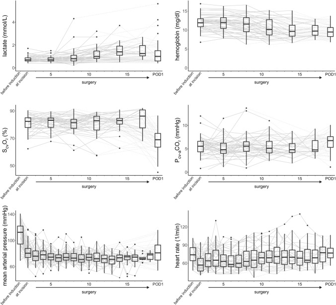
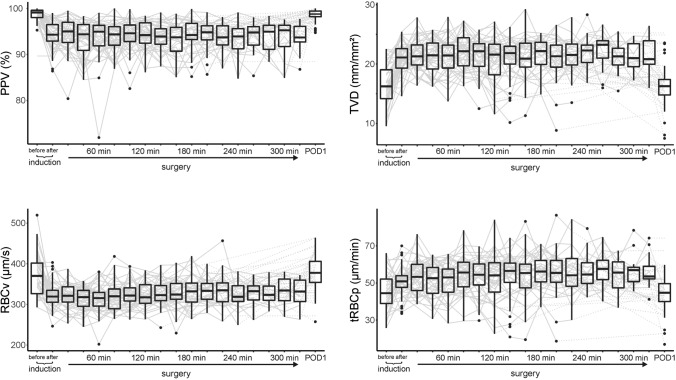
目的:舌下微循环在非心脏手术中是否受损尚不清楚。因此,我们的目的是研究接受腹部大手术患者的舌下微循环。具体来说,我们试图检验主要假设,即在腹部大手术期间,舌下微循环持续受损。方法:在这项前瞻性观察研究中,我们对46例接受腹部大手术的患者进行了全麻诱导前、手术切开时、术中每20分钟一次、术后第一天的舌下微循环进行了生命显微镜检查。主要终点是92%的灌注血管下面积(PPV),作为衡量毛细血管红细胞流动障碍持续时间和严重程度的指标。结果:术中四分位间距(IQR)为92%的PPV下面积为71%⋅min[2%⋅min-278%⋅min],时间加权平均PPV的中位数[IQR]为71%⋅min。结论:择期腹部大手术中,92%的PPV下面积较小,提示舌下微循环损伤较小。手术时间对舌下微循环指标无显著影响。
本文章由计算机程序翻译,如有差异,请以英文原文为准。

The effect of major abdominal surgery on the sublingual microcirculation: an observational study.

The effect of major abdominal surgery on the sublingual microcirculation: an observational study.

The effect of major abdominal surgery on the sublingual microcirculation: an observational study.

The effect of major abdominal surgery on the sublingual microcirculation: an observational study.

Purpose: It remains unknown whether the sublingual microcirculation is impaired during noncardiac surgery. We, therefore, aimed to investigate the sublingual microcirculation in patients undergoing major abdominal surgery. Specifically, we sought to test the primary hypothesis that the sublingual microcirculation is persistently impaired during major abdominal surgery.

Methods: In this prospective observational study, we assessed the sublingual microcirculation using vital microscopy before induction of general anesthesia, at the time of surgical incision, every 20 min during surgery, and on the first postoperative day in 46 patients undergoing major abdominal surgery. The primary endpoint was the area under a proportion of perfused vessels (PPV) of 92% as a measure of the duration and severity of capillary red blood cell flow impairment.

Results: The median [interquartile range (IQR)] intraoperative area under a PPV of 92% was 71%⋅min [2%⋅min-278%⋅min], and the median [IQR] time-weighted average PPV < 92% was 0.3% [0%-0.9%]. Twelve patients (26%) had an area under a PPV of 92% of 0%⋅min, and five patients (11%) had an area under a PPV of 92% of 400%⋅min or higher. The duration of surgery had no clinically important persistent effect on intraoperative PPV or any other sublingual microcirculation variable. The lowest intraoperative PPV was lower than the PPV at incision (estimated difference, -5.3%; 95% confidence interval, -6.3 to -4.4; P < 0.001).

Conclusions: The area under a PPV of 92% during elective major abdominal surgery was small, indicative of little impairment of sublingual microcirculation. The duration of surgery had no clinically important effect on sublingual microcirculatory variables.

求助全文
通过发布文献求助,成功后即可免费获取论文全文。 去求助
来源期刊
CiteScore
8.50
自引率
7.10%
发文量
161
审稿时长
6-12 weeks
期刊介绍: The Canadian Journal of Anesthesia (the Journal) is owned by the Canadian Anesthesiologists’ Society and is published by Springer Science + Business Media, LLM (New York). From the first year of publication in 1954, the international exposure of the Journal has broadened considerably, with articles now received from over 50 countries. The Journal is published monthly, and has an impact Factor (mean journal citation frequency) of 2.127 (in 2012). Article types consist of invited editorials, reports of original investigations (clinical and basic sciences articles), case reports/case series, review articles, systematic reviews, accredited continuing professional development (CPD) modules, and Letters to the Editor. The editorial content, according to the mission statement, spans the fields of anesthesia, acute and chronic pain, perioperative medicine and critical care. In addition, the Journal publishes practice guidelines and standards articles relevant to clinicians. Articles are published either in English or in French, according to the language of submission.
×
引用
GB/T 7714-2015
复制
MLA
复制
APA
复制
导出至
BibTeX EndNote RefMan NoteFirst NoteExpress
×
提示
您的信息不完整,为了账户安全,请先补充。
现在去补充
×
提示
您因"违规操作"
具体请查看互助需知
我知道了
×
提示
确定
请完成安全验证×
copy
已复制链接
快去分享给好友吧!
我知道了
右上角分享
点击右上角分享
0
联系我们:info@booksci.cn Book学术提供免费学术资源搜索服务,方便国内外学者检索中英文文献。致力于提供最便捷和优质的服务体验。 Copyright © 2023 布克学术 All rights reserved.
京ICP备2023020795号-1
ghs 京公网安备 11010802042870号
Book学术文献互助
Book学术文献互助群
群 号:604180095
Book学术官方微信