胸外科手术患者膈肌活动度和增厚分数与术后肺部并发症的关系及其预测应用。

IF 2.8 3区 医学 Q1 Pharmacology, Toxicology and Pharmaceutics
Therapeutics and Clinical Risk Management Pub Date : 2025-04-23 eCollection Date: 2025-01-01 DOI:10.2147/TCRM.S519646
Abudushalamu Aisiaiti, Aiwuzaili Ajiaikebaier, Aini Maimaitiming, Qiang Geng, Bichen He, Jinhui Sun, Bing Zhang
{"title":"胸外科手术患者膈肌活动度和增厚分数与术后肺部并发症的关系及其预测应用。","authors":"Abudushalamu Aisiaiti, Aiwuzaili Ajiaikebaier, Aini Maimaitiming, Qiang Geng, Bichen He, Jinhui Sun, Bing Zhang","doi":"10.2147/TCRM.S519646","DOIUrl":null,"url":null,"abstract":"<p><strong>Purpose: </strong>To investigate the association of diaphragmatic mobility and thickening fraction with postoperative pulmonary complications (PPCs) in patients undergoing thoracic surgery and evaluate their values in predicting PPCs.</p><p><strong>Patients and methods: </strong>One hundred and nine consecutive patients undergoing thoracic surgery were prospectively enrolled. All patients underwent ultrasound measurements to obtain diaphragmatic mobility and thickening fraction. PPCs were systematically monitored and recorded from postoperative day 1 to 7. The binary logistic regression model was used to perform multivariate analysis, and the receiver operating characteristic (ROC) curve was used to evaluate predictive values.</p><p><strong>Results: </strong>PPCs occurred in 46 patients (42.2%). Multivariate analysis identified age, smoking, surgical sites, and mean diaphragmatic mobility and thickening fraction of operated side and nonoperated side as independent risk factors for PPCs. ROC curves revealed that the AUC of mean diaphragmatic mobility and thickening fraction for predicting PPCs in patients undergoing thoracic surgery was 0.722 [standard error (<i>SE</i>): 0.050, 95% confidence interval (<i>CI</i>): 0.623~0.821, <i>P</i><0.001] and 0.757 (<i>SE</i>: 0.050, 95% <i>CI</i>: 0.659~0.855, <i>P</i><0.001), respectively. The predictive model integrating age, smoking and surgical sites yielded an AUC of 0.810 (<i>SE</i>: 0.041, 95% <i>CI</i>: 0.728~0.891, <i>P</i><0.001), while the predictive model integrating age, smoking, surgical sites and mean diaphragmatic mobility or thickening fraction yielded an AUC of 0.849 (<i>SE</i>: 0.037, 95% <i>CI</i>: 0.777~0.922, <i>P</i><0.001) and 0.881 (<i>SE</i>: 0.033, 95% <i>CI</i>: 0.815~0.946, <i>P</i><0.001), respectively.</p><p><strong>Conclusion: </strong>Both diaphragmatic mobility and thickening fraction showed independent associations with PPCs following thoracic surgery, demonstrating moderate predictive values. The predictive models integrating age, smoking, surgical sites and diaphragmatic mobility or thickening fraction yielded high predictive values, suggesting significant clinical utility for risk stratification. Diaphragmatic mobility and thickening fraction offer a bedside, noninvasive, and cost-effective alternative for perioperative PPC prediction, particularly in resource-limited settings.</p>","PeriodicalId":22977,"journal":{"name":"Therapeutics and Clinical Risk Management","volume":"21 ","pages":"501-509"},"PeriodicalIF":2.8000,"publicationDate":"2025-04-23","publicationTypes":"Journal Article","fieldsOfStudy":null,"isOpenAccess":false,"openAccessPdf":"https://www.ncbi.nlm.nih.gov/pmc/articles/PMC12035405/pdf/","citationCount":"0","resultStr":"{\"title\":\"Association of Diaphragmatic Mobility and Thickening Fraction with Postoperative Pulmonary Complications in Patients Undergoing Thoracic Surgery and Their Application in Prediction.\",\"authors\":\"Abudushalamu Aisiaiti, Aiwuzaili Ajiaikebaier, Aini Maimaitiming, Qiang Geng, Bichen He, Jinhui Sun, Bing Zhang\",\"doi\":\"10.2147/TCRM.S519646\",\"DOIUrl\":null,\"url\":null,\"abstract\":\"<p><strong>Purpose: </strong>To investigate the association of diaphragmatic mobility and thickening fraction with postoperative pulmonary complications (PPCs) in patients undergoing thoracic surgery and evaluate their values in predicting PPCs.</p><p><strong>Patients and methods: </strong>One hundred and nine consecutive patients undergoing thoracic surgery were prospectively enrolled. All patients underwent ultrasound measurements to obtain diaphragmatic mobility and thickening fraction. PPCs were systematically monitored and recorded from postoperative day 1 to 7. The binary logistic regression model was used to perform multivariate analysis, and the receiver operating characteristic (ROC) curve was used to evaluate predictive values.</p><p><strong>Results: </strong>PPCs occurred in 46 patients (42.2%). Multivariate analysis identified age, smoking, surgical sites, and mean diaphragmatic mobility and thickening fraction of operated side and nonoperated side as independent risk factors for PPCs. ROC curves revealed that the AUC of mean diaphragmatic mobility and thickening fraction for predicting PPCs in patients undergoing thoracic surgery was 0.722 [standard error (<i>SE</i>): 0.050, 95% confidence interval (<i>CI</i>): 0.623~0.821, <i>P</i><0.001] and 0.757 (<i>SE</i>: 0.050, 95% <i>CI</i>: 0.659~0.855, <i>P</i><0.001), respectively. The predictive model integrating age, smoking and surgical sites yielded an AUC of 0.810 (<i>SE</i>: 0.041, 95% <i>CI</i>: 0.728~0.891, <i>P</i><0.001), while the predictive model integrating age, smoking, surgical sites and mean diaphragmatic mobility or thickening fraction yielded an AUC of 0.849 (<i>SE</i>: 0.037, 95% <i>CI</i>: 0.777~0.922, <i>P</i><0.001) and 0.881 (<i>SE</i>: 0.033, 95% <i>CI</i>: 0.815~0.946, <i>P</i><0.001), respectively.</p><p><strong>Conclusion: </strong>Both diaphragmatic mobility and thickening fraction showed independent associations with PPCs following thoracic surgery, demonstrating moderate predictive values. The predictive models integrating age, smoking, surgical sites and diaphragmatic mobility or thickening fraction yielded high predictive values, suggesting significant clinical utility for risk stratification. Diaphragmatic mobility and thickening fraction offer a bedside, noninvasive, and cost-effective alternative for perioperative PPC prediction, particularly in resource-limited settings.</p>\",\"PeriodicalId\":22977,\"journal\":{\"name\":\"Therapeutics and Clinical Risk Management\",\"volume\":\"21 \",\"pages\":\"501-509\"},\"PeriodicalIF\":2.8000,\"publicationDate\":\"2025-04-23\",\"publicationTypes\":\"Journal Article\",\"fieldsOfStudy\":null,\"isOpenAccess\":false,\"openAccessPdf\":\"https://www.ncbi.nlm.nih.gov/pmc/articles/PMC12035405/pdf/\",\"citationCount\":\"0\",\"resultStr\":null,\"platform\":\"Semanticscholar\",\"paperid\":null,\"PeriodicalName\":\"Therapeutics and Clinical Risk Management\",\"FirstCategoryId\":\"3\",\"ListUrlMain\":\"https://doi.org/10.2147/TCRM.S519646\",\"RegionNum\":3,\"RegionCategory\":\"医学\",\"ArticlePicture\":[],\"TitleCN\":null,\"AbstractTextCN\":null,\"PMCID\":null,\"EPubDate\":\"2025/1/1 0:00:00\",\"PubModel\":\"eCollection\",\"JCR\":\"Q1\",\"JCRName\":\"Pharmacology, Toxicology and Pharmaceutics\",\"Score\":null,\"Total\":0}","platform":"Semanticscholar","paperid":null,"PeriodicalName":"Therapeutics and Clinical Risk Management","FirstCategoryId":"3","ListUrlMain":"https://doi.org/10.2147/TCRM.S519646","RegionNum":3,"RegionCategory":"医学","ArticlePicture":[],"TitleCN":null,"AbstractTextCN":null,"PMCID":null,"EPubDate":"2025/1/1 0:00:00","PubModel":"eCollection","JCR":"Q1","JCRName":"Pharmacology, Toxicology and Pharmaceutics","Score":null,"Total":0}
引用次数: 0

摘要

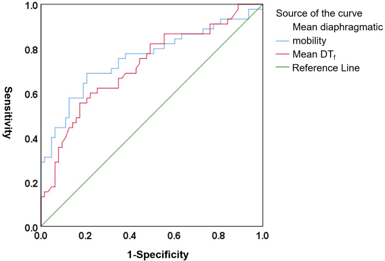
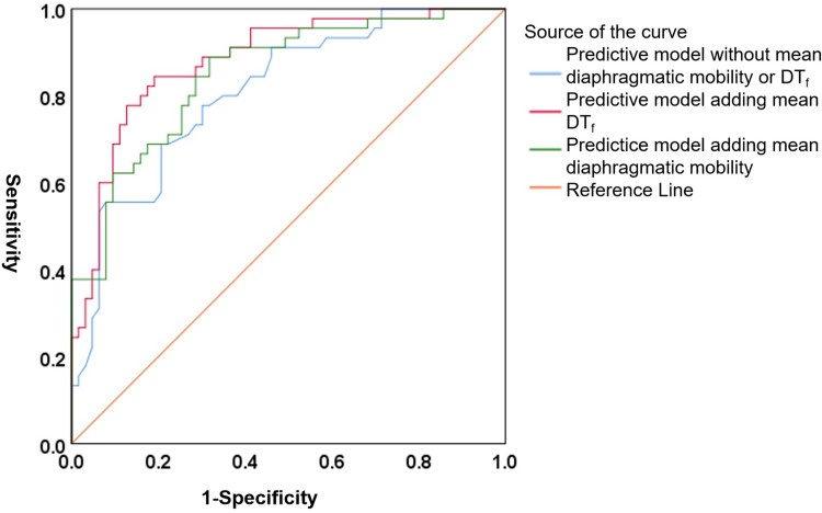
目的:探讨胸外科手术患者膈肌活动度和增厚分数与术后肺部并发症(PPCs)的关系,并评价其预测PPCs的价值。患者和方法:109例连续接受胸外科手术的患者被前瞻性纳入研究。所有患者均行超声测量以获得膈活动性和增厚分数。从术后第1天至第7天系统监测和记录PPCs。采用二元logistic回归模型进行多因素分析,采用受试者工作特征(ROC)曲线评价预测值。结果:发生PPCs 46例(42.2%)。多因素分析发现,年龄、吸烟、手术部位、手术侧和非手术侧平均膈活动性和增厚分数是PPCs的独立危险因素。ROC曲线显示,平均膈活度和增厚分数预测胸外科手术患者PPCs的AUC为0.722[标准误差(SE): 0.050, 95%置信区间(CI): 0.623~0.821, PSE: 0.050, 95% CI: 0.659~0.855, PSE: 0.041, 95% CI: 0.728~0.891, PSE: 0.037, 95% CI: 0.777~0.922, PSE: 0.033, 95% CI: 0.815~0.946, p]。胸外科手术后,膈活度和增厚分数均与PPCs有独立关联,具有中等预测价值。结合年龄、吸烟、手术部位和膈肌活动性或增厚分数的预测模型具有较高的预测价值,表明风险分层具有重要的临床应用价值。特别是在资源有限的情况下,膈肌活动性和增厚分数为围手术期PPC预测提供了一种床边、无创、经济的替代方法。
本文章由计算机程序翻译,如有差异,请以英文原文为准。

Association of Diaphragmatic Mobility and Thickening Fraction with Postoperative Pulmonary Complications in Patients Undergoing Thoracic Surgery and Their Application in Prediction.

Association of Diaphragmatic Mobility and Thickening Fraction with Postoperative Pulmonary Complications in Patients Undergoing Thoracic Surgery and Their Application in Prediction.

Association of Diaphragmatic Mobility and Thickening Fraction with Postoperative Pulmonary Complications in Patients Undergoing Thoracic Surgery and Their Application in Prediction.

Purpose: To investigate the association of diaphragmatic mobility and thickening fraction with postoperative pulmonary complications (PPCs) in patients undergoing thoracic surgery and evaluate their values in predicting PPCs.

Patients and methods: One hundred and nine consecutive patients undergoing thoracic surgery were prospectively enrolled. All patients underwent ultrasound measurements to obtain diaphragmatic mobility and thickening fraction. PPCs were systematically monitored and recorded from postoperative day 1 to 7. The binary logistic regression model was used to perform multivariate analysis, and the receiver operating characteristic (ROC) curve was used to evaluate predictive values.

Results: PPCs occurred in 46 patients (42.2%). Multivariate analysis identified age, smoking, surgical sites, and mean diaphragmatic mobility and thickening fraction of operated side and nonoperated side as independent risk factors for PPCs. ROC curves revealed that the AUC of mean diaphragmatic mobility and thickening fraction for predicting PPCs in patients undergoing thoracic surgery was 0.722 [standard error (SE): 0.050, 95% confidence interval (CI): 0.623~0.821, P<0.001] and 0.757 (SE: 0.050, 95% CI: 0.659~0.855, P<0.001), respectively. The predictive model integrating age, smoking and surgical sites yielded an AUC of 0.810 (SE: 0.041, 95% CI: 0.728~0.891, P<0.001), while the predictive model integrating age, smoking, surgical sites and mean diaphragmatic mobility or thickening fraction yielded an AUC of 0.849 (SE: 0.037, 95% CI: 0.777~0.922, P<0.001) and 0.881 (SE: 0.033, 95% CI: 0.815~0.946, P<0.001), respectively.

Conclusion: Both diaphragmatic mobility and thickening fraction showed independent associations with PPCs following thoracic surgery, demonstrating moderate predictive values. The predictive models integrating age, smoking, surgical sites and diaphragmatic mobility or thickening fraction yielded high predictive values, suggesting significant clinical utility for risk stratification. Diaphragmatic mobility and thickening fraction offer a bedside, noninvasive, and cost-effective alternative for perioperative PPC prediction, particularly in resource-limited settings.

求助全文
通过发布文献求助,成功后即可免费获取论文全文。 去求助
来源期刊
Therapeutics and Clinical Risk Management
Therapeutics and Clinical Risk Management HEALTH CARE SCIENCES & SERVICES-
CiteScore
5.30
自引率
3.60%
发文量
139
审稿时长
16 weeks
期刊介绍: Therapeutics and Clinical Risk Management is an international, peer-reviewed journal of clinical therapeutics and risk management, focusing on concise rapid reporting of clinical studies in all therapeutic areas, outcomes, safety, and programs for the effective, safe, and sustained use of medicines, therapeutic and surgical interventions in all clinical areas. The journal welcomes submissions covering original research, clinical and epidemiological studies, reviews, guidelines, expert opinion and commentary. The journal will consider case reports but only if they make a valuable and original contribution to the literature. As of 18th March 2019, Therapeutics and Clinical Risk Management will no longer consider meta-analyses for publication. The journal does not accept study protocols, animal-based or cell line-based studies.
×
引用
GB/T 7714-2015
复制
MLA
复制
APA
复制
导出至
BibTeX EndNote RefMan NoteFirst NoteExpress
×
提示
您的信息不完整,为了账户安全,请先补充。
现在去补充
×
提示
您因"违规操作"
具体请查看互助需知
我知道了
×
提示
确定
请完成安全验证×
copy
已复制链接
快去分享给好友吧!
我知道了
右上角分享
点击右上角分享
0
联系我们:info@booksci.cn Book学术提供免费学术资源搜索服务,方便国内外学者检索中英文文献。致力于提供最便捷和优质的服务体验。 Copyright © 2023 布克学术 All rights reserved.
京ICP备2023020795号-1
ghs 京公网安备 11010802042870号
Book学术文献互助
Book学术文献互助群
群 号:604180095
Book学术官方微信