嗜碱性粒细胞反应性试验在重症不控制哮喘患者临床管理中的应用。

IF 3 3区 医学 Q2 ALLERGY
Journal of Asthma and Allergy Pub Date : 2025-04-07 eCollection Date: 2025-01-01 DOI:10.2147/JAA.S505951
Maria Del Mar García Ródenas, Luis Manuel Hernández Blasco, Francisco Javier Fernández Sánchez, Francisco Manuel Marco de la Calle, Jose-Francisco Pascual-Lledó, Ángel Sánchez Barbie, Cleofé Fernández Aracil
{"title":"嗜碱性粒细胞反应性试验在重症不控制哮喘患者临床管理中的应用。","authors":"Maria Del Mar García Ródenas, Luis Manuel Hernández Blasco, Francisco Javier Fernández Sánchez, Francisco Manuel Marco de la Calle, Jose-Francisco Pascual-Lledó, Ángel Sánchez Barbie, Cleofé Fernández Aracil","doi":"10.2147/JAA.S505951","DOIUrl":null,"url":null,"abstract":"<p><strong>Introduction: </strong>The prognosis of asthma has improved significantly since the availability of monoclonal antibodies (mAbs). However, there are no robust predictive markers of response to help clinicians select one of the multiple biologicals recommended in clinical practice guidelines. The aim of this study was to evaluate the utility of basophil reactivity, measured through the basophil activation test (BAT), as a marker of response to mAbs.</p><p><strong>Methods: </strong>We measured basophil reactivity, using anti-immunoglobulin E (anti-IgE) antibodies as a stimulus, in 72 consecutive patients with severe uncontrolled asthma before initiation of treatment with mAbs. Forty-nine patients received omalizumab, 28 received mepolizumab, and 23 received benralizumab at some point. The Spanish Asthma Management Guidelines (GEMA) informed clinical management throughout the study. We studied clinical characteristics, laboratory values, and measures of respiratory function and asthma control.</p><p><strong>Results: </strong>Basophil reactivity (at the highest anti-IgE dilution at which basophil activation was positive) was inversely associated with asthma control and response to any mAb. The patients with higher basophil reactivity (≥ 29% versus < 29%) had lower mAb complete response, more frequent mAb switches, and worse baseline lung function and Asthma Control Test (ACT) scores. The BAT was associated with poor response above the cut-off values of 10.5% for mepolizumab, 15.5% for omalizumab, and 28% for benralizumab.</p><p><strong>Conclusion: </strong>Patients with basophil reactivity greater than or equal to 29% were less likely to achieve full control of asthma when treated with omalizumab, mepolizumab, or benralizumab, independently of classic clinical or biological markers of type 2 asthma.</p>","PeriodicalId":15079,"journal":{"name":"Journal of Asthma and Allergy","volume":"18 ","pages":"519-528"},"PeriodicalIF":3.0000,"publicationDate":"2025-04-07","publicationTypes":"Journal Article","fieldsOfStudy":null,"isOpenAccess":false,"openAccessPdf":"https://www.ncbi.nlm.nih.gov/pmc/articles/PMC11988192/pdf/","citationCount":"0","resultStr":"{\"title\":\"Utility of the Basophil Reactivity Test in the Clinical Management of People with Severe Uncontrolled Asthma.\",\"authors\":\"Maria Del Mar García Ródenas, Luis Manuel Hernández Blasco, Francisco Javier Fernández Sánchez, Francisco Manuel Marco de la Calle, Jose-Francisco Pascual-Lledó, Ángel Sánchez Barbie, Cleofé Fernández Aracil\",\"doi\":\"10.2147/JAA.S505951\",\"DOIUrl\":null,\"url\":null,\"abstract\":\"<p><strong>Introduction: </strong>The prognosis of asthma has improved significantly since the availability of monoclonal antibodies (mAbs). However, there are no robust predictive markers of response to help clinicians select one of the multiple biologicals recommended in clinical practice guidelines. The aim of this study was to evaluate the utility of basophil reactivity, measured through the basophil activation test (BAT), as a marker of response to mAbs.</p><p><strong>Methods: </strong>We measured basophil reactivity, using anti-immunoglobulin E (anti-IgE) antibodies as a stimulus, in 72 consecutive patients with severe uncontrolled asthma before initiation of treatment with mAbs. Forty-nine patients received omalizumab, 28 received mepolizumab, and 23 received benralizumab at some point. The Spanish Asthma Management Guidelines (GEMA) informed clinical management throughout the study. We studied clinical characteristics, laboratory values, and measures of respiratory function and asthma control.</p><p><strong>Results: </strong>Basophil reactivity (at the highest anti-IgE dilution at which basophil activation was positive) was inversely associated with asthma control and response to any mAb. The patients with higher basophil reactivity (≥ 29% versus < 29%) had lower mAb complete response, more frequent mAb switches, and worse baseline lung function and Asthma Control Test (ACT) scores. The BAT was associated with poor response above the cut-off values of 10.5% for mepolizumab, 15.5% for omalizumab, and 28% for benralizumab.</p><p><strong>Conclusion: </strong>Patients with basophil reactivity greater than or equal to 29% were less likely to achieve full control of asthma when treated with omalizumab, mepolizumab, or benralizumab, independently of classic clinical or biological markers of type 2 asthma.</p>\",\"PeriodicalId\":15079,\"journal\":{\"name\":\"Journal of Asthma and Allergy\",\"volume\":\"18 \",\"pages\":\"519-528\"},\"PeriodicalIF\":3.0000,\"publicationDate\":\"2025-04-07\",\"publicationTypes\":\"Journal Article\",\"fieldsOfStudy\":null,\"isOpenAccess\":false,\"openAccessPdf\":\"https://www.ncbi.nlm.nih.gov/pmc/articles/PMC11988192/pdf/\",\"citationCount\":\"0\",\"resultStr\":null,\"platform\":\"Semanticscholar\",\"paperid\":null,\"PeriodicalName\":\"Journal of Asthma and Allergy\",\"FirstCategoryId\":\"3\",\"ListUrlMain\":\"https://doi.org/10.2147/JAA.S505951\",\"RegionNum\":3,\"RegionCategory\":\"医学\",\"ArticlePicture\":[],\"TitleCN\":null,\"AbstractTextCN\":null,\"PMCID\":null,\"EPubDate\":\"2025/1/1 0:00:00\",\"PubModel\":\"eCollection\",\"JCR\":\"Q2\",\"JCRName\":\"ALLERGY\",\"Score\":null,\"Total\":0}","platform":"Semanticscholar","paperid":null,"PeriodicalName":"Journal of Asthma and Allergy","FirstCategoryId":"3","ListUrlMain":"https://doi.org/10.2147/JAA.S505951","RegionNum":3,"RegionCategory":"医学","ArticlePicture":[],"TitleCN":null,"AbstractTextCN":null,"PMCID":null,"EPubDate":"2025/1/1 0:00:00","PubModel":"eCollection","JCR":"Q2","JCRName":"ALLERGY","Score":null,"Total":0}
引用次数: 0

摘要

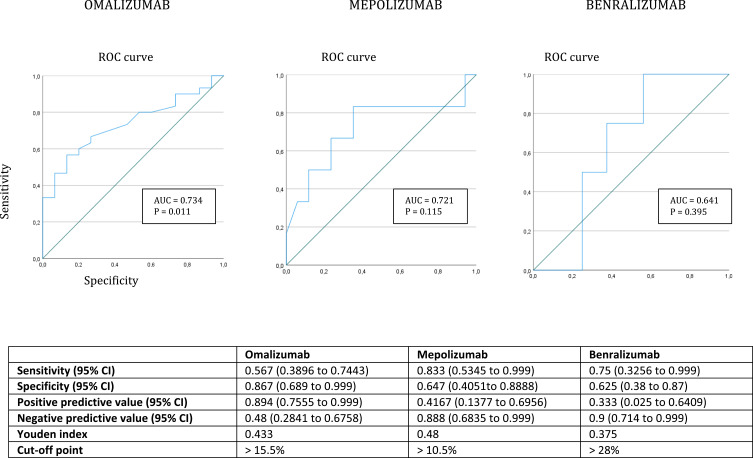
自单克隆抗体(mab)问世以来,哮喘的预后有了显著改善。然而,尚无可靠的反应预测指标来帮助临床医生在临床实践指南中推荐的多种生物制剂中选择一种。本研究的目的是评估通过嗜碱性粒细胞活化试验(BAT)测量的嗜碱性粒细胞反应性作为对单克隆抗体反应的标志的效用。方法:我们使用抗免疫球蛋白E(抗ige)抗体作为刺激,在开始单克隆抗体治疗前连续测量72例严重不受控制的哮喘患者的嗜碱性粒细胞反应性。49例患者接受了omalizumab, 28例接受了mepolizumab, 23例接受了benralizumab。在整个研究过程中,西班牙哮喘管理指南(GEMA)告知了临床管理。我们研究了临床特征、实验室值、呼吸功能和哮喘控制措施。结果:嗜碱性粒细胞反应性(在抗ige浓度最高时,嗜碱性粒细胞激活呈阳性)与哮喘控制和对任何单抗的反应呈负相关。嗜碱性粒细胞反应性较高(≥29% vs < 29%)的患者单克隆抗体完全缓解较低,单克隆抗体切换更频繁,基线肺功能和哮喘控制测试(ACT)评分较差。BAT与mepolizumab的10.5%、omalizumab的15.5%和benralizumab的28%的临界值以上的不良反应相关。结论:嗜碱性粒细胞反应性大于或等于29%的患者在接受omalizumab、mepolizumab或benralizumab治疗时,独立于2型哮喘的经典临床或生物学标志物,实现哮喘完全控制的可能性较小。
本文章由计算机程序翻译,如有差异,请以英文原文为准。

Utility of the Basophil Reactivity Test in the Clinical Management of People with Severe Uncontrolled Asthma.

Utility of the Basophil Reactivity Test in the Clinical Management of People with Severe Uncontrolled Asthma.

Utility of the Basophil Reactivity Test in the Clinical Management of People with Severe Uncontrolled Asthma.

Introduction: The prognosis of asthma has improved significantly since the availability of monoclonal antibodies (mAbs). However, there are no robust predictive markers of response to help clinicians select one of the multiple biologicals recommended in clinical practice guidelines. The aim of this study was to evaluate the utility of basophil reactivity, measured through the basophil activation test (BAT), as a marker of response to mAbs.

Methods: We measured basophil reactivity, using anti-immunoglobulin E (anti-IgE) antibodies as a stimulus, in 72 consecutive patients with severe uncontrolled asthma before initiation of treatment with mAbs. Forty-nine patients received omalizumab, 28 received mepolizumab, and 23 received benralizumab at some point. The Spanish Asthma Management Guidelines (GEMA) informed clinical management throughout the study. We studied clinical characteristics, laboratory values, and measures of respiratory function and asthma control.

Results: Basophil reactivity (at the highest anti-IgE dilution at which basophil activation was positive) was inversely associated with asthma control and response to any mAb. The patients with higher basophil reactivity (≥ 29% versus < 29%) had lower mAb complete response, more frequent mAb switches, and worse baseline lung function and Asthma Control Test (ACT) scores. The BAT was associated with poor response above the cut-off values of 10.5% for mepolizumab, 15.5% for omalizumab, and 28% for benralizumab.

Conclusion: Patients with basophil reactivity greater than or equal to 29% were less likely to achieve full control of asthma when treated with omalizumab, mepolizumab, or benralizumab, independently of classic clinical or biological markers of type 2 asthma.

求助全文
通过发布文献求助,成功后即可免费获取论文全文。 去求助
来源期刊
Journal of Asthma and Allergy
Journal of Asthma and Allergy Medicine-Immunology and Allergy
CiteScore
5.30
自引率
6.20%
发文量
185
审稿时长
16 weeks
期刊介绍: An international, peer-reviewed journal publishing original research, reports, editorials and commentaries on the following topics: Asthma; Pulmonary physiology; Asthma related clinical health; Clinical immunology and the immunological basis of disease; Pharmacological interventions and new therapies. Although the main focus of the journal will be to publish research and clinical results in humans, preclinical, animal and in vitro studies will be published where they shed light on disease processes and potential new therapies.
×
引用
GB/T 7714-2015
复制
MLA
复制
APA
复制
导出至
BibTeX EndNote RefMan NoteFirst NoteExpress
×
提示
您的信息不完整,为了账户安全,请先补充。
现在去补充
×
提示
您因"违规操作"
具体请查看互助需知
我知道了
×
提示
确定
请完成安全验证×
copy
已复制链接
快去分享给好友吧!
我知道了
右上角分享
点击右上角分享
0
联系我们:info@booksci.cn Book学术提供免费学术资源搜索服务,方便国内外学者检索中英文文献。致力于提供最便捷和优质的服务体验。 Copyright © 2023 布克学术 All rights reserved.
京ICP备2023020795号-1
ghs 京公网安备 11010802042870号
Book学术文献互助
Book学术文献互助群
群 号:604180095
Book学术官方微信