门把手的微生物污染:公共和医疗机构的全球系统回顾和荟萃分析。

IF 2.9 Q2 PUBLIC, ENVIRONMENTAL & OCCUPATIONAL HEALTH
Environmental Health Insights Pub Date : 2025-04-27 eCollection Date: 2025-01-01 DOI:10.1177/11786302251328550
Peter Ofori Appiah, Alex Odoom, Patience B Tetteh-Quarcoo, Fleischer C N Kotey, Eric S Donkor
{"title":"门把手的微生物污染:公共和医疗机构的全球系统回顾和荟萃分析。","authors":"Peter Ofori Appiah, Alex Odoom, Patience B Tetteh-Quarcoo, Fleischer C N Kotey, Eric S Donkor","doi":"10.1177/11786302251328550","DOIUrl":null,"url":null,"abstract":"<p><strong>Background: </strong>The public health risk of microbial contamination of fomites is evident from the numerous fomite-associated outbreaks that have occurred in several countries. Despite the high-touch nature of door handles across various settings, no comprehensive synthesis of contamination rates and microbial profiles has been performed.</p><p><strong>Aim: </strong>The aim of this work was to assess the prevalence and types of microbial contamination on door handles in public and healthcare settings.</p><p><strong>Methods: </strong>We systematically searched PubMed, Web of Science, and Scopus for studies published up to July 2024. A systematic review and meta-analysis were conducted according to the PRISMA guidelines. Pooled prevalence estimates were calculated via a random-effects model, and subgroup analyses were performed to assess differences on the basis of pathogen type, handle location, and setting.</p><p><strong>Results: </strong>A total of 27 studies met the eligibility criteria. The overall estimation of microbial contamination of door handles revealed a prevalence of 9.96% (95% CI: 5.87‒14.11). Compared with viral contamination which was observed to be 17.73% (95% CI: 9.24‒27.81), bacterial contamination was less common at 6.20% (95% CI: 2.90‒10.42). The most predominant bacterial agent was <i>Bacillus</i> spp. (55.74%), followed by <i>Acinetobacter baumannii</i> (25.00%); the most prevalent virus was rotavirus (62.50%). The rate of contamination was higher for toilet door handles (23.04%) than for other public and healthcare handles (7.75%). Hospitals presented slightly higher contamination rates (10.82%) than did public settings (8.97%).</p><p><strong>Conclusion: </strong>This systematic review highlights the widespread microbial contamination of door handles, particularly in public and healthcare environments. While bacterial contamination is predominant, the finding of viruses such as rotavirus, norovirus and even SARS-CoV-2 highlights the stringency of cleaning that has to be applied. These findings emphasise the need for targeted hygiene interventions to reduce the risk of pathogen transmission via door handles, particularly in high-traffic areas.</p>","PeriodicalId":11827,"journal":{"name":"Environmental Health Insights","volume":"19 ","pages":"11786302251328550"},"PeriodicalIF":2.9000,"publicationDate":"2025-04-27","publicationTypes":"Journal Article","fieldsOfStudy":null,"isOpenAccess":false,"openAccessPdf":"https://www.ncbi.nlm.nih.gov/pmc/articles/PMC12035165/pdf/","citationCount":"0","resultStr":"{\"title\":\"Microbial Contamination of Door Handles: A Global Systematic Review and Meta-Analysis of Public and Healthcare Settings.\",\"authors\":\"Peter Ofori Appiah, Alex Odoom, Patience B Tetteh-Quarcoo, Fleischer C N Kotey, Eric S Donkor\",\"doi\":\"10.1177/11786302251328550\",\"DOIUrl\":null,\"url\":null,\"abstract\":\"<p><strong>Background: </strong>The public health risk of microbial contamination of fomites is evident from the numerous fomite-associated outbreaks that have occurred in several countries. Despite the high-touch nature of door handles across various settings, no comprehensive synthesis of contamination rates and microbial profiles has been performed.</p><p><strong>Aim: </strong>The aim of this work was to assess the prevalence and types of microbial contamination on door handles in public and healthcare settings.</p><p><strong>Methods: </strong>We systematically searched PubMed, Web of Science, and Scopus for studies published up to July 2024. A systematic review and meta-analysis were conducted according to the PRISMA guidelines. Pooled prevalence estimates were calculated via a random-effects model, and subgroup analyses were performed to assess differences on the basis of pathogen type, handle location, and setting.</p><p><strong>Results: </strong>A total of 27 studies met the eligibility criteria. The overall estimation of microbial contamination of door handles revealed a prevalence of 9.96% (95% CI: 5.87‒14.11). Compared with viral contamination which was observed to be 17.73% (95% CI: 9.24‒27.81), bacterial contamination was less common at 6.20% (95% CI: 2.90‒10.42). The most predominant bacterial agent was <i>Bacillus</i> spp. (55.74%), followed by <i>Acinetobacter baumannii</i> (25.00%); the most prevalent virus was rotavirus (62.50%). The rate of contamination was higher for toilet door handles (23.04%) than for other public and healthcare handles (7.75%). Hospitals presented slightly higher contamination rates (10.82%) than did public settings (8.97%).</p><p><strong>Conclusion: </strong>This systematic review highlights the widespread microbial contamination of door handles, particularly in public and healthcare environments. While bacterial contamination is predominant, the finding of viruses such as rotavirus, norovirus and even SARS-CoV-2 highlights the stringency of cleaning that has to be applied. These findings emphasise the need for targeted hygiene interventions to reduce the risk of pathogen transmission via door handles, particularly in high-traffic areas.</p>\",\"PeriodicalId\":11827,\"journal\":{\"name\":\"Environmental Health Insights\",\"volume\":\"19 \",\"pages\":\"11786302251328550\"},\"PeriodicalIF\":2.9000,\"publicationDate\":\"2025-04-27\",\"publicationTypes\":\"Journal Article\",\"fieldsOfStudy\":null,\"isOpenAccess\":false,\"openAccessPdf\":\"https://www.ncbi.nlm.nih.gov/pmc/articles/PMC12035165/pdf/\",\"citationCount\":\"0\",\"resultStr\":null,\"platform\":\"Semanticscholar\",\"paperid\":null,\"PeriodicalName\":\"Environmental Health Insights\",\"FirstCategoryId\":\"1085\",\"ListUrlMain\":\"https://doi.org/10.1177/11786302251328550\",\"RegionNum\":0,\"RegionCategory\":null,\"ArticlePicture\":[],\"TitleCN\":null,\"AbstractTextCN\":null,\"PMCID\":null,\"EPubDate\":\"2025/1/1 0:00:00\",\"PubModel\":\"eCollection\",\"JCR\":\"Q2\",\"JCRName\":\"PUBLIC, ENVIRONMENTAL & OCCUPATIONAL HEALTH\",\"Score\":null,\"Total\":0}","platform":"Semanticscholar","paperid":null,"PeriodicalName":"Environmental Health Insights","FirstCategoryId":"1085","ListUrlMain":"https://doi.org/10.1177/11786302251328550","RegionNum":0,"RegionCategory":null,"ArticlePicture":[],"TitleCN":null,"AbstractTextCN":null,"PMCID":null,"EPubDate":"2025/1/1 0:00:00","PubModel":"eCollection","JCR":"Q2","JCRName":"PUBLIC, ENVIRONMENTAL & OCCUPATIONAL HEALTH","Score":null,"Total":0}
引用次数: 0

摘要

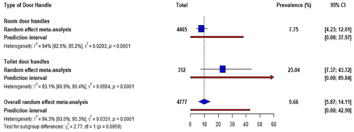
背景:从几个国家发生的许多与污染物有关的疫情来看,污染物微生物污染的公共卫生风险是显而易见的。尽管各种设置的门把手具有高触感的性质,但没有对污染率和微生物概况进行全面的综合。目的:本工作的目的是评估公共和医疗机构门把手上微生物污染的流行程度和类型。方法:系统检索PubMed、Web of Science和Scopus,检索截止到2024年7月发表的研究。根据PRISMA指南进行系统评价和荟萃分析。通过随机效应模型计算合并患病率,并进行亚组分析,以评估基于病原体类型、手柄位置和环境的差异。结果:共有27项研究符合入选标准。门把手的微生物污染的总体估计显示患病率为9.96% (95% CI: 5.87-14.11)。病毒污染为17.73% (95% CI: 9.24-27.81),细菌污染为6.20% (95% CI: 2.90-10.42),较少见。最主要病原菌为芽孢杆菌(55.74%),其次为鲍曼不动杆菌(25.00%);最常见的病毒是轮状病毒(62.50%)。厕所门把手的污染率(23.04%)高于其他公共场所和医疗机构门把手(7.75%)。医院的污染率(10.82%)略高于公共机构(8.97%)。结论:本系统综述强调了门把手广泛存在的微生物污染,特别是在公共和医疗环境中。虽然细菌污染占主导地位,但轮状病毒、诺如病毒甚至SARS-CoV-2等病毒的发现凸显了必须严格执行的清洁工作。这些发现强调需要有针对性的卫生干预措施,以减少通过门把手传播病原体的风险,特别是在交通繁忙的地区。
本文章由计算机程序翻译,如有差异,请以英文原文为准。

Microbial Contamination of Door Handles: A Global Systematic Review and Meta-Analysis of Public and Healthcare Settings.

Microbial Contamination of Door Handles: A Global Systematic Review and Meta-Analysis of Public and Healthcare Settings.

Microbial Contamination of Door Handles: A Global Systematic Review and Meta-Analysis of Public and Healthcare Settings.

Microbial Contamination of Door Handles: A Global Systematic Review and Meta-Analysis of Public and Healthcare Settings.

Background: The public health risk of microbial contamination of fomites is evident from the numerous fomite-associated outbreaks that have occurred in several countries. Despite the high-touch nature of door handles across various settings, no comprehensive synthesis of contamination rates and microbial profiles has been performed.

Aim: The aim of this work was to assess the prevalence and types of microbial contamination on door handles in public and healthcare settings.

Methods: We systematically searched PubMed, Web of Science, and Scopus for studies published up to July 2024. A systematic review and meta-analysis were conducted according to the PRISMA guidelines. Pooled prevalence estimates were calculated via a random-effects model, and subgroup analyses were performed to assess differences on the basis of pathogen type, handle location, and setting.

Results: A total of 27 studies met the eligibility criteria. The overall estimation of microbial contamination of door handles revealed a prevalence of 9.96% (95% CI: 5.87‒14.11). Compared with viral contamination which was observed to be 17.73% (95% CI: 9.24‒27.81), bacterial contamination was less common at 6.20% (95% CI: 2.90‒10.42). The most predominant bacterial agent was Bacillus spp. (55.74%), followed by Acinetobacter baumannii (25.00%); the most prevalent virus was rotavirus (62.50%). The rate of contamination was higher for toilet door handles (23.04%) than for other public and healthcare handles (7.75%). Hospitals presented slightly higher contamination rates (10.82%) than did public settings (8.97%).

Conclusion: This systematic review highlights the widespread microbial contamination of door handles, particularly in public and healthcare environments. While bacterial contamination is predominant, the finding of viruses such as rotavirus, norovirus and even SARS-CoV-2 highlights the stringency of cleaning that has to be applied. These findings emphasise the need for targeted hygiene interventions to reduce the risk of pathogen transmission via door handles, particularly in high-traffic areas.

求助全文
通过发布文献求助,成功后即可免费获取论文全文。 去求助
来源期刊
Environmental Health Insights
Environmental Health Insights PUBLIC, ENVIRONMENTAL & OCCUPATIONAL HEALTH-
CiteScore
3.20
自引率
22.20%
发文量
97
审稿时长
8 weeks
×
引用
GB/T 7714-2015
复制
MLA
复制
APA
复制
导出至
BibTeX EndNote RefMan NoteFirst NoteExpress
×
提示
您的信息不完整,为了账户安全,请先补充。
现在去补充
×
提示
您因"违规操作"
具体请查看互助需知
我知道了
×
提示
确定
请完成安全验证×
copy
已复制链接
快去分享给好友吧!
我知道了
右上角分享
点击右上角分享
0
联系我们:info@booksci.cn Book学术提供免费学术资源搜索服务,方便国内外学者检索中英文文献。致力于提供最便捷和优质的服务体验。 Copyright © 2023 布克学术 All rights reserved.
京ICP备2023020795号-1
ghs 京公网安备 11010802042870号
Book学术文献互助
Book学术文献互助群
群 号:604180095
Book学术官方微信