基于PET的弥漫性胶质瘤反应评估标准(PET RANO 1.0):在[18F]-FDOPA PET成像中的方解学应用。

IF 3.1 3区 医学 Q1 RADIOLOGY, NUCLEAR MEDICINE & MEDICAL IMAGING
Guilhem Stien, Adeline Zinsz, Shamimeh Ahrari, Luc Taillandier, Marie Blonski, Laetitia Imbert, Timothée Zaragori, Antoine Verger
{"title":"基于PET的弥漫性胶质瘤反应评估标准(PET RANO 1.0):在[18F]-FDOPA PET成像中的方解学应用。","authors":"Guilhem Stien, Adeline Zinsz, Shamimeh Ahrari, Luc Taillandier, Marie Blonski, Laetitia Imbert, Timothée Zaragori, Antoine Verger","doi":"10.1186/s13550-025-01239-1","DOIUrl":null,"url":null,"abstract":"<p><strong>Background: </strong>The Response Assessment in Neuro-Oncology (RANO) group recently reported PET-based response assessment criteria for diffuse gliomas (PET RANO 1.0). The objective of this study was to evaluate the methodological application of these criteria for the amino acid [<sup>18</sup>F]-FDOPA radiotracer. Patients with confirmed glioma who underwent at least one baseline [<sup>18</sup>F]-FDOPA PET scan were retrospectively included. The PET RANO 1.0 criteria were evaluated regarding their methodological application. Patients with at least one follow-up PET scan were evaluated with the PET RANO 1.0 criteria as compared to the routine interpretation of two experts not using the PET RANO 1.0 criteria, defined as the reference. The different PET parameters included in the PET RANO 1.0 criteria were evaluated separately regarding their contribution.</p><p><strong>Results: </strong>Ninety patients (52.0 ± 15.3 years old, 56% women) were included in this study regards to the methodology of application of the PET RANO 1.0 criteria, with 86% of patients presenting measurable diseases. Among these patients, 65 patients were evaluated for the comparison between the PET RANO 1.0 criteria and the expert interpretation: a concordance of 80%, equivalent for newly diagnosed and recurrent gliomas, as well as IDH-mutant vs. IDH-wildtype gliomas was found. The metabolic tumor volume represented the most contributive parameter (71% of cases) to the definition of response according to the PET RANO 1.0 criteria. Striatum infiltration, post-treatment related effects, measurable diseases criteria and thresholds for PET RANO 1.0 criteria were related to the cases discordances.</p><p><strong>Conclusion: </strong>The PET RANO 1.0 criteria can be applied with [<sup>18</sup>F]-FDOPA imaging, with a reasonable concordance with results of an expert interpretation. Description of discordant cases should help to improve future PET RANO 1.0 criteria updating.</p>","PeriodicalId":11611,"journal":{"name":"EJNMMI Research","volume":"15 1","pages":"44"},"PeriodicalIF":3.1000,"publicationDate":"2025-04-18","publicationTypes":"Journal Article","fieldsOfStudy":null,"isOpenAccess":false,"openAccessPdf":"https://www.ncbi.nlm.nih.gov/pmc/articles/PMC12008083/pdf/","citationCount":"0","resultStr":"{\"title\":\"PET-based response assessment criteria for diffuse gliomas (PET RANO 1.0): methodological application in [<sup>18</sup>F]-FDOPA PET imaging.\",\"authors\":\"Guilhem Stien, Adeline Zinsz, Shamimeh Ahrari, Luc Taillandier, Marie Blonski, Laetitia Imbert, Timothée Zaragori, Antoine Verger\",\"doi\":\"10.1186/s13550-025-01239-1\",\"DOIUrl\":null,\"url\":null,\"abstract\":\"<p><strong>Background: </strong>The Response Assessment in Neuro-Oncology (RANO) group recently reported PET-based response assessment criteria for diffuse gliomas (PET RANO 1.0). The objective of this study was to evaluate the methodological application of these criteria for the amino acid [<sup>18</sup>F]-FDOPA radiotracer. Patients with confirmed glioma who underwent at least one baseline [<sup>18</sup>F]-FDOPA PET scan were retrospectively included. The PET RANO 1.0 criteria were evaluated regarding their methodological application. Patients with at least one follow-up PET scan were evaluated with the PET RANO 1.0 criteria as compared to the routine interpretation of two experts not using the PET RANO 1.0 criteria, defined as the reference. The different PET parameters included in the PET RANO 1.0 criteria were evaluated separately regarding their contribution.</p><p><strong>Results: </strong>Ninety patients (52.0 ± 15.3 years old, 56% women) were included in this study regards to the methodology of application of the PET RANO 1.0 criteria, with 86% of patients presenting measurable diseases. Among these patients, 65 patients were evaluated for the comparison between the PET RANO 1.0 criteria and the expert interpretation: a concordance of 80%, equivalent for newly diagnosed and recurrent gliomas, as well as IDH-mutant vs. IDH-wildtype gliomas was found. The metabolic tumor volume represented the most contributive parameter (71% of cases) to the definition of response according to the PET RANO 1.0 criteria. Striatum infiltration, post-treatment related effects, measurable diseases criteria and thresholds for PET RANO 1.0 criteria were related to the cases discordances.</p><p><strong>Conclusion: </strong>The PET RANO 1.0 criteria can be applied with [<sup>18</sup>F]-FDOPA imaging, with a reasonable concordance with results of an expert interpretation. Description of discordant cases should help to improve future PET RANO 1.0 criteria updating.</p>\",\"PeriodicalId\":11611,\"journal\":{\"name\":\"EJNMMI Research\",\"volume\":\"15 1\",\"pages\":\"44\"},\"PeriodicalIF\":3.1000,\"publicationDate\":\"2025-04-18\",\"publicationTypes\":\"Journal Article\",\"fieldsOfStudy\":null,\"isOpenAccess\":false,\"openAccessPdf\":\"https://www.ncbi.nlm.nih.gov/pmc/articles/PMC12008083/pdf/\",\"citationCount\":\"0\",\"resultStr\":null,\"platform\":\"Semanticscholar\",\"paperid\":null,\"PeriodicalName\":\"EJNMMI Research\",\"FirstCategoryId\":\"3\",\"ListUrlMain\":\"https://doi.org/10.1186/s13550-025-01239-1\",\"RegionNum\":3,\"RegionCategory\":\"医学\",\"ArticlePicture\":[],\"TitleCN\":null,\"AbstractTextCN\":null,\"PMCID\":null,\"EPubDate\":\"\",\"PubModel\":\"\",\"JCR\":\"Q1\",\"JCRName\":\"RADIOLOGY, NUCLEAR MEDICINE & MEDICAL IMAGING\",\"Score\":null,\"Total\":0}","platform":"Semanticscholar","paperid":null,"PeriodicalName":"EJNMMI Research","FirstCategoryId":"3","ListUrlMain":"https://doi.org/10.1186/s13550-025-01239-1","RegionNum":3,"RegionCategory":"医学","ArticlePicture":[],"TitleCN":null,"AbstractTextCN":null,"PMCID":null,"EPubDate":"","PubModel":"","JCR":"Q1","JCRName":"RADIOLOGY, NUCLEAR MEDICINE & MEDICAL IMAGING","Score":null,"Total":0}
引用次数: 0

摘要

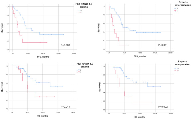
背景:神经肿瘤学反应评估(RANO)组最近报道了基于PET的弥漫性胶质瘤反应评估标准(PET RANO 1.0)。本研究的目的是评价这些标准在氨基酸[18F]-FDOPA放射性示踪剂中的方法学应用。回顾性纳入至少进行一次基线[18F]-FDOPA PET扫描的确诊胶质瘤患者。评估PET RANO 1.0标准的方法学应用。至少进行一次随访PET扫描的患者用PET RANO 1.0标准进行评估,与不使用PET RANO 1.0标准的两位专家的常规解释进行比较,定义为参考。分别评估PET RANO 1.0标准中包含的不同PET参数的贡献。结果:本研究采用PET RANO 1.0标准纳入90例患者(52.0±15.3岁,56%为女性),86%的患者出现可测量的疾病。在这些患者中,对65例患者进行了评估,以比较PET RANO 1.0标准和专家解释:发现80%的一致性,相当于新诊断和复发的胶质瘤,以及idh突变型与idh野生型胶质瘤。根据PET RANO 1.0标准,代谢肿瘤体积是最重要的参数(71%的病例)。纹状体浸润、治疗后相关效应、可测量疾病标准和PET RANO 1.0标准阈值与病例不一致有关。结论:PET RANO 1.0标准可应用于[18F]-FDOPA成像,与专家判读结果有较好的一致性。对不一致病例的描述应该有助于改进未来PET RANO 1.0标准的更新。
本文章由计算机程序翻译,如有差异,请以英文原文为准。

PET-based response assessment criteria for diffuse gliomas (PET RANO 1.0): methodological application in [<sup>18</sup>F]-FDOPA PET imaging.

PET-based response assessment criteria for diffuse gliomas (PET RANO 1.0): methodological application in [<sup>18</sup>F]-FDOPA PET imaging.

PET-based response assessment criteria for diffuse gliomas (PET RANO 1.0): methodological application in [<sup>18</sup>F]-FDOPA PET imaging.

PET-based response assessment criteria for diffuse gliomas (PET RANO 1.0): methodological application in [18F]-FDOPA PET imaging.

Background: The Response Assessment in Neuro-Oncology (RANO) group recently reported PET-based response assessment criteria for diffuse gliomas (PET RANO 1.0). The objective of this study was to evaluate the methodological application of these criteria for the amino acid [18F]-FDOPA radiotracer. Patients with confirmed glioma who underwent at least one baseline [18F]-FDOPA PET scan were retrospectively included. The PET RANO 1.0 criteria were evaluated regarding their methodological application. Patients with at least one follow-up PET scan were evaluated with the PET RANO 1.0 criteria as compared to the routine interpretation of two experts not using the PET RANO 1.0 criteria, defined as the reference. The different PET parameters included in the PET RANO 1.0 criteria were evaluated separately regarding their contribution.

Results: Ninety patients (52.0 ± 15.3 years old, 56% women) were included in this study regards to the methodology of application of the PET RANO 1.0 criteria, with 86% of patients presenting measurable diseases. Among these patients, 65 patients were evaluated for the comparison between the PET RANO 1.0 criteria and the expert interpretation: a concordance of 80%, equivalent for newly diagnosed and recurrent gliomas, as well as IDH-mutant vs. IDH-wildtype gliomas was found. The metabolic tumor volume represented the most contributive parameter (71% of cases) to the definition of response according to the PET RANO 1.0 criteria. Striatum infiltration, post-treatment related effects, measurable diseases criteria and thresholds for PET RANO 1.0 criteria were related to the cases discordances.

Conclusion: The PET RANO 1.0 criteria can be applied with [18F]-FDOPA imaging, with a reasonable concordance with results of an expert interpretation. Description of discordant cases should help to improve future PET RANO 1.0 criteria updating.

求助全文
通过发布文献求助,成功后即可免费获取论文全文。 去求助
来源期刊
EJNMMI Research
EJNMMI Research RADIOLOGY, NUCLEAR MEDICINE & MEDICAL IMAGING&nb-
CiteScore
5.90
自引率
3.10%
发文量
72
审稿时长
13 weeks
期刊介绍: EJNMMI Research publishes new basic, translational and clinical research in the field of nuclear medicine and molecular imaging. Regular features include original research articles, rapid communication of preliminary data on innovative research, interesting case reports, editorials, and letters to the editor. Educational articles on basic sciences, fundamental aspects and controversy related to pre-clinical and clinical research or ethical aspects of research are also welcome. Timely reviews provide updates on current applications, issues in imaging research and translational aspects of nuclear medicine and molecular imaging technologies. The main emphasis is placed on the development of targeted imaging with radiopharmaceuticals within the broader context of molecular probes to enhance understanding and characterisation of the complex biological processes underlying disease and to develop, test and guide new treatment modalities, including radionuclide therapy.
×
引用
GB/T 7714-2015
复制
MLA
复制
APA
复制
导出至
BibTeX EndNote RefMan NoteFirst NoteExpress
×
提示
您的信息不完整,为了账户安全,请先补充。
现在去补充
×
提示
您因"违规操作"
具体请查看互助需知
我知道了
×
提示
确定
请完成安全验证×
copy
已复制链接
快去分享给好友吧!
我知道了
右上角分享
点击右上角分享
0
联系我们:info@booksci.cn Book学术提供免费学术资源搜索服务,方便国内外学者检索中英文文献。致力于提供最便捷和优质的服务体验。 Copyright © 2023 布克学术 All rights reserved.
京ICP备2023020795号-1
ghs 京公网安备 11010802042870号
Book学术文献互助
Book学术文献互助群
群 号:604180095
Book学术官方微信