口服胰岛素对1型糖尿病高危人群早期血糖和c肽联合终点的影响

IF 5.6 3区 医学 Q2 ENDOCRINOLOGY & METABOLISM
Pediatric Diabetes Pub Date : 2024-10-03 eCollection Date: 2024-01-01 DOI:10.1155/2024/8343868
Taylor M Triolo, Laura M Jacobsen, David Cuthbertson, Emily K Sims, Heba M Ismail, Maria J Redondo, Markus Lundgren, Linda A DiMeglio, Peter A Gottlieb, Mark A Atkinson, Jeffrey P Krischer, Desmond A Schatz, Jay M Sosenko
{"title":"口服胰岛素对1型糖尿病高危人群早期血糖和c肽联合终点的影响","authors":"Taylor M Triolo, Laura M Jacobsen, David Cuthbertson, Emily K Sims, Heba M Ismail, Maria J Redondo, Markus Lundgren, Linda A DiMeglio, Peter A Gottlieb, Mark A Atkinson, Jeffrey P Krischer, Desmond A Schatz, Jay M Sosenko","doi":"10.1155/2024/8343868","DOIUrl":null,"url":null,"abstract":"<p><p><b>Background:</b> The TrialNet Oral Insulin (OI) prevention trial showed no overall treatment effect, using the diagnosis of type 1 diabetes as an endpoint. A significant delay in onset was only found in a high-risk stratum (termed secondary stratum 1) of participants with low first-phase insulin release (FPIR). <b>Methods:</b> Since trials with an endpoint of type 1 diabetes take years to complete, in this post hoc analysis, we assessed whether a novel combination of glucose and C-peptide markers could identify a therapeutic benefit after 1 year of follow-up (trial participants followed for a median 2.7 years). <b>Results:</b> Participants were relatives with multiple islet autoantibodies and low FPIR (<i>n</i> = 40). Glucose rose, and C-peptide declined in the placebo group, whereas glucose rose minimally, and C-peptide increased in the OI group. When glucose and C-peptide were plotted on two-dimensional grids using 30-120-min oral glucose tolerance test (OGTT) time points, changes in ratios of their central points (centroid ratio) differed between groups (<i>p</i>=0.037 adjusted for age, BMI, and baseline C-peptide and glucose). <b>Conclusions:</b> These findings support a favorable early effect of OI on combined glucose and C-peptide endpoints in high-risk individuals, indicating metabolic benefit. With further study, these measures may allow for shorter trials compared to the standard endpoint of type 1 diabetes diagnosis.</p>","PeriodicalId":19797,"journal":{"name":"Pediatric Diabetes","volume":"2024 ","pages":"8343868"},"PeriodicalIF":5.6000,"publicationDate":"2024-10-03","publicationTypes":"Journal Article","fieldsOfStudy":null,"isOpenAccess":false,"openAccessPdf":"https://www.ncbi.nlm.nih.gov/pmc/articles/PMC12016772/pdf/","citationCount":"0","resultStr":"{\"title\":\"Effect of Oral Insulin on Early Combined Glucose and C-Peptide Endpoints in Individuals at High-Risk for Type 1 Diabetes.\",\"authors\":\"Taylor M Triolo, Laura M Jacobsen, David Cuthbertson, Emily K Sims, Heba M Ismail, Maria J Redondo, Markus Lundgren, Linda A DiMeglio, Peter A Gottlieb, Mark A Atkinson, Jeffrey P Krischer, Desmond A Schatz, Jay M Sosenko\",\"doi\":\"10.1155/2024/8343868\",\"DOIUrl\":null,\"url\":null,\"abstract\":\"<p><p><b>Background:</b> The TrialNet Oral Insulin (OI) prevention trial showed no overall treatment effect, using the diagnosis of type 1 diabetes as an endpoint. A significant delay in onset was only found in a high-risk stratum (termed secondary stratum 1) of participants with low first-phase insulin release (FPIR). <b>Methods:</b> Since trials with an endpoint of type 1 diabetes take years to complete, in this post hoc analysis, we assessed whether a novel combination of glucose and C-peptide markers could identify a therapeutic benefit after 1 year of follow-up (trial participants followed for a median 2.7 years). <b>Results:</b> Participants were relatives with multiple islet autoantibodies and low FPIR (<i>n</i> = 40). Glucose rose, and C-peptide declined in the placebo group, whereas glucose rose minimally, and C-peptide increased in the OI group. When glucose and C-peptide were plotted on two-dimensional grids using 30-120-min oral glucose tolerance test (OGTT) time points, changes in ratios of their central points (centroid ratio) differed between groups (<i>p</i>=0.037 adjusted for age, BMI, and baseline C-peptide and glucose). <b>Conclusions:</b> These findings support a favorable early effect of OI on combined glucose and C-peptide endpoints in high-risk individuals, indicating metabolic benefit. With further study, these measures may allow for shorter trials compared to the standard endpoint of type 1 diabetes diagnosis.</p>\",\"PeriodicalId\":19797,\"journal\":{\"name\":\"Pediatric Diabetes\",\"volume\":\"2024 \",\"pages\":\"8343868\"},\"PeriodicalIF\":5.6000,\"publicationDate\":\"2024-10-03\",\"publicationTypes\":\"Journal Article\",\"fieldsOfStudy\":null,\"isOpenAccess\":false,\"openAccessPdf\":\"https://www.ncbi.nlm.nih.gov/pmc/articles/PMC12016772/pdf/\",\"citationCount\":\"0\",\"resultStr\":null,\"platform\":\"Semanticscholar\",\"paperid\":null,\"PeriodicalName\":\"Pediatric Diabetes\",\"FirstCategoryId\":\"3\",\"ListUrlMain\":\"https://doi.org/10.1155/2024/8343868\",\"RegionNum\":3,\"RegionCategory\":\"医学\",\"ArticlePicture\":[],\"TitleCN\":null,\"AbstractTextCN\":null,\"PMCID\":null,\"EPubDate\":\"2024/1/1 0:00:00\",\"PubModel\":\"eCollection\",\"JCR\":\"Q2\",\"JCRName\":\"ENDOCRINOLOGY & METABOLISM\",\"Score\":null,\"Total\":0}","platform":"Semanticscholar","paperid":null,"PeriodicalName":"Pediatric Diabetes","FirstCategoryId":"3","ListUrlMain":"https://doi.org/10.1155/2024/8343868","RegionNum":3,"RegionCategory":"医学","ArticlePicture":[],"TitleCN":null,"AbstractTextCN":null,"PMCID":null,"EPubDate":"2024/1/1 0:00:00","PubModel":"eCollection","JCR":"Q2","JCRName":"ENDOCRINOLOGY & METABOLISM","Score":null,"Total":0}
引用次数: 0

摘要

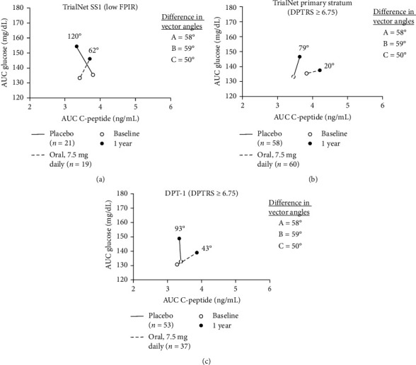
背景:TrialNet口服胰岛素(OI)预防试验以1型糖尿病的诊断为终点,没有显示总体治疗效果。仅在第一阶段胰岛素释放(FPIR)较低的参与者的高风险层(称为次级1层)中发现了显著的发病延迟。方法:由于以1型糖尿病为终点的试验需要数年时间才能完成,因此在本事后分析中,我们评估了葡萄糖和c肽标志物的新组合是否可以在随访1年后确定治疗益处(试验参与者随访中位数为2.7年)。结果:参与者均为患有多种胰岛自身抗体和低FPIR的亲属(n = 40)。安慰剂组血糖升高,c肽下降,而成骨不全症组血糖升高,c肽升高。当葡萄糖和c肽使用30-120分钟口服葡萄糖耐量试验(OGTT)时间点绘制在二维网格上时,它们的中心点比率(质心比)的变化在两组之间存在差异(p=0.037,经年龄、BMI和基线c肽和葡萄糖校正)。结论:这些发现支持成骨不全对高危人群的葡萄糖和c肽联合终点有良好的早期影响,表明代谢益处。随着进一步的研究,与1型糖尿病诊断的标准终点相比,这些措施可能允许更短的试验。
本文章由计算机程序翻译,如有差异,请以英文原文为准。

Effect of Oral Insulin on Early Combined Glucose and C-Peptide Endpoints in Individuals at High-Risk for Type 1 Diabetes.

Effect of Oral Insulin on Early Combined Glucose and C-Peptide Endpoints in Individuals at High-Risk for Type 1 Diabetes.

Effect of Oral Insulin on Early Combined Glucose and C-Peptide Endpoints in Individuals at High-Risk for Type 1 Diabetes.

Background: The TrialNet Oral Insulin (OI) prevention trial showed no overall treatment effect, using the diagnosis of type 1 diabetes as an endpoint. A significant delay in onset was only found in a high-risk stratum (termed secondary stratum 1) of participants with low first-phase insulin release (FPIR). Methods: Since trials with an endpoint of type 1 diabetes take years to complete, in this post hoc analysis, we assessed whether a novel combination of glucose and C-peptide markers could identify a therapeutic benefit after 1 year of follow-up (trial participants followed for a median 2.7 years). Results: Participants were relatives with multiple islet autoantibodies and low FPIR (n = 40). Glucose rose, and C-peptide declined in the placebo group, whereas glucose rose minimally, and C-peptide increased in the OI group. When glucose and C-peptide were plotted on two-dimensional grids using 30-120-min oral glucose tolerance test (OGTT) time points, changes in ratios of their central points (centroid ratio) differed between groups (p=0.037 adjusted for age, BMI, and baseline C-peptide and glucose). Conclusions: These findings support a favorable early effect of OI on combined glucose and C-peptide endpoints in high-risk individuals, indicating metabolic benefit. With further study, these measures may allow for shorter trials compared to the standard endpoint of type 1 diabetes diagnosis.

求助全文
通过发布文献求助,成功后即可免费获取论文全文。 去求助
来源期刊
Pediatric Diabetes
Pediatric Diabetes 医学-内分泌学与代谢
CiteScore
6.60
自引率
14.70%
发文量
141
审稿时长
4-8 weeks
期刊介绍: Pediatric Diabetes is a bi-monthly journal devoted to disseminating new knowledge relating to the epidemiology, etiology, pathogenesis, management, complications and prevention of diabetes in childhood and adolescence. The aim of the journal is to become the leading vehicle for international dissemination of research and practice relating to diabetes in youth. Papers are considered for publication based on the rigor of scientific approach, novelty, and importance for understanding mechanisms involved in the epidemiology and etiology of this disease, especially its molecular, biochemical and physiological aspects. Work relating to the clinical presentation, course, management and outcome of diabetes, including its physical and emotional sequelae, is considered. In vitro studies using animal or human tissues, whole animal and clinical studies in humans are also considered. The journal reviews full-length papers, preliminary communications with important new information, clinical reports, and reviews of major topics. Invited editorials, commentaries, and perspectives are a regular feature. The editors, based in the USA, Europe, and Australasia, maintain regular communications to assure rapid turnaround time of submitted manuscripts.
×
引用
GB/T 7714-2015
复制
MLA
复制
APA
复制
导出至
BibTeX EndNote RefMan NoteFirst NoteExpress
×
提示
您的信息不完整,为了账户安全,请先补充。
现在去补充
×
提示
您因"违规操作"
具体请查看互助需知
我知道了
×
提示
确定
请完成安全验证×
copy
已复制链接
快去分享给好友吧!
我知道了
右上角分享
点击右上角分享
0
联系我们:info@booksci.cn Book学术提供免费学术资源搜索服务,方便国内外学者检索中英文文献。致力于提供最便捷和优质的服务体验。 Copyright © 2023 布克学术 All rights reserved.
京ICP备2023020795号-1
ghs 京公网安备 11010802042870号
Book学术文献互助
Book学术文献互助群
群 号:604180095
Book学术官方微信