多菌株伊朗原生益生菌混合物对醋酸铅诱导的雄性大鼠肾脏毒性的保护作用:一项综合生化、分子和组织病理学研究。

IF 2.2 Q3 CHEMISTRY, MEDICINAL
Mohsen Akbaribazm, Zahra Abdol Al Amir Mohammad Javad, Seyed Naser Alavi, Zahra Keshtmand
{"title":"多菌株伊朗原生益生菌混合物对醋酸铅诱导的雄性大鼠肾脏毒性的保护作用:一项综合生化、分子和组织病理学研究。","authors":"Mohsen Akbaribazm, Zahra Abdol Al Amir Mohammad Javad, Seyed Naser Alavi, Zahra Keshtmand","doi":"10.22038/AJP.2024.24261","DOIUrl":null,"url":null,"abstract":"<p><strong>Objective: </strong>In this study, the protective effects of native Iranian probiotics (<i>Lactobacillus rhamnosus, Lactobacillus casei</i> and <i>Lactobacillus holoticus</i>) on lead acetate (PbAc)-induced toxicity in the kidney of male rats were investigated using biochemical, molecular and histopathological approaches.</p><p><strong>Materials and methods: </strong>Twenty-one male Wistar rats were divided into three groups (n=7/group), including controls, PbAc recipient (10 mg/kg) and PbAc recipient (10 mg/kg) + probiotic mixture (10<sup>9</sup> CFU). PbAc and probiotics were gavage in the groups. On the 31<sup>st</sup> day, blood samples were used to measure serum concentrations of creatinine (Cr), blood urea nitrogen (BUN), sodium, total protein and potassium. Rats were dissected and renal tissues apoptotic and inflammatory genes were evaluated.</p><p><strong>Results: </strong>PbAc increased serum concentrations of Cr, sodium, and urea, and decreased total protein and potassium, while it enhanced interleukine-6 (IL-6) and tumor necrosis factor -α (TNF- α) gene expression in kidney tissue compared to the control group. Probiotic mixture decreased Cr, BUN, and malondialdehyde and increased activity of catalase and superoxide dismutase enzymes in kidney tissue.</p><p><strong>Conclusion: </strong>The results of the study showed that the native Iranian probiotics mixture can be used to protect the function and structure of the kidneys against toxic and oxidative damage induced by PbAc.</p>","PeriodicalId":8677,"journal":{"name":"Avicenna Journal of Phytomedicine","volume":"14 5","pages":"632-664"},"PeriodicalIF":2.2000,"publicationDate":"2024-09-01","publicationTypes":"Journal Article","fieldsOfStudy":null,"isOpenAccess":false,"openAccessPdf":"https://www.ncbi.nlm.nih.gov/pmc/articles/PMC12009016/pdf/","citationCount":"0","resultStr":"{\"title\":\"Protective effects of a mixture of multi-strain native Iranian probiotics on lead acetate-induced toxicity in the kidney of male rats: An integrated biochemical, molecular and histopathological study.\",\"authors\":\"Mohsen Akbaribazm, Zahra Abdol Al Amir Mohammad Javad, Seyed Naser Alavi, Zahra Keshtmand\",\"doi\":\"10.22038/AJP.2024.24261\",\"DOIUrl\":null,\"url\":null,\"abstract\":\"<p><strong>Objective: </strong>In this study, the protective effects of native Iranian probiotics (<i>Lactobacillus rhamnosus, Lactobacillus casei</i> and <i>Lactobacillus holoticus</i>) on lead acetate (PbAc)-induced toxicity in the kidney of male rats were investigated using biochemical, molecular and histopathological approaches.</p><p><strong>Materials and methods: </strong>Twenty-one male Wistar rats were divided into three groups (n=7/group), including controls, PbAc recipient (10 mg/kg) and PbAc recipient (10 mg/kg) + probiotic mixture (10<sup>9</sup> CFU). PbAc and probiotics were gavage in the groups. On the 31<sup>st</sup> day, blood samples were used to measure serum concentrations of creatinine (Cr), blood urea nitrogen (BUN), sodium, total protein and potassium. Rats were dissected and renal tissues apoptotic and inflammatory genes were evaluated.</p><p><strong>Results: </strong>PbAc increased serum concentrations of Cr, sodium, and urea, and decreased total protein and potassium, while it enhanced interleukine-6 (IL-6) and tumor necrosis factor -α (TNF- α) gene expression in kidney tissue compared to the control group. Probiotic mixture decreased Cr, BUN, and malondialdehyde and increased activity of catalase and superoxide dismutase enzymes in kidney tissue.</p><p><strong>Conclusion: </strong>The results of the study showed that the native Iranian probiotics mixture can be used to protect the function and structure of the kidneys against toxic and oxidative damage induced by PbAc.</p>\",\"PeriodicalId\":8677,\"journal\":{\"name\":\"Avicenna Journal of Phytomedicine\",\"volume\":\"14 5\",\"pages\":\"632-664\"},\"PeriodicalIF\":2.2000,\"publicationDate\":\"2024-09-01\",\"publicationTypes\":\"Journal Article\",\"fieldsOfStudy\":null,\"isOpenAccess\":false,\"openAccessPdf\":\"https://www.ncbi.nlm.nih.gov/pmc/articles/PMC12009016/pdf/\",\"citationCount\":\"0\",\"resultStr\":null,\"platform\":\"Semanticscholar\",\"paperid\":null,\"PeriodicalName\":\"Avicenna Journal of Phytomedicine\",\"FirstCategoryId\":\"1085\",\"ListUrlMain\":\"https://doi.org/10.22038/AJP.2024.24261\",\"RegionNum\":0,\"RegionCategory\":null,\"ArticlePicture\":[],\"TitleCN\":null,\"AbstractTextCN\":null,\"PMCID\":null,\"EPubDate\":\"\",\"PubModel\":\"\",\"JCR\":\"Q3\",\"JCRName\":\"CHEMISTRY, MEDICINAL\",\"Score\":null,\"Total\":0}","platform":"Semanticscholar","paperid":null,"PeriodicalName":"Avicenna Journal of Phytomedicine","FirstCategoryId":"1085","ListUrlMain":"https://doi.org/10.22038/AJP.2024.24261","RegionNum":0,"RegionCategory":null,"ArticlePicture":[],"TitleCN":null,"AbstractTextCN":null,"PMCID":null,"EPubDate":"","PubModel":"","JCR":"Q3","JCRName":"CHEMISTRY, MEDICINAL","Score":null,"Total":0}
引用次数: 0

摘要

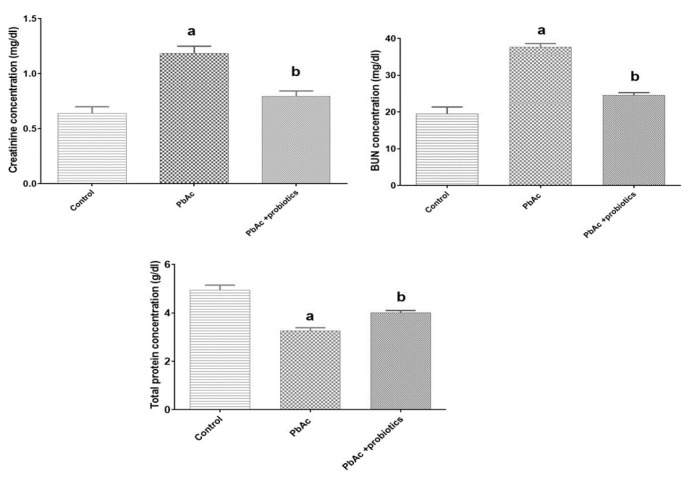
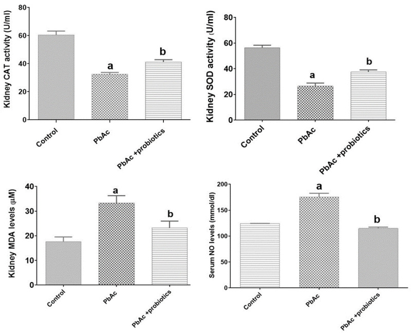
目的:采用生化、分子和组织病理学方法,研究伊朗原生益生菌(鼠李糖乳杆菌、干酪乳杆菌和全乳杆菌)对醋酸铅(PbAc)诱导的雄性大鼠肾脏毒性的保护作用。材料与方法:21只雄性Wistar大鼠分为对照组、PbAc受体(10 mg/kg)和PbAc受体(10 mg/kg) +益生菌混合物(109 CFU) 3组(n=7/组)。各组灌胃PbAc和益生菌。第31天取血测定血清肌酐(Cr)、尿素氮(BUN)、钠、总蛋白和钾的浓度。解剖大鼠,检测肾组织凋亡和炎症基因。结果:与对照组相比,PbAc提高了血清中Cr、钠和尿素的浓度,降低了总蛋白和钾的含量,提高了肾组织中白细胞介素-6 (IL-6)和肿瘤坏死因子-α (TNF- α)基因的表达。益生菌混合物降低肾组织Cr、BUN和丙二醛,提高过氧化氢酶和超氧化物歧化酶活性。结论:研究结果表明,伊朗原生益生菌混合物可保护肾脏功能和结构免受PbAc引起的毒性和氧化损伤。
本文章由计算机程序翻译,如有差异,请以英文原文为准。

Protective effects of a mixture of multi-strain native Iranian probiotics on lead acetate-induced toxicity in the kidney of male rats: An integrated biochemical, molecular and histopathological study.

Protective effects of a mixture of multi-strain native Iranian probiotics on lead acetate-induced toxicity in the kidney of male rats: An integrated biochemical, molecular and histopathological study.

Protective effects of a mixture of multi-strain native Iranian probiotics on lead acetate-induced toxicity in the kidney of male rats: An integrated biochemical, molecular and histopathological study.

Protective effects of a mixture of multi-strain native Iranian probiotics on lead acetate-induced toxicity in the kidney of male rats: An integrated biochemical, molecular and histopathological study.

Objective: In this study, the protective effects of native Iranian probiotics (Lactobacillus rhamnosus, Lactobacillus casei and Lactobacillus holoticus) on lead acetate (PbAc)-induced toxicity in the kidney of male rats were investigated using biochemical, molecular and histopathological approaches.

Materials and methods: Twenty-one male Wistar rats were divided into three groups (n=7/group), including controls, PbAc recipient (10 mg/kg) and PbAc recipient (10 mg/kg) + probiotic mixture (109 CFU). PbAc and probiotics were gavage in the groups. On the 31st day, blood samples were used to measure serum concentrations of creatinine (Cr), blood urea nitrogen (BUN), sodium, total protein and potassium. Rats were dissected and renal tissues apoptotic and inflammatory genes were evaluated.

Results: PbAc increased serum concentrations of Cr, sodium, and urea, and decreased total protein and potassium, while it enhanced interleukine-6 (IL-6) and tumor necrosis factor -α (TNF- α) gene expression in kidney tissue compared to the control group. Probiotic mixture decreased Cr, BUN, and malondialdehyde and increased activity of catalase and superoxide dismutase enzymes in kidney tissue.

Conclusion: The results of the study showed that the native Iranian probiotics mixture can be used to protect the function and structure of the kidneys against toxic and oxidative damage induced by PbAc.

求助全文
通过发布文献求助,成功后即可免费获取论文全文。 去求助
来源期刊
Avicenna Journal of Phytomedicine
Avicenna Journal of Phytomedicine CHEMISTRY, MEDICINAL-
CiteScore
3.40
自引率
4.50%
发文量
17
审稿时长
6 weeks
×
引用
GB/T 7714-2015
复制
MLA
复制
APA
复制
导出至
BibTeX EndNote RefMan NoteFirst NoteExpress
×
提示
您的信息不完整,为了账户安全,请先补充。
现在去补充
×
提示
您因"违规操作"
具体请查看互助需知
我知道了
×
提示
确定
请完成安全验证×
copy
已复制链接
快去分享给好友吧!
我知道了
右上角分享
点击右上角分享
0
联系我们:info@booksci.cn Book学术提供免费学术资源搜索服务,方便国内外学者检索中英文文献。致力于提供最便捷和优质的服务体验。 Copyright © 2023 布克学术 All rights reserved.
京ICP备2023020795号-1
ghs 京公网安备 11010802042870号
Book学术文献互助
Book学术文献互助群
群 号:604180095
Book学术官方微信