高龄无产妇女住院时急诊剖腹产的影响因素分析及预测模型

Ryosuke Arakaki, Wataru Isono, Hiroaki Fukuda, Junya Tanaka, Arisa Minamino, Shiko Hayashi
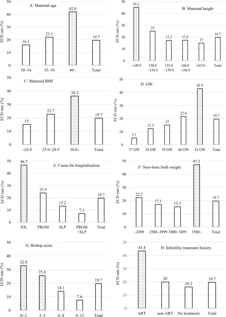
{"title":"高龄无产妇女住院时急诊剖腹产的影响因素分析及预测模型","authors":"Ryosuke Arakaki, Wataru Isono, Hiroaki Fukuda, Junya Tanaka, Arisa Minamino, Shiko Hayashi","doi":"10.18502/jfrh.v18i4.17410","DOIUrl":null,"url":null,"abstract":"<p><strong>Objective: </strong>In Japan, the number of nulliparous pregnant women of advanced age, defined as 35 years or older, has increased, and the age range has lengthened towards older age with the increased use of infertility treatments. Given this trend, adverse labour outcomes, such as emergency caesarean delivery (ECD), are expected to increase. Therefore, by focusing mainly on maternal age and infertility treatment history, we aimed to establish a new prediction model for the likelihood of ECD after identifying the influencing factors related to maternal and labour-related characteristics.</p><p><strong>Materials and methods: </strong>The medical records of 1,521 pregnant women who were nulliparous between 2017/4/1 and 2024/3/31 at our hospital were retrospectively reviewed. First, for the 675 women who were aged 30 years old or more, we calculated the rates of ECD in 8 groups classified according to maternal age, infertility treatment, and other variables. Next, we performed multivariate logistic regression analysis to assess the effect of each representative factor and established a prediction model based on the number of factors that were significant in the multivariate analysis.</p><p><strong>Results: </strong>Simple comparisons classified by maternal age revealed a constant increase in the rate of ECD with increasing maternal age, and multivariate analysis revealed 7 significant factors, namely, advanced maternal age, history of using assisted reproductive techniques (ART), small height, high Body mass index (BMI), low Bishop score, late-term delivery, and large infant. In the prediction model constructed with these 7 factors, the rate of ECD increased as the number of these factors increased.</p><p><strong>Conclusion: </strong>The negative impact of advanced maternal age, namely, 40 years or older, and ART history, on labour outcome is clear. A new prediction model has the potential to identify patients with an extremely high probability of needing an ECD. These results may indicate that the management of the labour process will become more difficult in the future.</p>","PeriodicalId":15845,"journal":{"name":"Journal of Family and Reproductive Health","volume":"18 4","pages":"217-225"},"PeriodicalIF":0.0000,"publicationDate":"2024-12-01","publicationTypes":"Journal Article","fieldsOfStudy":null,"isOpenAccess":false,"openAccessPdf":"https://www.ncbi.nlm.nih.gov/pmc/articles/PMC12056442/pdf/","citationCount":"0","resultStr":"{\"title\":\"Influencing Factor Analysis and Prediction Model of Emergency Caesarean Delivery for Advanced-Age Nulliparous Women at the Time of Hospitalization.\",\"authors\":\"Ryosuke Arakaki, Wataru Isono, Hiroaki Fukuda, Junya Tanaka, Arisa Minamino, Shiko Hayashi\",\"doi\":\"10.18502/jfrh.v18i4.17410\",\"DOIUrl\":null,\"url\":null,\"abstract\":\"<p><strong>Objective: </strong>In Japan, the number of nulliparous pregnant women of advanced age, defined as 35 years or older, has increased, and the age range has lengthened towards older age with the increased use of infertility treatments. Given this trend, adverse labour outcomes, such as emergency caesarean delivery (ECD), are expected to increase. Therefore, by focusing mainly on maternal age and infertility treatment history, we aimed to establish a new prediction model for the likelihood of ECD after identifying the influencing factors related to maternal and labour-related characteristics.</p><p><strong>Materials and methods: </strong>The medical records of 1,521 pregnant women who were nulliparous between 2017/4/1 and 2024/3/31 at our hospital were retrospectively reviewed. First, for the 675 women who were aged 30 years old or more, we calculated the rates of ECD in 8 groups classified according to maternal age, infertility treatment, and other variables. Next, we performed multivariate logistic regression analysis to assess the effect of each representative factor and established a prediction model based on the number of factors that were significant in the multivariate analysis.</p><p><strong>Results: </strong>Simple comparisons classified by maternal age revealed a constant increase in the rate of ECD with increasing maternal age, and multivariate analysis revealed 7 significant factors, namely, advanced maternal age, history of using assisted reproductive techniques (ART), small height, high Body mass index (BMI), low Bishop score, late-term delivery, and large infant. In the prediction model constructed with these 7 factors, the rate of ECD increased as the number of these factors increased.</p><p><strong>Conclusion: </strong>The negative impact of advanced maternal age, namely, 40 years or older, and ART history, on labour outcome is clear. A new prediction model has the potential to identify patients with an extremely high probability of needing an ECD. These results may indicate that the management of the labour process will become more difficult in the future.</p>\",\"PeriodicalId\":15845,\"journal\":{\"name\":\"Journal of Family and Reproductive Health\",\"volume\":\"18 4\",\"pages\":\"217-225\"},\"PeriodicalIF\":0.0000,\"publicationDate\":\"2024-12-01\",\"publicationTypes\":\"Journal Article\",\"fieldsOfStudy\":null,\"isOpenAccess\":false,\"openAccessPdf\":\"https://www.ncbi.nlm.nih.gov/pmc/articles/PMC12056442/pdf/\",\"citationCount\":\"0\",\"resultStr\":null,\"platform\":\"Semanticscholar\",\"paperid\":null,\"PeriodicalName\":\"Journal of Family and Reproductive Health\",\"FirstCategoryId\":\"1085\",\"ListUrlMain\":\"https://doi.org/10.18502/jfrh.v18i4.17410\",\"RegionNum\":0,\"RegionCategory\":null,\"ArticlePicture\":[],\"TitleCN\":null,\"AbstractTextCN\":null,\"PMCID\":null,\"EPubDate\":\"\",\"PubModel\":\"\",\"JCR\":\"\",\"JCRName\":\"\",\"Score\":null,\"Total\":0}","platform":"Semanticscholar","paperid":null,"PeriodicalName":"Journal of Family and Reproductive Health","FirstCategoryId":"1085","ListUrlMain":"https://doi.org/10.18502/jfrh.v18i4.17410","RegionNum":0,"RegionCategory":null,"ArticlePicture":[],"TitleCN":null,"AbstractTextCN":null,"PMCID":null,"EPubDate":"","PubModel":"","JCR":"","JCRName":"","Score":null,"Total":0}
引用次数: 0

摘要

目的:在日本,高龄(定义为35岁或以上)未生育孕妇的数量有所增加,随着不孕症治疗的使用增加,年龄范围向高龄延伸。鉴于这一趋势,预计紧急剖腹产等不良分娩结果将会增加。因此,我们主要以产妇年龄和不孕症治疗史为研究对象,在确定与母婴相关特征相关的影响因素后,建立新的ECD可能性预测模型。材料与方法:回顾性分析我院2017年4月1日至2024年3月31日1521例未分娩孕妇的病历。首先,对于675名年龄在30岁及以上的妇女,我们根据产妇年龄、不孕症治疗和其他变量计算了8组的ECD发生率。接下来,我们进行多变量logistic回归分析,评估各代表性因素的影响,并根据多变量分析中显著因素的数量建立预测模型。结果:按产妇年龄分类的简单比较显示,随着产妇年龄的增加,ECD发生率不断升高,多因素分析显示,产妇年龄大、有辅助生殖技术(ART)史、身高小、体重指数(BMI)高、Bishop评分低、分娩晚、婴儿大等7个显著因素。在用这7个因素构建的预测模型中,ECD率随着这些因素数量的增加而增加。结论:高龄产妇(即40岁及以上)和ART史对分娩结局的负面影响是明确的。一种新的预测模型有可能识别出极有可能需要ECD的患者。这些结果可能表明,劳动过程的管理将在未来变得更加困难。
本文章由计算机程序翻译,如有差异,请以英文原文为准。

Influencing Factor Analysis and Prediction Model of Emergency Caesarean Delivery for Advanced-Age Nulliparous Women at the Time of Hospitalization.

Influencing Factor Analysis and Prediction Model of Emergency Caesarean Delivery for Advanced-Age Nulliparous Women at the Time of Hospitalization.

Influencing Factor Analysis and Prediction Model of Emergency Caesarean Delivery for Advanced-Age Nulliparous Women at the Time of Hospitalization.

Objective: In Japan, the number of nulliparous pregnant women of advanced age, defined as 35 years or older, has increased, and the age range has lengthened towards older age with the increased use of infertility treatments. Given this trend, adverse labour outcomes, such as emergency caesarean delivery (ECD), are expected to increase. Therefore, by focusing mainly on maternal age and infertility treatment history, we aimed to establish a new prediction model for the likelihood of ECD after identifying the influencing factors related to maternal and labour-related characteristics.

Materials and methods: The medical records of 1,521 pregnant women who were nulliparous between 2017/4/1 and 2024/3/31 at our hospital were retrospectively reviewed. First, for the 675 women who were aged 30 years old or more, we calculated the rates of ECD in 8 groups classified according to maternal age, infertility treatment, and other variables. Next, we performed multivariate logistic regression analysis to assess the effect of each representative factor and established a prediction model based on the number of factors that were significant in the multivariate analysis.

Results: Simple comparisons classified by maternal age revealed a constant increase in the rate of ECD with increasing maternal age, and multivariate analysis revealed 7 significant factors, namely, advanced maternal age, history of using assisted reproductive techniques (ART), small height, high Body mass index (BMI), low Bishop score, late-term delivery, and large infant. In the prediction model constructed with these 7 factors, the rate of ECD increased as the number of these factors increased.

Conclusion: The negative impact of advanced maternal age, namely, 40 years or older, and ART history, on labour outcome is clear. A new prediction model has the potential to identify patients with an extremely high probability of needing an ECD. These results may indicate that the management of the labour process will become more difficult in the future.

求助全文
通过发布文献求助,成功后即可免费获取论文全文。 去求助
来源期刊
自引率
0.00%
发文量
30
审稿时长
5 weeks
期刊介绍: The Journal of Family & Reproductive Health (JFRH) is the quarterly official journal of Vali–e–Asr Reproductive Health Research Center. This journal features fulllength, peerreviewed papers reporting original research, clinical case histories, review articles, as well as opinions and debates on topical issues. Papers published cover the scientific and medical aspects of reproductive physiology and pathology including genetics, endocrinology, andrology, embryology, gynecologic urology, fetomaternal medicine, oncology, infectious disease, public health, nutrition, surgery, menopause, family planning, infertility, psychiatry–psychology, demographic modeling, perinatalogy–neonatolgy ethics and social issues, and pharmacotherapy. A high scientific and editorial standard is maintained throughout the journal along with a regular rate of publication. All published articles will become the property of the JFRH. The editor and publisher accept no responsibility for the statements expressed by the authors here in. Also they do not guarantee, warrant or endorse any product or service advertised in the journal.
×
引用
GB/T 7714-2015
复制
MLA
复制
APA
复制
导出至
BibTeX EndNote RefMan NoteFirst NoteExpress
×
提示
您的信息不完整,为了账户安全,请先补充。
现在去补充
×
提示
您因"违规操作"
具体请查看互助需知
我知道了
×
提示
确定
请完成安全验证×
copy
已复制链接
快去分享给好友吧!
我知道了
右上角分享
点击右上角分享
0
联系我们:info@booksci.cn Book学术提供免费学术资源搜索服务,方便国内外学者检索中英文文献。致力于提供最便捷和优质的服务体验。 Copyright © 2023 布克学术 All rights reserved.
京ICP备2023020795号-1
ghs 京公网安备 11010802042870号
Book学术文献互助
Book学术文献互助群
群 号:604180095
Book学术官方微信