湿罐对早期接触氯气引起的反应性气道功能障碍综合征(RADS)的影响:一项随机临床试验

IF 2.2 Q3 CHEMISTRY, MEDICINAL
Khatereh Akbari Mashak, Khosro Agin, Elham Emaratkar, Mohammad Gholami Fesharaki, Hasan Namdar
{"title":"湿罐对早期接触氯气引起的反应性气道功能障碍综合征(RADS)的影响:一项随机临床试验","authors":"Khatereh Akbari Mashak, Khosro Agin, Elham Emaratkar, Mohammad Gholami Fesharaki, Hasan Namdar","doi":"10.22038/AJP.2024.25107","DOIUrl":null,"url":null,"abstract":"<p><strong>Objective: </strong>In the absence of targeted antidotes for chlorine gas poisoning, a common yet concerning problem, this study investigates the effect of Wet Cupping Therapy (WCT, or \"<i>Hijamat\"</i>) on the recovery process in chlorine-induced reactive airway dysfunction syndrome (RADS) patients.</p><p><strong>Materials and methods: </strong>This randomized controlled trial enrolled 24 patients experiencing acute inhalation of chlorine poisoning in Tehran, Iran (2020-2021). Patients were randomly divided into control (n=12, receiving conventional treatment) and intervention (n=12, receiving conventional treatment plus WCT) groups. Signs and symptoms were assessed pre-intervention, and in the first hour, first week, and first month post-intervention.</p><p><strong>Results: </strong>Medical records of 24 patients, including 3(12.5%) men and 21(87.5%) women, with a mean age of 42.92 years old, were evaluated. Baseline characteristics were similar between the groups. WCT significantly improved symptoms (dyspnea, cough, chest tightness, etc.) within the first hour (p=0.003) compared to the controls, with no future significant changes during the first week and first-month post-WCT. Comparison between the groups revealed substantial differences in the following variables: dyspnea scale (p=0.009), respiratory rate (p=0.026), cough (p=0.001), breath shortness (p=0.006), chest tightness (p=0.002), chest pain (p=0.010), substernal burning (p=0.015), throat sore (p=0.005) and hoarseness (p=0.027). Peak flow meter readings, reflecting lung function, were also significantly higher in the WCT group at all time-points (p<0.007).</p><p><strong>Conclusion: </strong>WCT may offer a rapid and sustained improvement in pulmonary and respiratory symptoms following acute chlorine inhalation injury.</p>","PeriodicalId":8677,"journal":{"name":"Avicenna Journal of Phytomedicine","volume":"15 2","pages":"997-1015"},"PeriodicalIF":2.2000,"publicationDate":"2025-01-01","publicationTypes":"Journal Article","fieldsOfStudy":null,"isOpenAccess":false,"openAccessPdf":"https://www.ncbi.nlm.nih.gov/pmc/articles/PMC12033015/pdf/","citationCount":"0","resultStr":"{\"title\":\"The effect of wet cupping on reactive airway dysfunction syndrome (RADS) caused by early exposure to chlorine gas: A randomized clinical trial.\",\"authors\":\"Khatereh Akbari Mashak, Khosro Agin, Elham Emaratkar, Mohammad Gholami Fesharaki, Hasan Namdar\",\"doi\":\"10.22038/AJP.2024.25107\",\"DOIUrl\":null,\"url\":null,\"abstract\":\"<p><strong>Objective: </strong>In the absence of targeted antidotes for chlorine gas poisoning, a common yet concerning problem, this study investigates the effect of Wet Cupping Therapy (WCT, or \\\"<i>Hijamat\\\"</i>) on the recovery process in chlorine-induced reactive airway dysfunction syndrome (RADS) patients.</p><p><strong>Materials and methods: </strong>This randomized controlled trial enrolled 24 patients experiencing acute inhalation of chlorine poisoning in Tehran, Iran (2020-2021). Patients were randomly divided into control (n=12, receiving conventional treatment) and intervention (n=12, receiving conventional treatment plus WCT) groups. Signs and symptoms were assessed pre-intervention, and in the first hour, first week, and first month post-intervention.</p><p><strong>Results: </strong>Medical records of 24 patients, including 3(12.5%) men and 21(87.5%) women, with a mean age of 42.92 years old, were evaluated. Baseline characteristics were similar between the groups. WCT significantly improved symptoms (dyspnea, cough, chest tightness, etc.) within the first hour (p=0.003) compared to the controls, with no future significant changes during the first week and first-month post-WCT. Comparison between the groups revealed substantial differences in the following variables: dyspnea scale (p=0.009), respiratory rate (p=0.026), cough (p=0.001), breath shortness (p=0.006), chest tightness (p=0.002), chest pain (p=0.010), substernal burning (p=0.015), throat sore (p=0.005) and hoarseness (p=0.027). Peak flow meter readings, reflecting lung function, were also significantly higher in the WCT group at all time-points (p<0.007).</p><p><strong>Conclusion: </strong>WCT may offer a rapid and sustained improvement in pulmonary and respiratory symptoms following acute chlorine inhalation injury.</p>\",\"PeriodicalId\":8677,\"journal\":{\"name\":\"Avicenna Journal of Phytomedicine\",\"volume\":\"15 2\",\"pages\":\"997-1015\"},\"PeriodicalIF\":2.2000,\"publicationDate\":\"2025-01-01\",\"publicationTypes\":\"Journal Article\",\"fieldsOfStudy\":null,\"isOpenAccess\":false,\"openAccessPdf\":\"https://www.ncbi.nlm.nih.gov/pmc/articles/PMC12033015/pdf/\",\"citationCount\":\"0\",\"resultStr\":null,\"platform\":\"Semanticscholar\",\"paperid\":null,\"PeriodicalName\":\"Avicenna Journal of Phytomedicine\",\"FirstCategoryId\":\"1085\",\"ListUrlMain\":\"https://doi.org/10.22038/AJP.2024.25107\",\"RegionNum\":0,\"RegionCategory\":null,\"ArticlePicture\":[],\"TitleCN\":null,\"AbstractTextCN\":null,\"PMCID\":null,\"EPubDate\":\"\",\"PubModel\":\"\",\"JCR\":\"Q3\",\"JCRName\":\"CHEMISTRY, MEDICINAL\",\"Score\":null,\"Total\":0}","platform":"Semanticscholar","paperid":null,"PeriodicalName":"Avicenna Journal of Phytomedicine","FirstCategoryId":"1085","ListUrlMain":"https://doi.org/10.22038/AJP.2024.25107","RegionNum":0,"RegionCategory":null,"ArticlePicture":[],"TitleCN":null,"AbstractTextCN":null,"PMCID":null,"EPubDate":"","PubModel":"","JCR":"Q3","JCRName":"CHEMISTRY, MEDICINAL","Score":null,"Total":0}
引用次数: 0

摘要

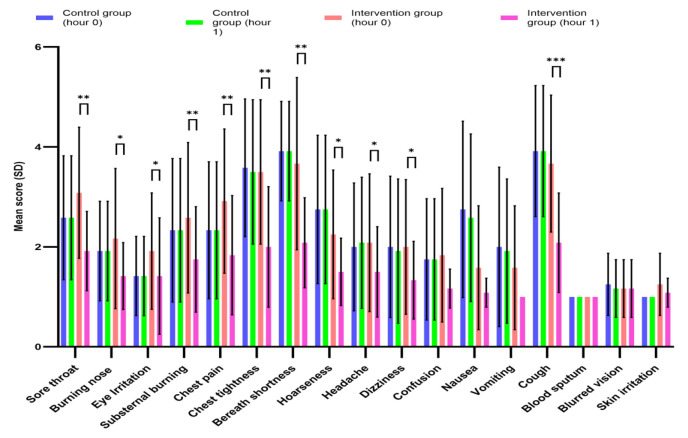
目的:在缺乏针对氯气中毒的靶向解毒剂的情况下,本研究探讨湿罐疗法(WCT,或“Hijamat”)对氯致反应性气道功能障碍综合征(RADS)患者康复过程的影响。材料与方法:本随机对照试验招募了伊朗德黑兰(2020-2021年)24例急性吸入氯中毒患者。将患者随机分为对照组(n=12,接受常规治疗)和干预组(n=12,接受常规治疗+ WCT)。在干预前、干预后第一个小时、第一周和第一个月评估体征和症状。结果:共收集病历24例,其中男性3例(12.5%),女性21例(87.5%),平均年龄42.92岁。两组的基线特征相似。与对照组相比,WCT在第一个小时内显著改善了症状(呼吸困难、咳嗽、胸闷等)(p=0.003),在WCT后的第一周和第一个月内无明显变化。组间比较显示,呼吸困难量表(p=0.009)、呼吸频率(p=0.026)、咳嗽(p=0.001)、呼吸短促(p=0.006)、胸闷(p=0.002)、胸痛(p=0.010)、胸骨下烧灼感(p=0.015)、喉咙痛(p=0.005)和声音嘶哑(p=0.027)等变量存在显著差异。在所有时间点,反映肺功能的峰值流量计读数在WCT组中也显着更高(结论:WCT可能对急性氯吸入性损伤后的肺部和呼吸道症状提供快速和持续的改善。
本文章由计算机程序翻译,如有差异,请以英文原文为准。

The effect of wet cupping on reactive airway dysfunction syndrome (RADS) caused by early exposure to chlorine gas: A randomized clinical trial.

The effect of wet cupping on reactive airway dysfunction syndrome (RADS) caused by early exposure to chlorine gas: A randomized clinical trial.

The effect of wet cupping on reactive airway dysfunction syndrome (RADS) caused by early exposure to chlorine gas: A randomized clinical trial.

The effect of wet cupping on reactive airway dysfunction syndrome (RADS) caused by early exposure to chlorine gas: A randomized clinical trial.

Objective: In the absence of targeted antidotes for chlorine gas poisoning, a common yet concerning problem, this study investigates the effect of Wet Cupping Therapy (WCT, or "Hijamat") on the recovery process in chlorine-induced reactive airway dysfunction syndrome (RADS) patients.

Materials and methods: This randomized controlled trial enrolled 24 patients experiencing acute inhalation of chlorine poisoning in Tehran, Iran (2020-2021). Patients were randomly divided into control (n=12, receiving conventional treatment) and intervention (n=12, receiving conventional treatment plus WCT) groups. Signs and symptoms were assessed pre-intervention, and in the first hour, first week, and first month post-intervention.

Results: Medical records of 24 patients, including 3(12.5%) men and 21(87.5%) women, with a mean age of 42.92 years old, were evaluated. Baseline characteristics were similar between the groups. WCT significantly improved symptoms (dyspnea, cough, chest tightness, etc.) within the first hour (p=0.003) compared to the controls, with no future significant changes during the first week and first-month post-WCT. Comparison between the groups revealed substantial differences in the following variables: dyspnea scale (p=0.009), respiratory rate (p=0.026), cough (p=0.001), breath shortness (p=0.006), chest tightness (p=0.002), chest pain (p=0.010), substernal burning (p=0.015), throat sore (p=0.005) and hoarseness (p=0.027). Peak flow meter readings, reflecting lung function, were also significantly higher in the WCT group at all time-points (p<0.007).

Conclusion: WCT may offer a rapid and sustained improvement in pulmonary and respiratory symptoms following acute chlorine inhalation injury.

求助全文
通过发布文献求助,成功后即可免费获取论文全文。 去求助
来源期刊
Avicenna Journal of Phytomedicine
Avicenna Journal of Phytomedicine CHEMISTRY, MEDICINAL-
CiteScore
3.40
自引率
4.50%
发文量
17
审稿时长
6 weeks
×
引用
GB/T 7714-2015
复制
MLA
复制
APA
复制
导出至
BibTeX EndNote RefMan NoteFirst NoteExpress
×
提示
您的信息不完整,为了账户安全,请先补充。
现在去补充
×
提示
您因"违规操作"
具体请查看互助需知
我知道了
×
提示
确定
请完成安全验证×
copy
已复制链接
快去分享给好友吧!
我知道了
右上角分享
点击右上角分享
0
联系我们:info@booksci.cn Book学术提供免费学术资源搜索服务,方便国内外学者检索中英文文献。致力于提供最便捷和优质的服务体验。 Copyright © 2023 布克学术 All rights reserved.
京ICP备2023020795号-1
ghs 京公网安备 11010802042870号
Book学术文献互助
Book学术文献互助群
群 号:604180095
Book学术官方微信