抗体检测凝集- pcr (ADAP)技术检测全血中胰岛自身抗体灵敏,适用于一般人群筛查。

IF 5.6 3区 医学 Q2 ENDOCRINOLOGY & METABOLISM
Pediatric Diabetes Pub Date : 2024-03-14 eCollection Date: 2024-01-01 DOI:10.1155/2024/4238394
Tal Oron, Felipe de Jesus Cortez, Biana Shtaif, Peter V Robinson, Michal Yackobovitch-Gavan, Devangkumar Tandel, David Seftel, Moshe Phillip, Cheng-Ting Tsai, Galia Gat-Yablonski
{"title":"抗体检测凝集- pcr (ADAP)技术检测全血中胰岛自身抗体灵敏,适用于一般人群筛查。","authors":"Tal Oron, Felipe de Jesus Cortez, Biana Shtaif, Peter V Robinson, Michal Yackobovitch-Gavan, Devangkumar Tandel, David Seftel, Moshe Phillip, Cheng-Ting Tsai, Galia Gat-Yablonski","doi":"10.1155/2024/4238394","DOIUrl":null,"url":null,"abstract":"<p><strong>Background: </strong>Detection of type 1 diabetes (T1D) at the preclinical stage is possible by detecting islet autoantibodies (IAs) years before the appearance of symptomatic diabetes. The Antibody Detection Israeli Research is a general population screening program searching for children with multiple IAs who are at risk of developing T1D. IAs are measured in capillary or venous whole blood (WB) samples using the novel ultrasensitive antibody detection by agglutination-PCR (ADAP) technology.</p><p><strong>Objective: </strong>To assess the accuracy and reliability of the ADAP assay in venous and capillary WB.</p><p><strong>Materials and methods: </strong>In total, 50 children with T1D and 50 healthy controls participated in the study. Venous and capillary blood samples were drawn from participants with T1D, while only venous blood was drawn from the controls. The ADAP assay in venous and capillary blood was compared to the currently used assays in their ability to detect glutamic acid decarboxylase (GADA), islet antigen-2 (IA-2A), and insulin autoantibodies (IAAs).</p><p><strong>Results: </strong>The area under the curve using the receiver operating characteristic curves was comparable between the ADAP assay in WB and standard enzyme-linked immunosorbent assay (ELISA)/radioimmunoassay (RIA) for all three IAs GADA 0.946 (95% CI: 0.900-0.991) vs. 0.949 (0.906-0.992), <i>P</i>=0.873; IA-2A 0.747 (0.649-0.844) vs. 0.666 (0.587-0.744), <i>P</i>=0.106; IAA 1.000 (1.000-1.000) vs. 1.000 (1.000-1.000), <i>P</i>=1.000. The correlation between the levels of IA in venous and capillary WB using ADAP was <i>R</i> <sup>2</sup> = 0.958 (<i>P</i>  < 0.01), <i>R</i> <sup>2</sup> = 0.943 (<i>P</i>  < 0.01), and <i>R</i> <sup>2</sup> = 0.711 (<i>P</i>  < 0.01) for GADA, IA-2A, and IAA, respectively. IA levels in venous and capillary WB using ADAP were comparable without a proportional bias in Bland-Altman's plots of agreement, suggesting the two methods may be used interchangeably.</p><p><strong>Conclusions: </strong>The ADAP assay is reliable in detecting IA in venous and capillary WB samples with comparable performance to standard RIA and ELISA. These findings open avenues for widespread use of the ADAP assay in future general population screening programs to detect children at risk of developing T1D.</p>","PeriodicalId":19797,"journal":{"name":"Pediatric Diabetes","volume":"2024 ","pages":"4238394"},"PeriodicalIF":5.6000,"publicationDate":"2024-03-14","publicationTypes":"Journal Article","fieldsOfStudy":null,"isOpenAccess":false,"openAccessPdf":"https://www.ncbi.nlm.nih.gov/pmc/articles/PMC12016989/pdf/","citationCount":"0","resultStr":"{\"title\":\"Detection of Islet Autoantibodies in Whole Blood by Antibody Detection by Agglutination-PCR (ADAP) Technology Is Sensitive and Suitable for General Population Screening Programs.\",\"authors\":\"Tal Oron, Felipe de Jesus Cortez, Biana Shtaif, Peter V Robinson, Michal Yackobovitch-Gavan, Devangkumar Tandel, David Seftel, Moshe Phillip, Cheng-Ting Tsai, Galia Gat-Yablonski\",\"doi\":\"10.1155/2024/4238394\",\"DOIUrl\":null,\"url\":null,\"abstract\":\"<p><strong>Background: </strong>Detection of type 1 diabetes (T1D) at the preclinical stage is possible by detecting islet autoantibodies (IAs) years before the appearance of symptomatic diabetes. The Antibody Detection Israeli Research is a general population screening program searching for children with multiple IAs who are at risk of developing T1D. IAs are measured in capillary or venous whole blood (WB) samples using the novel ultrasensitive antibody detection by agglutination-PCR (ADAP) technology.</p><p><strong>Objective: </strong>To assess the accuracy and reliability of the ADAP assay in venous and capillary WB.</p><p><strong>Materials and methods: </strong>In total, 50 children with T1D and 50 healthy controls participated in the study. Venous and capillary blood samples were drawn from participants with T1D, while only venous blood was drawn from the controls. The ADAP assay in venous and capillary blood was compared to the currently used assays in their ability to detect glutamic acid decarboxylase (GADA), islet antigen-2 (IA-2A), and insulin autoantibodies (IAAs).</p><p><strong>Results: </strong>The area under the curve using the receiver operating characteristic curves was comparable between the ADAP assay in WB and standard enzyme-linked immunosorbent assay (ELISA)/radioimmunoassay (RIA) for all three IAs GADA 0.946 (95% CI: 0.900-0.991) vs. 0.949 (0.906-0.992), <i>P</i>=0.873; IA-2A 0.747 (0.649-0.844) vs. 0.666 (0.587-0.744), <i>P</i>=0.106; IAA 1.000 (1.000-1.000) vs. 1.000 (1.000-1.000), <i>P</i>=1.000. The correlation between the levels of IA in venous and capillary WB using ADAP was <i>R</i> <sup>2</sup> = 0.958 (<i>P</i>  < 0.01), <i>R</i> <sup>2</sup> = 0.943 (<i>P</i>  < 0.01), and <i>R</i> <sup>2</sup> = 0.711 (<i>P</i>  < 0.01) for GADA, IA-2A, and IAA, respectively. IA levels in venous and capillary WB using ADAP were comparable without a proportional bias in Bland-Altman's plots of agreement, suggesting the two methods may be used interchangeably.</p><p><strong>Conclusions: </strong>The ADAP assay is reliable in detecting IA in venous and capillary WB samples with comparable performance to standard RIA and ELISA. These findings open avenues for widespread use of the ADAP assay in future general population screening programs to detect children at risk of developing T1D.</p>\",\"PeriodicalId\":19797,\"journal\":{\"name\":\"Pediatric Diabetes\",\"volume\":\"2024 \",\"pages\":\"4238394\"},\"PeriodicalIF\":5.6000,\"publicationDate\":\"2024-03-14\",\"publicationTypes\":\"Journal Article\",\"fieldsOfStudy\":null,\"isOpenAccess\":false,\"openAccessPdf\":\"https://www.ncbi.nlm.nih.gov/pmc/articles/PMC12016989/pdf/\",\"citationCount\":\"0\",\"resultStr\":null,\"platform\":\"Semanticscholar\",\"paperid\":null,\"PeriodicalName\":\"Pediatric Diabetes\",\"FirstCategoryId\":\"3\",\"ListUrlMain\":\"https://doi.org/10.1155/2024/4238394\",\"RegionNum\":3,\"RegionCategory\":\"医学\",\"ArticlePicture\":[],\"TitleCN\":null,\"AbstractTextCN\":null,\"PMCID\":null,\"EPubDate\":\"2024/1/1 0:00:00\",\"PubModel\":\"eCollection\",\"JCR\":\"Q2\",\"JCRName\":\"ENDOCRINOLOGY & METABOLISM\",\"Score\":null,\"Total\":0}","platform":"Semanticscholar","paperid":null,"PeriodicalName":"Pediatric Diabetes","FirstCategoryId":"3","ListUrlMain":"https://doi.org/10.1155/2024/4238394","RegionNum":3,"RegionCategory":"医学","ArticlePicture":[],"TitleCN":null,"AbstractTextCN":null,"PMCID":null,"EPubDate":"2024/1/1 0:00:00","PubModel":"eCollection","JCR":"Q2","JCRName":"ENDOCRINOLOGY & METABOLISM","Score":null,"Total":0}
引用次数: 0

摘要

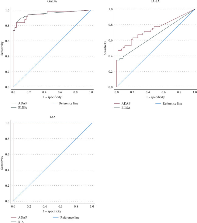
背景:在临床前阶段通过检测胰岛自身抗体(IAs)可以在症状性糖尿病出现前几年检测1型糖尿病(T1D)。抗体检测以色列研究是一个普通人群筛查项目,寻找有发展为T1D风险的多重IAs儿童。利用新型超灵敏抗体凝集- pcr (ADAP)技术检测毛细管或静脉全血(WB)样本中的IAs。目的:评价ADAP法测定静脉和毛细血管WB的准确性和可靠性。材料与方法:共50例T1D患儿和50例健康对照者参与研究。从T1D患者身上抽取静脉血和毛细血管血,而对照组只抽取静脉血。在检测谷氨酸脱羧酶(GADA)、胰岛抗原-2 (IA-2A)和胰岛素自身抗体(IAAs)的能力方面,将静脉和毛细血管血液中的ADAP测定法与目前使用的测定法进行了比较。结果:使用受试者工作特征曲线的曲线下面积在WB中ADAP法与标准酶联免疫吸附法(ELISA)/放射免疫分析法(RIA)中具有可比性:GADA为0.946 (95% CI: 0.900 ~ 0.991)比0.949 (0.906 ~ 0.992),P=0.873;IA-2A 0.747(0.649 - -0.844)和0.666 (0.587 - -0.744),P = 0.106;IAA 1.000 (1.000-1.000) vs. 1.000 (1.000-1.000), P=1.000。应用ADAP测定GADA、IA- 2a和IAA的静脉IA水平与毛细血管WB的相关性分别为r2 = 0.958 (P < 0.01)、r2 = 0.943 (P < 0.01)和r2 = 0.711 (P < 0.01)。在Bland-Altman的一致性图中,ADAP在静脉和毛细血管WB中的IA水平具有可比性,没有比例偏差,表明这两种方法可以互换使用。结论:ADAP法检测静脉和毛细血管WB样品中IA可靠,性能与标准RIA和ELISA相当。这些发现为在未来的普通人群筛查项目中广泛使用ADAP检测方法来检测有患T1D风险的儿童开辟了道路。
本文章由计算机程序翻译,如有差异,请以英文原文为准。

Detection of Islet Autoantibodies in Whole Blood by Antibody Detection by Agglutination-PCR (ADAP) Technology Is Sensitive and Suitable for General Population Screening Programs.

Detection of Islet Autoantibodies in Whole Blood by Antibody Detection by Agglutination-PCR (ADAP) Technology Is Sensitive and Suitable for General Population Screening Programs.

Detection of Islet Autoantibodies in Whole Blood by Antibody Detection by Agglutination-PCR (ADAP) Technology Is Sensitive and Suitable for General Population Screening Programs.

Detection of Islet Autoantibodies in Whole Blood by Antibody Detection by Agglutination-PCR (ADAP) Technology Is Sensitive and Suitable for General Population Screening Programs.

Background: Detection of type 1 diabetes (T1D) at the preclinical stage is possible by detecting islet autoantibodies (IAs) years before the appearance of symptomatic diabetes. The Antibody Detection Israeli Research is a general population screening program searching for children with multiple IAs who are at risk of developing T1D. IAs are measured in capillary or venous whole blood (WB) samples using the novel ultrasensitive antibody detection by agglutination-PCR (ADAP) technology.

Objective: To assess the accuracy and reliability of the ADAP assay in venous and capillary WB.

Materials and methods: In total, 50 children with T1D and 50 healthy controls participated in the study. Venous and capillary blood samples were drawn from participants with T1D, while only venous blood was drawn from the controls. The ADAP assay in venous and capillary blood was compared to the currently used assays in their ability to detect glutamic acid decarboxylase (GADA), islet antigen-2 (IA-2A), and insulin autoantibodies (IAAs).

Results: The area under the curve using the receiver operating characteristic curves was comparable between the ADAP assay in WB and standard enzyme-linked immunosorbent assay (ELISA)/radioimmunoassay (RIA) for all three IAs GADA 0.946 (95% CI: 0.900-0.991) vs. 0.949 (0.906-0.992), P=0.873; IA-2A 0.747 (0.649-0.844) vs. 0.666 (0.587-0.744), P=0.106; IAA 1.000 (1.000-1.000) vs. 1.000 (1.000-1.000), P=1.000. The correlation between the levels of IA in venous and capillary WB using ADAP was R 2 = 0.958 (P  < 0.01), R 2 = 0.943 (P  < 0.01), and R 2 = 0.711 (P  < 0.01) for GADA, IA-2A, and IAA, respectively. IA levels in venous and capillary WB using ADAP were comparable without a proportional bias in Bland-Altman's plots of agreement, suggesting the two methods may be used interchangeably.

Conclusions: The ADAP assay is reliable in detecting IA in venous and capillary WB samples with comparable performance to standard RIA and ELISA. These findings open avenues for widespread use of the ADAP assay in future general population screening programs to detect children at risk of developing T1D.

求助全文
通过发布文献求助,成功后即可免费获取论文全文。 去求助
来源期刊
Pediatric Diabetes
Pediatric Diabetes 医学-内分泌学与代谢
CiteScore
6.60
自引率
14.70%
发文量
141
审稿时长
4-8 weeks
期刊介绍: Pediatric Diabetes is a bi-monthly journal devoted to disseminating new knowledge relating to the epidemiology, etiology, pathogenesis, management, complications and prevention of diabetes in childhood and adolescence. The aim of the journal is to become the leading vehicle for international dissemination of research and practice relating to diabetes in youth. Papers are considered for publication based on the rigor of scientific approach, novelty, and importance for understanding mechanisms involved in the epidemiology and etiology of this disease, especially its molecular, biochemical and physiological aspects. Work relating to the clinical presentation, course, management and outcome of diabetes, including its physical and emotional sequelae, is considered. In vitro studies using animal or human tissues, whole animal and clinical studies in humans are also considered. The journal reviews full-length papers, preliminary communications with important new information, clinical reports, and reviews of major topics. Invited editorials, commentaries, and perspectives are a regular feature. The editors, based in the USA, Europe, and Australasia, maintain regular communications to assure rapid turnaround time of submitted manuscripts.
×
引用
GB/T 7714-2015
复制
MLA
复制
APA
复制
导出至
BibTeX EndNote RefMan NoteFirst NoteExpress
×
提示
您的信息不完整,为了账户安全,请先补充。
现在去补充
×
提示
您因"违规操作"
具体请查看互助需知
我知道了
×
提示
确定
请完成安全验证×
copy
已复制链接
快去分享给好友吧!
我知道了
右上角分享
点击右上角分享
0
联系我们:info@booksci.cn Book学术提供免费学术资源搜索服务,方便国内外学者检索中英文文献。致力于提供最便捷和优质的服务体验。 Copyright © 2023 布克学术 All rights reserved.
京ICP备2023020795号-1
ghs 京公网安备 11010802042870号
Book学术文献互助
Book学术文献互助群
群 号:604180095
Book学术官方微信