马伐卡坦对中国梗阻性肥厚性心肌病患者超声心动图特征的影响:来自EXPLORER-CN研究的结果

IF 2.7 Q2 CARDIAC & CARDIOVASCULAR SYSTEMS
Cardiology and Therapy Pub Date : 2025-06-01 Epub Date: 2025-04-29 DOI:10.1007/s40119-025-00409-5
Zhuang Tian, Xiaoyan Li, Liwen Li, Qing Zhang, Jian'an Wang, Yunqi Shi, Daoquan Peng, Ping Yang, Wei Ma, Fang Wang, Wei Jin, Xiang Cheng, Yu-Mao Chen, Yue Zhong, Yu Chen Barrett, Jing Zheng, Shuyang Zhang
{"title":"马伐卡坦对中国梗阻性肥厚性心肌病患者超声心动图特征的影响:来自EXPLORER-CN研究的结果","authors":"Zhuang Tian, Xiaoyan Li, Liwen Li, Qing Zhang, Jian'an Wang, Yunqi Shi, Daoquan Peng, Ping Yang, Wei Ma, Fang Wang, Wei Jin, Xiang Cheng, Yu-Mao Chen, Yue Zhong, Yu Chen Barrett, Jing Zheng, Shuyang Zhang","doi":"10.1007/s40119-025-00409-5","DOIUrl":null,"url":null,"abstract":"<p><strong>Introduction: </strong>Mavacamten, a cardiac myosin inhibitor, has demonstrated positive outcomes in left ventricular outflow tract (LVOT) gradient reduction and improvements of symptoms and function in Chinese patients with symptomatic obstructive hypertrophic cardiomyopathy (HCM) in EXPLORER-CN. This exploratory analysis aimed to evaluate the effect of mavacamten on echocardiographic measures of cardiac structure and function and its relationship with other clinical biomarkers.</p><p><strong>Methods: </strong>Key echocardiographic parameters acquired over 30 weeks from 81 patients (n = 54 on mavacamten and n = 27 on placebo) were assessed in a central laboratory.</p><p><strong>Results: </strong>At 30 weeks, greater improvements in measures of diastolic function were observed with mavacamten versus placebo, including lateral E/e' (least-squares mean [LSM] change from baseline [CFB] - 5.1 vs. 0.6; between-group LSM difference - 5.7; 95% confidence interval [CI] - 7.6 to - 3.7), septal E/e' (LSM CFB - 6.0 vs. - 0.3; between-group LSM difference - 5.7; 95% CI - 7.8 to - 3.7), and left atrial volume index (LAVI) (LSM CFB - 11.7 vs. - 3.5 ml/m<sup>2</sup>; between-group LSM difference - 8.2; 95% CI - 12.0 to - 4.4) (nominal p < 0.001 for all). Twelve patients (23.1%) treated with mavacamten had complete resolution of mitral valve systolic anterior motion (SAM) versus two patients (7.4%) receiving placebo. Among mavacamten-treated patients, reductions in resting and Valsalva LVOT gradients, left ventricular (LV) mass index, LAVI, and lateral and septal E/e' were associated with reduced N-terminal pro-B-type natriuretic peptide levels (nominal p < 0.0001 for all). In the mavacamten group, reductions in LVOT gradients and LV end-diastolic interventricular septal thickness were associated with improved patient-reported Kansas City Cardiomyopathy Questionnaire Overall Summary Score (nominal p < 0.05 for all).</p><p><strong>Conclusions: </strong>Clinically meaningful improvements were evident in Chinese patients treated with mavacamten compared with placebo in several hallmarks of obstructive HCM, including measures of LV diastolic function, SAM, and LVOT gradient. These results add further evidence to support the positive effects of mavacamten in cardiac remodeling.</p><p><strong>Registration: </strong>ClinicalTrials.gov identifier: NCT05174416.</p>","PeriodicalId":9561,"journal":{"name":"Cardiology and Therapy","volume":" ","pages":"267-282"},"PeriodicalIF":2.7000,"publicationDate":"2025-06-01","publicationTypes":"Journal Article","fieldsOfStudy":null,"isOpenAccess":false,"openAccessPdf":"https://www.ncbi.nlm.nih.gov/pmc/articles/PMC12084482/pdf/","citationCount":"0","resultStr":"{\"title\":\"Effect of Mavacamten on Echocardiographic Features in Chinese Patients with Obstructive Hypertrophic Cardiomyopathy: Results from the EXPLORER-CN Study.\",\"authors\":\"Zhuang Tian, Xiaoyan Li, Liwen Li, Qing Zhang, Jian'an Wang, Yunqi Shi, Daoquan Peng, Ping Yang, Wei Ma, Fang Wang, Wei Jin, Xiang Cheng, Yu-Mao Chen, Yue Zhong, Yu Chen Barrett, Jing Zheng, Shuyang Zhang\",\"doi\":\"10.1007/s40119-025-00409-5\",\"DOIUrl\":null,\"url\":null,\"abstract\":\"<p><strong>Introduction: </strong>Mavacamten, a cardiac myosin inhibitor, has demonstrated positive outcomes in left ventricular outflow tract (LVOT) gradient reduction and improvements of symptoms and function in Chinese patients with symptomatic obstructive hypertrophic cardiomyopathy (HCM) in EXPLORER-CN. This exploratory analysis aimed to evaluate the effect of mavacamten on echocardiographic measures of cardiac structure and function and its relationship with other clinical biomarkers.</p><p><strong>Methods: </strong>Key echocardiographic parameters acquired over 30 weeks from 81 patients (n = 54 on mavacamten and n = 27 on placebo) were assessed in a central laboratory.</p><p><strong>Results: </strong>At 30 weeks, greater improvements in measures of diastolic function were observed with mavacamten versus placebo, including lateral E/e' (least-squares mean [LSM] change from baseline [CFB] - 5.1 vs. 0.6; between-group LSM difference - 5.7; 95% confidence interval [CI] - 7.6 to - 3.7), septal E/e' (LSM CFB - 6.0 vs. - 0.3; between-group LSM difference - 5.7; 95% CI - 7.8 to - 3.7), and left atrial volume index (LAVI) (LSM CFB - 11.7 vs. - 3.5 ml/m<sup>2</sup>; between-group LSM difference - 8.2; 95% CI - 12.0 to - 4.4) (nominal p < 0.001 for all). Twelve patients (23.1%) treated with mavacamten had complete resolution of mitral valve systolic anterior motion (SAM) versus two patients (7.4%) receiving placebo. Among mavacamten-treated patients, reductions in resting and Valsalva LVOT gradients, left ventricular (LV) mass index, LAVI, and lateral and septal E/e' were associated with reduced N-terminal pro-B-type natriuretic peptide levels (nominal p < 0.0001 for all). In the mavacamten group, reductions in LVOT gradients and LV end-diastolic interventricular septal thickness were associated with improved patient-reported Kansas City Cardiomyopathy Questionnaire Overall Summary Score (nominal p < 0.05 for all).</p><p><strong>Conclusions: </strong>Clinically meaningful improvements were evident in Chinese patients treated with mavacamten compared with placebo in several hallmarks of obstructive HCM, including measures of LV diastolic function, SAM, and LVOT gradient. These results add further evidence to support the positive effects of mavacamten in cardiac remodeling.</p><p><strong>Registration: </strong>ClinicalTrials.gov identifier: NCT05174416.</p>\",\"PeriodicalId\":9561,\"journal\":{\"name\":\"Cardiology and Therapy\",\"volume\":\" \",\"pages\":\"267-282\"},\"PeriodicalIF\":2.7000,\"publicationDate\":\"2025-06-01\",\"publicationTypes\":\"Journal Article\",\"fieldsOfStudy\":null,\"isOpenAccess\":false,\"openAccessPdf\":\"https://www.ncbi.nlm.nih.gov/pmc/articles/PMC12084482/pdf/\",\"citationCount\":\"0\",\"resultStr\":null,\"platform\":\"Semanticscholar\",\"paperid\":null,\"PeriodicalName\":\"Cardiology and Therapy\",\"FirstCategoryId\":\"1085\",\"ListUrlMain\":\"https://doi.org/10.1007/s40119-025-00409-5\",\"RegionNum\":0,\"RegionCategory\":null,\"ArticlePicture\":[],\"TitleCN\":null,\"AbstractTextCN\":null,\"PMCID\":null,\"EPubDate\":\"2025/4/29 0:00:00\",\"PubModel\":\"Epub\",\"JCR\":\"Q2\",\"JCRName\":\"CARDIAC & CARDIOVASCULAR SYSTEMS\",\"Score\":null,\"Total\":0}","platform":"Semanticscholar","paperid":null,"PeriodicalName":"Cardiology and Therapy","FirstCategoryId":"1085","ListUrlMain":"https://doi.org/10.1007/s40119-025-00409-5","RegionNum":0,"RegionCategory":null,"ArticlePicture":[],"TitleCN":null,"AbstractTextCN":null,"PMCID":null,"EPubDate":"2025/4/29 0:00:00","PubModel":"Epub","JCR":"Q2","JCRName":"CARDIAC & CARDIOVASCULAR SYSTEMS","Score":null,"Total":0}
引用次数: 0

摘要

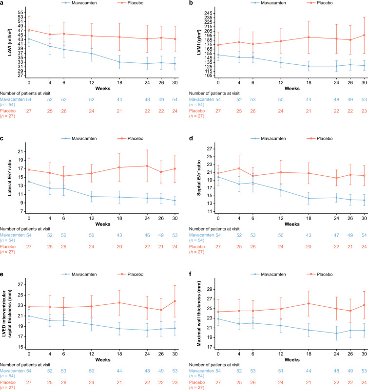
马伐卡坦是一种心肌肌凝蛋白抑制剂,在中国症候性梗阻性肥厚性心肌病(HCM)患者中显示出左心室流出道(LVOT)梯度降低和症状和功能改善的阳性结果。本探索性分析旨在评估马伐卡坦对心脏结构和功能超声心动图测量的影响及其与其他临床生物标志物的关系。方法:在中心实验室对81例患者(54例使用马伐卡坦,27例使用安慰剂)30周内获得的关键超声心动图参数进行评估。结果:在30周时,与安慰剂相比,马伐卡坦在舒张功能测量方面有更大的改善,包括侧侧E/ E '(最小二乘平均[LSM]变化从基线[CFB] - 5.1 vs. 0.6;组间LSM差异- 5.7;95%可信区间[CI] - 7.6 - 3.7),间隔E / E”(LSM CFB - 6.0和- 0.3;组间LSM差异- 5.7;95% CI - 7.8 ~ - 3.7),左房容积指数(LAVI) (LSM CFB - 11.7 vs - 3.5 ml/m2;组间LSM差- 8.2;结论:与安慰剂相比,接受马伐卡坦治疗的中国患者在梗阻性HCM的几个指标上有明显的临床意义改善,包括左室舒张功能、SAM和LVOT梯度的测量。这些结果进一步证明了马伐卡坦对心脏重塑的积极作用。注册:ClinicalTrials.gov标识符:NCT05174416。
本文章由计算机程序翻译,如有差异,请以英文原文为准。

Effect of Mavacamten on Echocardiographic Features in Chinese Patients with Obstructive Hypertrophic Cardiomyopathy: Results from the EXPLORER-CN Study.

Effect of Mavacamten on Echocardiographic Features in Chinese Patients with Obstructive Hypertrophic Cardiomyopathy: Results from the EXPLORER-CN Study.

Effect of Mavacamten on Echocardiographic Features in Chinese Patients with Obstructive Hypertrophic Cardiomyopathy: Results from the EXPLORER-CN Study.

Introduction: Mavacamten, a cardiac myosin inhibitor, has demonstrated positive outcomes in left ventricular outflow tract (LVOT) gradient reduction and improvements of symptoms and function in Chinese patients with symptomatic obstructive hypertrophic cardiomyopathy (HCM) in EXPLORER-CN. This exploratory analysis aimed to evaluate the effect of mavacamten on echocardiographic measures of cardiac structure and function and its relationship with other clinical biomarkers.

Methods: Key echocardiographic parameters acquired over 30 weeks from 81 patients (n = 54 on mavacamten and n = 27 on placebo) were assessed in a central laboratory.

Results: At 30 weeks, greater improvements in measures of diastolic function were observed with mavacamten versus placebo, including lateral E/e' (least-squares mean [LSM] change from baseline [CFB] - 5.1 vs. 0.6; between-group LSM difference - 5.7; 95% confidence interval [CI] - 7.6 to - 3.7), septal E/e' (LSM CFB - 6.0 vs. - 0.3; between-group LSM difference - 5.7; 95% CI - 7.8 to - 3.7), and left atrial volume index (LAVI) (LSM CFB - 11.7 vs. - 3.5 ml/m2; between-group LSM difference - 8.2; 95% CI - 12.0 to - 4.4) (nominal p < 0.001 for all). Twelve patients (23.1%) treated with mavacamten had complete resolution of mitral valve systolic anterior motion (SAM) versus two patients (7.4%) receiving placebo. Among mavacamten-treated patients, reductions in resting and Valsalva LVOT gradients, left ventricular (LV) mass index, LAVI, and lateral and septal E/e' were associated with reduced N-terminal pro-B-type natriuretic peptide levels (nominal p < 0.0001 for all). In the mavacamten group, reductions in LVOT gradients and LV end-diastolic interventricular septal thickness were associated with improved patient-reported Kansas City Cardiomyopathy Questionnaire Overall Summary Score (nominal p < 0.05 for all).

Conclusions: Clinically meaningful improvements were evident in Chinese patients treated with mavacamten compared with placebo in several hallmarks of obstructive HCM, including measures of LV diastolic function, SAM, and LVOT gradient. These results add further evidence to support the positive effects of mavacamten in cardiac remodeling.

Registration: ClinicalTrials.gov identifier: NCT05174416.

求助全文
通过发布文献求助,成功后即可免费获取论文全文。 去求助
来源期刊
Cardiology and Therapy
Cardiology and Therapy CARDIAC & CARDIOVASCULAR SYSTEMS-
CiteScore
5.30
自引率
0.00%
发文量
38
审稿时长
6 weeks
期刊介绍: Aims and Scope Cardiology and Therapy is an international, open access, peer reviewed (single-blind), rapid-publication journal dedicated to the publication of high-quality clinical (all phases), observational, real-world, and health outcomes research around the discovery, development, and use of cardiovascular therapies and interventions, including devices. Studies relating to diagnosis and diagnostics, pharmacoeconomics, public health, quality of life, as well as patient care, management and education are also encouraged. Areas of focus include, but are not limited to, ischaemic heart disease and acute cardiac care, myocardial, valvular, pericardial and congenital heart disease, vascular and pulmonary disease (including hypertension), arrhythmias, heart failure, non-invasive diagnostic techniques, and invasive and interventional cardiology as well as cardiovascular surgery. The journal is of interest to a broad audience of pharmaceutical and healthcare professionals and publishes original research, reviews, case reports/case series, trial protocols and short communications such as commentaries and editorials. Cardiolology and Therapy will consider all scientifically sound research be it positive, confirmatory or negative data. Submissions are welcomed whether they relate to an international and/or a country-specific audience, something that is crucially important when researchers are trying to target more specific patient populations. This inclusive approach allows the journal to assist in the dissemination of quality research, which may be considered of insufficient interest by other journals. Rapid Publication The journal’s publication timelines aim for a rapid peer review of 2 weeks. If an article is accepted it will be published 3–4 weeks from acceptance. The rapid timelines are achieved through the combination of a dedicated in-house editorial team, who manage article workflow, and an extensive Editorial and Advisory Board who assist with peer review. This allows the journal to support the rapid dissemination of research, whilst still providing robust peer review. Combined with the journal’s open access model this allows for the rapid, efficient communication of the latest research and reviews, fostering the advancement of cardiovascular therapies. Personal Service The journal’s dedicated in-house editorial team offer a personal “concierge service” meaning authors will always have an editorial contact able to update them on the status of their manuscript. The editorial team check all manuscripts to ensure that articles conform to the most recent COPE, GPP and ICMJE publishing guidelines. This supports the publication of ethically sound and transparent research. Digital Features and Plain Language Summaries Cardiology and Therapy offers a range of additional features designed to increase the visibility, readership and educational value of the journal’s content. Each article is accompanied by key summary points, giving a time-efficient overview of the content to a wide readership. Articles may be accompanied by plain language summaries to assist readers who have some knowledge of, but not in-depth expertise in, the area to understand the scientific content and overall implications of the article. The journal also provides the option to include various types of digital features including animated abstracts, video abstracts, slide decks, audio slides, instructional videos, infographics, podcasts and animations. All additional features are peer reviewed to the same high standard as the article itself. If you consider that your paper would benefit from the inclusion of a digital feature, please let us know. Our editorial team are able to create high-quality slide decks and infographics in-house, and video abstracts through our partner Research Square, and would be happy to assist in any way we can. For further information about digital features, please contact the journal editor (see ‘Contact the Journal’ for email address), and see the ‘Guidelines for digital features and plain language summaries’ document under ‘Submission guidelines’. For examples of digital features please visit our showcase page https://springerhealthcare.com/expertise/publishing-digital-features/ Publication Fees Upon acceptance of your article for publication, authors will be required to pay the mandatory Rapid Service Fee of £3650/€4500/$5100. The journal will consider fee discounts for developing countries and this is decided on a case by case basis. Open Access All articles published by Cardiology and Therapy are published open access. Peer Review Process Upon submission, manuscripts are assessed by the editorial team to ensure they fit within the aims and scope of the journal and are also checked for plagiarism. All suitable submissions are then subject to a comprehensive single-blind peer review. Reviewers are selected based on their relevant expertise and publication history in the subject area. The journal has an extensive pool of editorial and advisory board members who have been selected to assist with peer review based on the afore-mentioned criteria. At least two extensive reviews are required to make the editorial decision, with the exception of some article types such as Commentaries, Editorials and Letters which are generally reviewed by one member of the Editorial Board. Where reviewer recommendations are conflicted, the editorial board will be contacted for further advice and a presiding decision. Manuscripts are then either accepted, rejected or authors are required to make major or minor revisions (both reviewer comments and editorial comments may need to be addressed). Once a revised manuscript is re-submitted, it is assessed along with the responses to reviewer comments and if it has been adequately revised it will be accepted for publication. Accepted manuscripts are then copyedited and typeset by the production team before online publication. Appeals against decisions following peer review are considered on a case by case basis and should be sent to the journal editor. Preprints We encourage posting of preprints of primary research manuscripts on preprint servers, authors’ or institutional websites, and open communications between researchers whether on community preprint servers or preprint commenting platforms. Posting of preprints is not considered prior publication and will not jeopardize consideration in our journals. Authors should disclose details of preprint posting during the submission process or at any other point during consideration in one of our journals. Once the preprint is published, it is the author’s responsibility to ensure that the preprint record is updated with a publication reference, including the DOI and a URL link to the published version of the article on the journal website. Copyright Cardiology and Therapy is published under the Creative Commons Attribution-Noncommercial License, which allows users to read, copy, distribute, and make derivative works for non-commercial purposes from the material, as long as the author of the original work is cited. The author assigns the exclusive right to any commercial use of the article to Springer. For more information about the Creative Commons Attribution-Noncommercial License, click here: http://creativecommons.org/licenses/by-nc/4.0. Contact For more information about the journal, including pre-submission enquiries, please contact matthew.evans@springer.com
×
引用
GB/T 7714-2015
复制
MLA
复制
APA
复制
导出至
BibTeX EndNote RefMan NoteFirst NoteExpress
×
提示
您的信息不完整,为了账户安全,请先补充。
现在去补充
×
提示
您因"违规操作"
具体请查看互助需知
我知道了
×
提示
确定
请完成安全验证×
copy
已复制链接
快去分享给好友吧!
我知道了
右上角分享
点击右上角分享
0
联系我们:info@booksci.cn Book学术提供免费学术资源搜索服务,方便国内外学者检索中英文文献。致力于提供最便捷和优质的服务体验。 Copyright © 2023 布克学术 All rights reserved.
京ICP备2023020795号-1
ghs 京公网安备 11010802042870号
Book学术文献互助
Book学术文献互助群
群 号:604180095
Book学术官方微信