胱抑素C作为识别急性冠脉综合征高危患者的生物标志物:一项观察性研究

IF 2 4区 医学 Q2 HEMATOLOGY
Xinlin Xiong, Li Yuan, Xiaobin Long, Minsheng An, Shen Huang, Liang Liu
{"title":"胱抑素C作为识别急性冠脉综合征高危患者的生物标志物:一项观察性研究","authors":"Xinlin Xiong, Li Yuan, Xiaobin Long, Minsheng An, Shen Huang, Liang Liu","doi":"10.1177/10760296251324201","DOIUrl":null,"url":null,"abstract":"<p><p>BackgroundCystatin C is a cysteine protease inhibitor, synthesized by nucleated cells, and released into various body fluids. Lots of studies have reported an association between cystatin C and atherosclerotic cardiovascular disease. However, the association of cystatin C with high-risk patients with acute coronary syndrome(ACS) has not been well studied. In this study, we investigated potential association of cystatin C with high-risk patients with ACS, and assessed whether cystatin C provide discriminating power of clinical risk stratification in patients with ACS.MethodsWe enrolled 219 patients with ACS in the present study. The cystatin C concentration was measured in clinical laboratory. The global registry of acute coronary events (GRACE) scores was calculated to assess risk stratification. The high-risk patients with ACS were defined based on GRACE scores and killip classification.ResultsThe cystatin C levels were significantly higher in high-risk patients compared to non-high-risk patients, both in the overall ACS group and its subtypes, including non-ST elevation ACS (NSTE-ACS) and ST elevation ACS (STE-ACS)(<i>P </i>< 0.05). The receiver operating characteristic (ROC) curve analysis showed that cystatin C had a discriminative performance for identifying high-risk patients across these groups(<i>P </i>< 0.05). After adjusting for potential confounders, multivariate logistic regression confirmed that the elevated cystatin C levels were independently associated with high-risk patients with ACS(<i>P </i>< 0.05).ConclusionsThe cystatin C was obviously elevated in high-risk group in the patients with ACS and its subgroups. Cystatin C appears to be a valuable biomarker for distinguishing and predicting high-risk patients with ACS, suggesting its relevance in clinical risk stratification.</p>","PeriodicalId":10335,"journal":{"name":"Clinical and Applied Thrombosis/Hemostasis","volume":"31 ","pages":"10760296251324201"},"PeriodicalIF":2.0000,"publicationDate":"2025-01-01","publicationTypes":"Journal Article","fieldsOfStudy":null,"isOpenAccess":false,"openAccessPdf":"https://www.ncbi.nlm.nih.gov/pmc/articles/PMC12035054/pdf/","citationCount":"0","resultStr":"{\"title\":\"Cystatin C as a Biomarker for Identifying High-Risk Patients with Acute Coronary Syndrome: An Observational Study.\",\"authors\":\"Xinlin Xiong, Li Yuan, Xiaobin Long, Minsheng An, Shen Huang, Liang Liu\",\"doi\":\"10.1177/10760296251324201\",\"DOIUrl\":null,\"url\":null,\"abstract\":\"<p><p>BackgroundCystatin C is a cysteine protease inhibitor, synthesized by nucleated cells, and released into various body fluids. Lots of studies have reported an association between cystatin C and atherosclerotic cardiovascular disease. However, the association of cystatin C with high-risk patients with acute coronary syndrome(ACS) has not been well studied. In this study, we investigated potential association of cystatin C with high-risk patients with ACS, and assessed whether cystatin C provide discriminating power of clinical risk stratification in patients with ACS.MethodsWe enrolled 219 patients with ACS in the present study. The cystatin C concentration was measured in clinical laboratory. The global registry of acute coronary events (GRACE) scores was calculated to assess risk stratification. The high-risk patients with ACS were defined based on GRACE scores and killip classification.ResultsThe cystatin C levels were significantly higher in high-risk patients compared to non-high-risk patients, both in the overall ACS group and its subtypes, including non-ST elevation ACS (NSTE-ACS) and ST elevation ACS (STE-ACS)(<i>P </i>< 0.05). The receiver operating characteristic (ROC) curve analysis showed that cystatin C had a discriminative performance for identifying high-risk patients across these groups(<i>P </i>< 0.05). After adjusting for potential confounders, multivariate logistic regression confirmed that the elevated cystatin C levels were independently associated with high-risk patients with ACS(<i>P </i>< 0.05).ConclusionsThe cystatin C was obviously elevated in high-risk group in the patients with ACS and its subgroups. Cystatin C appears to be a valuable biomarker for distinguishing and predicting high-risk patients with ACS, suggesting its relevance in clinical risk stratification.</p>\",\"PeriodicalId\":10335,\"journal\":{\"name\":\"Clinical and Applied Thrombosis/Hemostasis\",\"volume\":\"31 \",\"pages\":\"10760296251324201\"},\"PeriodicalIF\":2.0000,\"publicationDate\":\"2025-01-01\",\"publicationTypes\":\"Journal Article\",\"fieldsOfStudy\":null,\"isOpenAccess\":false,\"openAccessPdf\":\"https://www.ncbi.nlm.nih.gov/pmc/articles/PMC12035054/pdf/\",\"citationCount\":\"0\",\"resultStr\":null,\"platform\":\"Semanticscholar\",\"paperid\":null,\"PeriodicalName\":\"Clinical and Applied Thrombosis/Hemostasis\",\"FirstCategoryId\":\"3\",\"ListUrlMain\":\"https://doi.org/10.1177/10760296251324201\",\"RegionNum\":4,\"RegionCategory\":\"医学\",\"ArticlePicture\":[],\"TitleCN\":null,\"AbstractTextCN\":null,\"PMCID\":null,\"EPubDate\":\"2025/4/15 0:00:00\",\"PubModel\":\"Epub\",\"JCR\":\"Q2\",\"JCRName\":\"HEMATOLOGY\",\"Score\":null,\"Total\":0}","platform":"Semanticscholar","paperid":null,"PeriodicalName":"Clinical and Applied Thrombosis/Hemostasis","FirstCategoryId":"3","ListUrlMain":"https://doi.org/10.1177/10760296251324201","RegionNum":4,"RegionCategory":"医学","ArticlePicture":[],"TitleCN":null,"AbstractTextCN":null,"PMCID":null,"EPubDate":"2025/4/15 0:00:00","PubModel":"Epub","JCR":"Q2","JCRName":"HEMATOLOGY","Score":null,"Total":0}
引用次数: 0

摘要

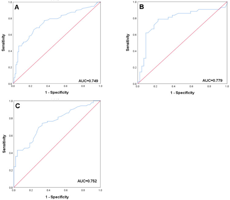
胱抑素C是一种半胱氨酸蛋白酶抑制剂,由有核细胞合成,并释放到各种体液中。许多研究报道了胱抑素C与动脉粥样硬化性心血管疾病之间的联系。然而,胱抑素C与高危急性冠脉综合征(ACS)患者的关系尚未得到很好的研究。在本研究中,我们探讨了胱抑素C与ACS高危患者的潜在关联,并评估了胱抑素C是否为ACS患者的临床风险分层提供了鉴别能力。方法本研究纳入219例ACS患者。临床实验室检测胱抑素C浓度。计算急性冠状动脉事件全球登记(GRACE)评分以评估风险分层。根据GRACE评分和killip分级对ACS高危患者进行定义。结果在ACS总组及其亚型中,包括非ST段抬高ACS (NSTE-ACS)和ST段抬高ACS (STE-ACS)(P P P),高危患者胱抑素C水平均明显高于非高危患者
本文章由计算机程序翻译,如有差异,请以英文原文为准。

Cystatin C as a Biomarker for Identifying High-Risk Patients with Acute Coronary Syndrome: An Observational Study.

Cystatin C as a Biomarker for Identifying High-Risk Patients with Acute Coronary Syndrome: An Observational Study.

Cystatin C as a Biomarker for Identifying High-Risk Patients with Acute Coronary Syndrome: An Observational Study.

Cystatin C as a Biomarker for Identifying High-Risk Patients with Acute Coronary Syndrome: An Observational Study.

BackgroundCystatin C is a cysteine protease inhibitor, synthesized by nucleated cells, and released into various body fluids. Lots of studies have reported an association between cystatin C and atherosclerotic cardiovascular disease. However, the association of cystatin C with high-risk patients with acute coronary syndrome(ACS) has not been well studied. In this study, we investigated potential association of cystatin C with high-risk patients with ACS, and assessed whether cystatin C provide discriminating power of clinical risk stratification in patients with ACS.MethodsWe enrolled 219 patients with ACS in the present study. The cystatin C concentration was measured in clinical laboratory. The global registry of acute coronary events (GRACE) scores was calculated to assess risk stratification. The high-risk patients with ACS were defined based on GRACE scores and killip classification.ResultsThe cystatin C levels were significantly higher in high-risk patients compared to non-high-risk patients, both in the overall ACS group and its subtypes, including non-ST elevation ACS (NSTE-ACS) and ST elevation ACS (STE-ACS)(P < 0.05). The receiver operating characteristic (ROC) curve analysis showed that cystatin C had a discriminative performance for identifying high-risk patients across these groups(P < 0.05). After adjusting for potential confounders, multivariate logistic regression confirmed that the elevated cystatin C levels were independently associated with high-risk patients with ACS(P < 0.05).ConclusionsThe cystatin C was obviously elevated in high-risk group in the patients with ACS and its subgroups. Cystatin C appears to be a valuable biomarker for distinguishing and predicting high-risk patients with ACS, suggesting its relevance in clinical risk stratification.

求助全文
通过发布文献求助,成功后即可免费获取论文全文。 去求助
来源期刊
CiteScore
4.40
自引率
3.40%
发文量
150
审稿时长
2 months
期刊介绍: CATH is a peer-reviewed bi-monthly journal that addresses the practical clinical and laboratory issues involved in managing bleeding and clotting disorders, especially those related to thrombosis, hemostasis, and vascular disorders. CATH covers clinical trials, studies on etiology, pathophysiology, diagnosis and treatment of thrombohemorrhagic disorders.
×
引用
GB/T 7714-2015
复制
MLA
复制
APA
复制
导出至
BibTeX EndNote RefMan NoteFirst NoteExpress
×
提示
您的信息不完整,为了账户安全,请先补充。
现在去补充
×
提示
您因"违规操作"
具体请查看互助需知
我知道了
×
提示
确定
请完成安全验证×
copy
已复制链接
快去分享给好友吧!
我知道了
右上角分享
点击右上角分享
0
联系我们:info@booksci.cn Book学术提供免费学术资源搜索服务,方便国内外学者检索中英文文献。致力于提供最便捷和优质的服务体验。 Copyright © 2023 布克学术 All rights reserved.
京ICP备2023020795号-1
ghs 京公网安备 11010802042870号
Book学术文献互助
Book学术文献互助群
群 号:604180095
Book学术官方微信