红细胞分布宽度与白蛋白比预测慢性阻塞性肺疾病危重患者1年死亡率的预后意义

IF 3.8 4区 医学 Q2 MEDICINE, GENERAL & INTERNAL
Wei Zhao, Yongli Liu, Chenyang Hu, Yuxin Zhang, Yajie Hu, Yiqing Qu
{"title":"红细胞分布宽度与白蛋白比预测慢性阻塞性肺疾病危重患者1年死亡率的预后意义","authors":"Wei Zhao, Yongli Liu, Chenyang Hu, Yuxin Zhang, Yajie Hu, Yiqing Qu","doi":"10.4274/balkanmedj.galenos.2025.2025-1-141","DOIUrl":null,"url":null,"abstract":"<p><strong>Background: </strong>Chronic obstructive pulmonary disease (COPD) is a major global healthcare challenge. To address the gap in existing prognostic research, this study examined the possibility of the red blood cell distribution width-albumin ratio (RAR) as a viable biomarker for predicting COPD outcomes.</p><p><strong>Aims: </strong>To evaluate the relationship between RAR and the one-year mortality risk in COPD patients.</p><p><strong>Study design: </strong>A retrospective cohort study.</p><p><strong>Methods: </strong>Participants were grouped based on their RAR levels. Multiple interpolations were used to address missing data. The effect of biomarkers on mortality was estimated using Kaplan-Meier survival curves and Cox risk regression models. Stratified analyses were conducted to assess the consistency of the RAR's predictive value for mortality across different subgroups. RAR was used to build a predictive model and the C-index and time-dependent receiver operating characteristic curves were used to evaluate the model's performance.</p><p><strong>Results: </strong>This study examined 2,379 patients, dividing them into three groups based on their RAR levels. According to Cox regression, RAR was correlated with the 1-year all-cause mortality of patients [model 3: HR = 1.24 (95% confidence interval 1.19-1.29) <i>p</i> < 0.001], with consistent positive correlations between subgroups. This relationship was shown to be linear via the restricted cubic spline. RAR had been demonstrated to be a potentially more effective biomarker than albumin and red blood cell distribution width for determining the one-year mortality risk in COPD patients.</p><p><strong>Conclusion: </strong>A significant association was found between RAR and the one-year mortality of COPD patients. This result implies that RAR may be an effective instrument for determining the prognosis in COPD patients.</p>","PeriodicalId":8690,"journal":{"name":"Balkan Medical Journal","volume":"42 3","pages":"222-232"},"PeriodicalIF":3.8000,"publicationDate":"2025-05-05","publicationTypes":"Journal Article","fieldsOfStudy":null,"isOpenAccess":false,"openAccessPdf":"https://www.ncbi.nlm.nih.gov/pmc/articles/PMC12060577/pdf/","citationCount":"0","resultStr":"{\"title\":\"Prognostic Significance of Red Blood Cell Distribution Width-to-Albumin Ratio in Predicting 1-Year Mortality for Critically Ill Chronic Obstructive Pulmonary Disease Patients.\",\"authors\":\"Wei Zhao, Yongli Liu, Chenyang Hu, Yuxin Zhang, Yajie Hu, Yiqing Qu\",\"doi\":\"10.4274/balkanmedj.galenos.2025.2025-1-141\",\"DOIUrl\":null,\"url\":null,\"abstract\":\"<p><strong>Background: </strong>Chronic obstructive pulmonary disease (COPD) is a major global healthcare challenge. To address the gap in existing prognostic research, this study examined the possibility of the red blood cell distribution width-albumin ratio (RAR) as a viable biomarker for predicting COPD outcomes.</p><p><strong>Aims: </strong>To evaluate the relationship between RAR and the one-year mortality risk in COPD patients.</p><p><strong>Study design: </strong>A retrospective cohort study.</p><p><strong>Methods: </strong>Participants were grouped based on their RAR levels. Multiple interpolations were used to address missing data. The effect of biomarkers on mortality was estimated using Kaplan-Meier survival curves and Cox risk regression models. Stratified analyses were conducted to assess the consistency of the RAR's predictive value for mortality across different subgroups. RAR was used to build a predictive model and the C-index and time-dependent receiver operating characteristic curves were used to evaluate the model's performance.</p><p><strong>Results: </strong>This study examined 2,379 patients, dividing them into three groups based on their RAR levels. According to Cox regression, RAR was correlated with the 1-year all-cause mortality of patients [model 3: HR = 1.24 (95% confidence interval 1.19-1.29) <i>p</i> < 0.001], with consistent positive correlations between subgroups. This relationship was shown to be linear via the restricted cubic spline. RAR had been demonstrated to be a potentially more effective biomarker than albumin and red blood cell distribution width for determining the one-year mortality risk in COPD patients.</p><p><strong>Conclusion: </strong>A significant association was found between RAR and the one-year mortality of COPD patients. This result implies that RAR may be an effective instrument for determining the prognosis in COPD patients.</p>\",\"PeriodicalId\":8690,\"journal\":{\"name\":\"Balkan Medical Journal\",\"volume\":\"42 3\",\"pages\":\"222-232\"},\"PeriodicalIF\":3.8000,\"publicationDate\":\"2025-05-05\",\"publicationTypes\":\"Journal Article\",\"fieldsOfStudy\":null,\"isOpenAccess\":false,\"openAccessPdf\":\"https://www.ncbi.nlm.nih.gov/pmc/articles/PMC12060577/pdf/\",\"citationCount\":\"0\",\"resultStr\":null,\"platform\":\"Semanticscholar\",\"paperid\":null,\"PeriodicalName\":\"Balkan Medical Journal\",\"FirstCategoryId\":\"3\",\"ListUrlMain\":\"https://doi.org/10.4274/balkanmedj.galenos.2025.2025-1-141\",\"RegionNum\":4,\"RegionCategory\":\"医学\",\"ArticlePicture\":[],\"TitleCN\":null,\"AbstractTextCN\":null,\"PMCID\":null,\"EPubDate\":\"\",\"PubModel\":\"\",\"JCR\":\"Q2\",\"JCRName\":\"MEDICINE, GENERAL & INTERNAL\",\"Score\":null,\"Total\":0}","platform":"Semanticscholar","paperid":null,"PeriodicalName":"Balkan Medical Journal","FirstCategoryId":"3","ListUrlMain":"https://doi.org/10.4274/balkanmedj.galenos.2025.2025-1-141","RegionNum":4,"RegionCategory":"医学","ArticlePicture":[],"TitleCN":null,"AbstractTextCN":null,"PMCID":null,"EPubDate":"","PubModel":"","JCR":"Q2","JCRName":"MEDICINE, GENERAL & INTERNAL","Score":null,"Total":0}
引用次数: 0

摘要

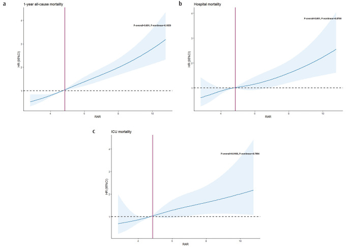
背景:慢性阻塞性肺疾病(COPD)是一个主要的全球卫生保健挑战。为了解决现有预后研究的空白,本研究探讨了红细胞分布宽度-白蛋白比(RAR)作为预测COPD预后的可行生物标志物的可能性。目的:评价慢性阻塞性肺病患者RAR与1年死亡风险的关系。研究设计:回顾性队列研究。方法:根据受试者的RAR水平进行分组。使用多次插值来处理缺失的数据。使用Kaplan-Meier生存曲线和Cox风险回归模型估计生物标志物对死亡率的影响。进行分层分析以评估不同亚组间RAR预测死亡率价值的一致性。采用RAR建立预测模型,并利用c指数和随时间变化的受试者工作特征曲线评价模型的性能。结果:这项研究检查了2379名患者,根据他们的RAR水平将他们分为三组。Cox回归分析显示,RAR与患者1年全因死亡率相关[模型3:HR = 1.24(95%可信区间1.19 ~ 1.29)p < 0.001],亚组间呈一致的正相关。通过限制三次样条曲线证明了这种关系是线性的。RAR已被证明是一种潜在的比白蛋白和红细胞分布宽度更有效的生物标志物,用于确定COPD患者的一年死亡风险。结论:RAR与COPD患者1年死亡率有显著相关性。这一结果提示RAR可能是判断COPD患者预后的有效工具。
本文章由计算机程序翻译,如有差异,请以英文原文为准。

Prognostic Significance of Red Blood Cell Distribution Width-to-Albumin Ratio in Predicting 1-Year Mortality for Critically Ill Chronic Obstructive Pulmonary Disease Patients.

Prognostic Significance of Red Blood Cell Distribution Width-to-Albumin Ratio in Predicting 1-Year Mortality for Critically Ill Chronic Obstructive Pulmonary Disease Patients.

Prognostic Significance of Red Blood Cell Distribution Width-to-Albumin Ratio in Predicting 1-Year Mortality for Critically Ill Chronic Obstructive Pulmonary Disease Patients.

Prognostic Significance of Red Blood Cell Distribution Width-to-Albumin Ratio in Predicting 1-Year Mortality for Critically Ill Chronic Obstructive Pulmonary Disease Patients.

Background: Chronic obstructive pulmonary disease (COPD) is a major global healthcare challenge. To address the gap in existing prognostic research, this study examined the possibility of the red blood cell distribution width-albumin ratio (RAR) as a viable biomarker for predicting COPD outcomes.

Aims: To evaluate the relationship between RAR and the one-year mortality risk in COPD patients.

Study design: A retrospective cohort study.

Methods: Participants were grouped based on their RAR levels. Multiple interpolations were used to address missing data. The effect of biomarkers on mortality was estimated using Kaplan-Meier survival curves and Cox risk regression models. Stratified analyses were conducted to assess the consistency of the RAR's predictive value for mortality across different subgroups. RAR was used to build a predictive model and the C-index and time-dependent receiver operating characteristic curves were used to evaluate the model's performance.

Results: This study examined 2,379 patients, dividing them into three groups based on their RAR levels. According to Cox regression, RAR was correlated with the 1-year all-cause mortality of patients [model 3: HR = 1.24 (95% confidence interval 1.19-1.29) p < 0.001], with consistent positive correlations between subgroups. This relationship was shown to be linear via the restricted cubic spline. RAR had been demonstrated to be a potentially more effective biomarker than albumin and red blood cell distribution width for determining the one-year mortality risk in COPD patients.

Conclusion: A significant association was found between RAR and the one-year mortality of COPD patients. This result implies that RAR may be an effective instrument for determining the prognosis in COPD patients.

求助全文
通过发布文献求助,成功后即可免费获取论文全文。 去求助
来源期刊
Balkan Medical Journal
Balkan Medical Journal MEDICINE, GENERAL & INTERNAL-
CiteScore
4.10
自引率
6.70%
发文量
76
审稿时长
6-12 weeks
期刊介绍: The Balkan Medical Journal (Balkan Med J) is a peer-reviewed open-access international journal that publishes interesting clinical and experimental research conducted in all fields of medicine, interesting case reports and clinical images, invited reviews, editorials, letters, comments and letters to the Editor including reports on publication and research ethics. The journal is the official scientific publication of the Trakya University Faculty of Medicine, Edirne, Turkey and is printed six times a year, in January, March, May, July, September and November. The language of the journal is English. The journal is based on independent and unbiased double-blinded peer-reviewed principles. Only unpublished papers that are not under review for publication elsewhere can be submitted. Balkan Medical Journal does not accept multiple submission and duplicate submission even though the previous one was published in a different language. The authors are responsible for the scientific content of the material to be published. The Balkan Medical Journal reserves the right to request any research materials on which the paper is based. The Balkan Medical Journal encourages and enables academicians, researchers, specialists and primary care physicians of Balkan countries to publish their valuable research in all branches of medicine. The primary aim of the journal is to publish original articles with high scientific and ethical quality and serve as a good example of medical publications in the Balkans as well as in the World.
×
引用
GB/T 7714-2015
复制
MLA
复制
APA
复制
导出至
BibTeX EndNote RefMan NoteFirst NoteExpress
×
提示
您的信息不完整,为了账户安全,请先补充。
现在去补充
×
提示
您因"违规操作"
具体请查看互助需知
我知道了
×
提示
确定
请完成安全验证×
copy
已复制链接
快去分享给好友吧!
我知道了
右上角分享
点击右上角分享
0
联系我们:info@booksci.cn Book学术提供免费学术资源搜索服务,方便国内外学者检索中英文文献。致力于提供最便捷和优质的服务体验。 Copyright © 2023 布克学术 All rights reserved.
京ICP备2023020795号-1
ghs 京公网安备 11010802042870号
Book学术文献互助
Book学术文献互助群
群 号:604180095
Book学术官方微信