生物信息学方法在肾透明细胞癌中鉴定新的肿瘤抑制基因和癌变途径。

IF 1.5 4区 生物学 Q4 BIOTECHNOLOGY & APPLIED MICROBIOLOGY
Hassan Dastsooz, Elham Mohammadisoleimani, Hamed Haghi-Aminjan, Zahra Firoozi, Yaser Mansoori
{"title":"生物信息学方法在肾透明细胞癌中鉴定新的肿瘤抑制基因和癌变途径。","authors":"Hassan Dastsooz, Elham Mohammadisoleimani, Hamed Haghi-Aminjan, Zahra Firoozi, Yaser Mansoori","doi":"10.30498/ijb.2024.421319.3817","DOIUrl":null,"url":null,"abstract":"<p><strong>Background: </strong>Clear cell renal cell carcinoma (ccRCC, KIRC) is the most prevalent subtype of RCC, and even with different available therapies, the average progression-free survival is worse. Therefore, the identification of new molecular targets could be helpful for its therapeutic purposes.</p><p><strong>Materials and methods: </strong>We used the Cancer Genome Atlas to perform bioinformatic analyses for genes with possible tumor suppressor roles in KIRC.</p><p><strong>Objective: </strong>This research aims to identify new prognostic biomarkers and potential therapeutic targets for this type of cancer.</p><p><strong>Results: </strong>We identified 14 down-regulated genes in KIRC that had not previously been studied or poorly studied, with the majority of them impacted by increased promoter methylation. Eight genes showed shorter overall survival and worse prognosis, indicating their function as tumor suppressors, and six genes revealed good prognosis. From the 8 genes, <i>C7ORF41</i> and <i>CTXN3</i> revealed only downregulation in most cancers, proposing them as highly potential tumor suppressors. Among these 8 genes, the function of <i>CTXN3</i> in cancers is unknown. Moreover, we identified the <i>CWH43</i> gene as the major signature of KIRC. In addition, we found different genes as signatures of KIRC tumor stages and grades.</p><p><strong>Conclusions: </strong>Our results may shed light on identifying KIRC pathogenesis and developing effective therapeutic targets for renal cancers, mainly KIRC.</p>","PeriodicalId":14492,"journal":{"name":"Iranian Journal of Biotechnology","volume":"22 4","pages":"e3817"},"PeriodicalIF":1.5000,"publicationDate":"2024-10-01","publicationTypes":"Journal Article","fieldsOfStudy":null,"isOpenAccess":false,"openAccessPdf":"https://www.ncbi.nlm.nih.gov/pmc/articles/PMC11993239/pdf/","citationCount":"0","resultStr":"{\"title\":\"Bioinformatic Approaches for the Identification of Novel Tumor Suppressor Genes and Cancer Pathways in Renal Clear Cell Carcinoma.\",\"authors\":\"Hassan Dastsooz, Elham Mohammadisoleimani, Hamed Haghi-Aminjan, Zahra Firoozi, Yaser Mansoori\",\"doi\":\"10.30498/ijb.2024.421319.3817\",\"DOIUrl\":null,\"url\":null,\"abstract\":\"<p><strong>Background: </strong>Clear cell renal cell carcinoma (ccRCC, KIRC) is the most prevalent subtype of RCC, and even with different available therapies, the average progression-free survival is worse. Therefore, the identification of new molecular targets could be helpful for its therapeutic purposes.</p><p><strong>Materials and methods: </strong>We used the Cancer Genome Atlas to perform bioinformatic analyses for genes with possible tumor suppressor roles in KIRC.</p><p><strong>Objective: </strong>This research aims to identify new prognostic biomarkers and potential therapeutic targets for this type of cancer.</p><p><strong>Results: </strong>We identified 14 down-regulated genes in KIRC that had not previously been studied or poorly studied, with the majority of them impacted by increased promoter methylation. Eight genes showed shorter overall survival and worse prognosis, indicating their function as tumor suppressors, and six genes revealed good prognosis. From the 8 genes, <i>C7ORF41</i> and <i>CTXN3</i> revealed only downregulation in most cancers, proposing them as highly potential tumor suppressors. Among these 8 genes, the function of <i>CTXN3</i> in cancers is unknown. Moreover, we identified the <i>CWH43</i> gene as the major signature of KIRC. In addition, we found different genes as signatures of KIRC tumor stages and grades.</p><p><strong>Conclusions: </strong>Our results may shed light on identifying KIRC pathogenesis and developing effective therapeutic targets for renal cancers, mainly KIRC.</p>\",\"PeriodicalId\":14492,\"journal\":{\"name\":\"Iranian Journal of Biotechnology\",\"volume\":\"22 4\",\"pages\":\"e3817\"},\"PeriodicalIF\":1.5000,\"publicationDate\":\"2024-10-01\",\"publicationTypes\":\"Journal Article\",\"fieldsOfStudy\":null,\"isOpenAccess\":false,\"openAccessPdf\":\"https://www.ncbi.nlm.nih.gov/pmc/articles/PMC11993239/pdf/\",\"citationCount\":\"0\",\"resultStr\":null,\"platform\":\"Semanticscholar\",\"paperid\":null,\"PeriodicalName\":\"Iranian Journal of Biotechnology\",\"FirstCategoryId\":\"5\",\"ListUrlMain\":\"https://doi.org/10.30498/ijb.2024.421319.3817\",\"RegionNum\":4,\"RegionCategory\":\"生物学\",\"ArticlePicture\":[],\"TitleCN\":null,\"AbstractTextCN\":null,\"PMCID\":null,\"EPubDate\":\"\",\"PubModel\":\"\",\"JCR\":\"Q4\",\"JCRName\":\"BIOTECHNOLOGY & APPLIED MICROBIOLOGY\",\"Score\":null,\"Total\":0}","platform":"Semanticscholar","paperid":null,"PeriodicalName":"Iranian Journal of Biotechnology","FirstCategoryId":"5","ListUrlMain":"https://doi.org/10.30498/ijb.2024.421319.3817","RegionNum":4,"RegionCategory":"生物学","ArticlePicture":[],"TitleCN":null,"AbstractTextCN":null,"PMCID":null,"EPubDate":"","PubModel":"","JCR":"Q4","JCRName":"BIOTECHNOLOGY & APPLIED MICROBIOLOGY","Score":null,"Total":0}
引用次数: 0

摘要

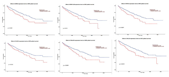
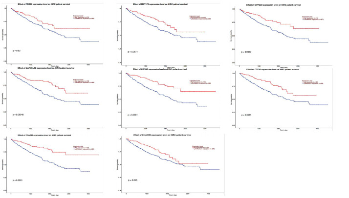
背景:透明细胞肾细胞癌(ccRCC, KIRC)是最常见的RCC亚型,即使采用不同的治疗方法,其平均无进展生存期也更差。因此,寻找新的分子靶点将有助于其治疗目的。材料和方法:我们使用癌症基因组图谱对KIRC中可能具有肿瘤抑制作用的基因进行生物信息学分析。目的:本研究旨在寻找新的预后生物标志物和潜在的治疗靶点。结果:我们在KIRC中发现了14个下调基因,这些基因以前没有被研究过或研究得很少,其中大多数受到启动子甲基化增加的影响。8个基因总生存期较短,预后较差,提示其具有抑癌功能,6个基因预后较好。从8个基因中,C7ORF41和CTXN3在大多数癌症中只显示下调,表明它们是高度潜在的肿瘤抑制因子。在这8个基因中,CTXN3在癌症中的功能尚不清楚。此外,我们发现CWH43基因是KIRC的主要特征。此外,我们发现不同的基因作为KIRC肿瘤分期和分级的标志。结论:我们的研究结果可能有助于确定KIRC的发病机制和开发有效的肾癌治疗靶点,主要是KIRC。
本文章由计算机程序翻译,如有差异,请以英文原文为准。

Bioinformatic Approaches for the Identification of Novel Tumor Suppressor Genes and Cancer Pathways in Renal Clear Cell Carcinoma.

Bioinformatic Approaches for the Identification of Novel Tumor Suppressor Genes and Cancer Pathways in Renal Clear Cell Carcinoma.

Bioinformatic Approaches for the Identification of Novel Tumor Suppressor Genes and Cancer Pathways in Renal Clear Cell Carcinoma.

Bioinformatic Approaches for the Identification of Novel Tumor Suppressor Genes and Cancer Pathways in Renal Clear Cell Carcinoma.

Background: Clear cell renal cell carcinoma (ccRCC, KIRC) is the most prevalent subtype of RCC, and even with different available therapies, the average progression-free survival is worse. Therefore, the identification of new molecular targets could be helpful for its therapeutic purposes.

Materials and methods: We used the Cancer Genome Atlas to perform bioinformatic analyses for genes with possible tumor suppressor roles in KIRC.

Objective: This research aims to identify new prognostic biomarkers and potential therapeutic targets for this type of cancer.

Results: We identified 14 down-regulated genes in KIRC that had not previously been studied or poorly studied, with the majority of them impacted by increased promoter methylation. Eight genes showed shorter overall survival and worse prognosis, indicating their function as tumor suppressors, and six genes revealed good prognosis. From the 8 genes, C7ORF41 and CTXN3 revealed only downregulation in most cancers, proposing them as highly potential tumor suppressors. Among these 8 genes, the function of CTXN3 in cancers is unknown. Moreover, we identified the CWH43 gene as the major signature of KIRC. In addition, we found different genes as signatures of KIRC tumor stages and grades.

Conclusions: Our results may shed light on identifying KIRC pathogenesis and developing effective therapeutic targets for renal cancers, mainly KIRC.

求助全文
通过发布文献求助,成功后即可免费获取论文全文。 去求助
来源期刊
Iranian Journal of Biotechnology
Iranian Journal of Biotechnology BIOTECHNOLOGY & APPLIED MICROBIOLOGY-
CiteScore
2.60
自引率
7.70%
发文量
20
期刊介绍: Iranian Journal of Biotechnology (IJB) is published quarterly by the National Institute of Genetic Engineering and Biotechnology. IJB publishes original scientific research papers in the broad area of Biotechnology such as, Agriculture, Animal and Marine Sciences, Basic Sciences, Bioinformatics, Biosafety and Bioethics, Environment, Industry and Mining and Medical Sciences.
×
引用
GB/T 7714-2015
复制
MLA
复制
APA
复制
导出至
BibTeX EndNote RefMan NoteFirst NoteExpress
×
提示
您的信息不完整,为了账户安全,请先补充。
现在去补充
×
提示
您因"违规操作"
具体请查看互助需知
我知道了
×
提示
确定
请完成安全验证×
copy
已复制链接
快去分享给好友吧!
我知道了
右上角分享
点击右上角分享
0
联系我们:info@booksci.cn Book学术提供免费学术资源搜索服务,方便国内外学者检索中英文文献。致力于提供最便捷和优质的服务体验。 Copyright © 2023 布克学术 All rights reserved.
京ICP备2023020795号-1
ghs 京公网安备 11010802042870号
Book学术文献互助
Book学术文献互助群
群 号:604180095
Book学术官方微信