亚胺培南/瑞巴坦对产kpc肺炎克雷伯菌的活性和Ompk36突变在确定耐药性中的可能作用:意大利回顾性分析

IF 3.6 2区 医学 Q1 MICROBIOLOGY
Emanuele Palomba, Agnese Comelli, Francesca Saluzzo, Federico Di Marco, Elisa Matarazzo, Noemi Lo Re, Alessandra Bielli, Chiara Silvia Vismara, Antonio Muscatello, Marianna Rossi, Daniela Maria Cirillo, Alessandra Bandera, Andrea Gori
{"title":"亚胺培南/瑞巴坦对产kpc肺炎克雷伯菌的活性和Ompk36突变在确定耐药性中的可能作用:意大利回顾性分析","authors":"Emanuele Palomba, Agnese Comelli, Francesca Saluzzo, Federico Di Marco, Elisa Matarazzo, Noemi Lo Re, Alessandra Bielli, Chiara Silvia Vismara, Antonio Muscatello, Marianna Rossi, Daniela Maria Cirillo, Alessandra Bandera, Andrea Gori","doi":"10.1186/s12941-025-00792-w","DOIUrl":null,"url":null,"abstract":"<p><strong>Background: </strong>Antimicrobial resistance in Enterobacterales represents a substantial threat in modern clinical practice and the collection of data on the efficacy of new molecules is of paramount importance. Our study aimed to analyse the in vitro activity of imipenem/cilastatin/relebactam (IMI/REL) against KPC-producing Klebsiella pneumoniae (KPC-Kp) and investigate the genetic determinants of resistance to this agent.</p><p><strong>Methods: </strong>A total of 603 KPC-Kp strains, which were randomly collected during a multicentre study in northern Italy in the period 2016-2018, were analysed retrospectively. Antibiotic susceptibility testing was performed using a commercial broth microdilution. IMI-REL-resistant KPC-Kp strains were further analysed by whole genome sequencing to identify resistance determinants.</p><p><strong>Results: </strong>Ninety-eight percent of KPC-Kp (591/603) showed in vitro susceptibility to IMI/REL, with a minimum inhibitory concentration below the EUCAST cut-off. Different mutations in OmpK36 were found in all 12 IMI/REL-resistant strains, which belonged to MLST STs 258 (3 isolates), 307 (8 isolates) and 512 (1 isolate), but no clonal relatedness was detected by the minimum spanning tree analysis, except for 2 strains isolated in the same hospital. Equal distribution of bla<sub>KPC-2</sub> (6/12) and bla<sub>KPC-3</sub> (6/12) was found, and in 11 isolates the presence of genetic variants associated with the production of beta-lactamases was also identified. KPC-Kp resistant to IMI/REL retained susceptibility to meropenem/vaborbactam (MVB, 12/12, 100%) and ceftazidime/avibactam (CZA, 11/12, 91.7%). Only one strain of 603 was resistant to either MVB and CZA but susceptible to IMI/REL with a MIC of 2 mg/L; 4/603 (0.7%) were resistant to CZA but susceptible to IMI/REL and MVB.</p><p><strong>Conclusions: </strong>IMI/REL showed good in vitro activity against the KPC-Kp strains analysed. All the IMI/REL-resistant strains displayed a mutation in porin OmpK36 and produced carbapenemases, with KPC-2 and KPC-3 being equally distributed. MVB and CZA maintained good activity against IMI/REL resistant isolates.</p>","PeriodicalId":8052,"journal":{"name":"Annals of Clinical Microbiology and Antimicrobials","volume":"24 1","pages":"23"},"PeriodicalIF":3.6000,"publicationDate":"2025-04-13","publicationTypes":"Journal Article","fieldsOfStudy":null,"isOpenAccess":false,"openAccessPdf":"https://www.ncbi.nlm.nih.gov/pmc/articles/PMC11995579/pdf/","citationCount":"0","resultStr":"{\"title\":\"Activity of imipenem/relebactam against KPC-producing Klebsiella pneumoniae and the possible role of Ompk36 mutation in determining resistance: an Italian retrospective analysis.\",\"authors\":\"Emanuele Palomba, Agnese Comelli, Francesca Saluzzo, Federico Di Marco, Elisa Matarazzo, Noemi Lo Re, Alessandra Bielli, Chiara Silvia Vismara, Antonio Muscatello, Marianna Rossi, Daniela Maria Cirillo, Alessandra Bandera, Andrea Gori\",\"doi\":\"10.1186/s12941-025-00792-w\",\"DOIUrl\":null,\"url\":null,\"abstract\":\"<p><strong>Background: </strong>Antimicrobial resistance in Enterobacterales represents a substantial threat in modern clinical practice and the collection of data on the efficacy of new molecules is of paramount importance. Our study aimed to analyse the in vitro activity of imipenem/cilastatin/relebactam (IMI/REL) against KPC-producing Klebsiella pneumoniae (KPC-Kp) and investigate the genetic determinants of resistance to this agent.</p><p><strong>Methods: </strong>A total of 603 KPC-Kp strains, which were randomly collected during a multicentre study in northern Italy in the period 2016-2018, were analysed retrospectively. Antibiotic susceptibility testing was performed using a commercial broth microdilution. IMI-REL-resistant KPC-Kp strains were further analysed by whole genome sequencing to identify resistance determinants.</p><p><strong>Results: </strong>Ninety-eight percent of KPC-Kp (591/603) showed in vitro susceptibility to IMI/REL, with a minimum inhibitory concentration below the EUCAST cut-off. Different mutations in OmpK36 were found in all 12 IMI/REL-resistant strains, which belonged to MLST STs 258 (3 isolates), 307 (8 isolates) and 512 (1 isolate), but no clonal relatedness was detected by the minimum spanning tree analysis, except for 2 strains isolated in the same hospital. Equal distribution of bla<sub>KPC-2</sub> (6/12) and bla<sub>KPC-3</sub> (6/12) was found, and in 11 isolates the presence of genetic variants associated with the production of beta-lactamases was also identified. KPC-Kp resistant to IMI/REL retained susceptibility to meropenem/vaborbactam (MVB, 12/12, 100%) and ceftazidime/avibactam (CZA, 11/12, 91.7%). Only one strain of 603 was resistant to either MVB and CZA but susceptible to IMI/REL with a MIC of 2 mg/L; 4/603 (0.7%) were resistant to CZA but susceptible to IMI/REL and MVB.</p><p><strong>Conclusions: </strong>IMI/REL showed good in vitro activity against the KPC-Kp strains analysed. All the IMI/REL-resistant strains displayed a mutation in porin OmpK36 and produced carbapenemases, with KPC-2 and KPC-3 being equally distributed. MVB and CZA maintained good activity against IMI/REL resistant isolates.</p>\",\"PeriodicalId\":8052,\"journal\":{\"name\":\"Annals of Clinical Microbiology and Antimicrobials\",\"volume\":\"24 1\",\"pages\":\"23\"},\"PeriodicalIF\":3.6000,\"publicationDate\":\"2025-04-13\",\"publicationTypes\":\"Journal Article\",\"fieldsOfStudy\":null,\"isOpenAccess\":false,\"openAccessPdf\":\"https://www.ncbi.nlm.nih.gov/pmc/articles/PMC11995579/pdf/\",\"citationCount\":\"0\",\"resultStr\":null,\"platform\":\"Semanticscholar\",\"paperid\":null,\"PeriodicalName\":\"Annals of Clinical Microbiology and Antimicrobials\",\"FirstCategoryId\":\"3\",\"ListUrlMain\":\"https://doi.org/10.1186/s12941-025-00792-w\",\"RegionNum\":2,\"RegionCategory\":\"医学\",\"ArticlePicture\":[],\"TitleCN\":null,\"AbstractTextCN\":null,\"PMCID\":null,\"EPubDate\":\"\",\"PubModel\":\"\",\"JCR\":\"Q1\",\"JCRName\":\"MICROBIOLOGY\",\"Score\":null,\"Total\":0}","platform":"Semanticscholar","paperid":null,"PeriodicalName":"Annals of Clinical Microbiology and Antimicrobials","FirstCategoryId":"3","ListUrlMain":"https://doi.org/10.1186/s12941-025-00792-w","RegionNum":2,"RegionCategory":"医学","ArticlePicture":[],"TitleCN":null,"AbstractTextCN":null,"PMCID":null,"EPubDate":"","PubModel":"","JCR":"Q1","JCRName":"MICROBIOLOGY","Score":null,"Total":0}
引用次数: 0

摘要

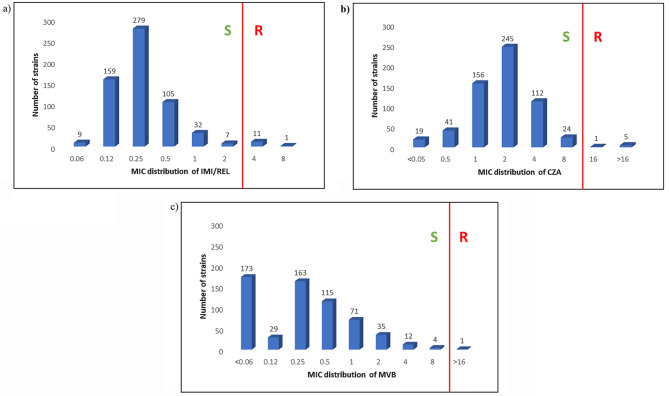
背景:肠杆菌的抗微生物药物耐药性在现代临床实践中是一个重大威胁,收集有关新分子疗效的数据至关重要。本研究旨在分析亚胺培南/西司他汀/乐巴坦(IMI/REL)对产kpc肺炎克雷伯菌(KPC-Kp)的体外活性,并探讨其耐药性的遗传决定因素。方法:回顾性分析2016-2018年在意大利北部一项多中心研究中随机收集的603株KPC-Kp菌株。采用商业肉汤微量稀释法进行抗生素敏感性试验。对imi - rel耐药KPC-Kp菌株进行全基因组测序分析,确定耐药决定因素。结果:98%的KPC-Kp(591/603)对IMI/REL有体外敏感性,最低抑菌浓度低于EUCAST临界值。12株IMI/ rel耐药菌株均存在不同的OmpK36基因突变,分别属于MLST菌株258(3株)、307(8株)和512(1株),但除了在同一医院分离的2株外,最小生成树分析未发现克隆相关性。发现blaKPC-2(6/12)和blaKPC-3(6/12)分布均匀,并且在11个分离株中还发现了与β -内酰胺酶产生相关的遗传变异。对IMI/REL耐药的KPC-Kp对美罗布南/维博巴坦(MVB, 12/12, 100%)和头孢他啶/阿维巴坦(CZA, 11/12, 91.7%)保持敏感性。603菌株只有1株对MVB和CZA均耐药,但对IMI/REL敏感,MIC为2 mg/L;4/603(0.7%)对CZA耐药,但对IMI/REL和MVB敏感。结论:IMI/REL对KPC-Kp具有良好的体外抑菌活性。所有IMI/ rel耐药菌株均表现出孔蛋白OmpK36突变并产生碳青霉烯酶,KPC-2和KPC-3分布均匀。MVB和CZA对IMI/REL耐药菌株保持良好的活性。
本文章由计算机程序翻译,如有差异,请以英文原文为准。

Activity of imipenem/relebactam against KPC-producing Klebsiella pneumoniae and the possible role of Ompk36 mutation in determining resistance: an Italian retrospective analysis.

Activity of imipenem/relebactam against KPC-producing Klebsiella pneumoniae and the possible role of Ompk36 mutation in determining resistance: an Italian retrospective analysis.

Background: Antimicrobial resistance in Enterobacterales represents a substantial threat in modern clinical practice and the collection of data on the efficacy of new molecules is of paramount importance. Our study aimed to analyse the in vitro activity of imipenem/cilastatin/relebactam (IMI/REL) against KPC-producing Klebsiella pneumoniae (KPC-Kp) and investigate the genetic determinants of resistance to this agent.

Methods: A total of 603 KPC-Kp strains, which were randomly collected during a multicentre study in northern Italy in the period 2016-2018, were analysed retrospectively. Antibiotic susceptibility testing was performed using a commercial broth microdilution. IMI-REL-resistant KPC-Kp strains were further analysed by whole genome sequencing to identify resistance determinants.

Results: Ninety-eight percent of KPC-Kp (591/603) showed in vitro susceptibility to IMI/REL, with a minimum inhibitory concentration below the EUCAST cut-off. Different mutations in OmpK36 were found in all 12 IMI/REL-resistant strains, which belonged to MLST STs 258 (3 isolates), 307 (8 isolates) and 512 (1 isolate), but no clonal relatedness was detected by the minimum spanning tree analysis, except for 2 strains isolated in the same hospital. Equal distribution of blaKPC-2 (6/12) and blaKPC-3 (6/12) was found, and in 11 isolates the presence of genetic variants associated with the production of beta-lactamases was also identified. KPC-Kp resistant to IMI/REL retained susceptibility to meropenem/vaborbactam (MVB, 12/12, 100%) and ceftazidime/avibactam (CZA, 11/12, 91.7%). Only one strain of 603 was resistant to either MVB and CZA but susceptible to IMI/REL with a MIC of 2 mg/L; 4/603 (0.7%) were resistant to CZA but susceptible to IMI/REL and MVB.

Conclusions: IMI/REL showed good in vitro activity against the KPC-Kp strains analysed. All the IMI/REL-resistant strains displayed a mutation in porin OmpK36 and produced carbapenemases, with KPC-2 and KPC-3 being equally distributed. MVB and CZA maintained good activity against IMI/REL resistant isolates.

求助全文
通过发布文献求助,成功后即可免费获取论文全文。 去求助
来源期刊
CiteScore
8.60
自引率
0.00%
发文量
49
审稿时长
>12 weeks
期刊介绍: Annals of Clinical Microbiology and Antimicrobials considers good quality, novel and international research of more than regional relevance. Research must include epidemiological and/or clinical information about isolates, and the journal covers the clinical microbiology of bacteria, viruses and fungi, as well as antimicrobial treatment of infectious diseases. Annals of Clinical Microbiology and Antimicrobials is an open access, peer-reviewed journal focusing on information concerning clinical microbiology, infectious diseases and antimicrobials. The management of infectious disease is dependent on correct diagnosis and appropriate antimicrobial treatment, and with this in mind, the journal aims to improve the communication between laboratory and clinical science in the field of clinical microbiology and antimicrobial treatment. Furthermore, the journal has no restrictions on space or access; this ensures that the journal can reach the widest possible audience.
×
引用
GB/T 7714-2015
复制
MLA
复制
APA
复制
导出至
BibTeX EndNote RefMan NoteFirst NoteExpress
×
提示
您的信息不完整,为了账户安全,请先补充。
现在去补充
×
提示
您因"违规操作"
具体请查看互助需知
我知道了
×
提示
确定
请完成安全验证×
copy
已复制链接
快去分享给好友吧!
我知道了
右上角分享
点击右上角分享
0
联系我们:info@booksci.cn Book学术提供免费学术资源搜索服务,方便国内外学者检索中英文文献。致力于提供最便捷和优质的服务体验。 Copyright © 2023 布克学术 All rights reserved.
京ICP备2023020795号-1
ghs 京公网安备 11010802042870号
Book学术文献互助
Book学术文献互助群
群 号:604180095
Book学术官方微信