预测ICU患者鞘内免疫球蛋白合成:基于igg指标的比较研究。

IF 5.5 1区 医学 Q1 CRITICAL CARE MEDICINE
Alexander Balcerac, Clémence Marois, Delphine Sterlin, Benjamin Rohaut, Sophie Demeret, Nicolas Weiss, Loic Le Guennec
{"title":"预测ICU患者鞘内免疫球蛋白合成:基于igg指标的比较研究。","authors":"Alexander Balcerac, Clémence Marois, Delphine Sterlin, Benjamin Rohaut, Sophie Demeret, Nicolas Weiss, Loic Le Guennec","doi":"10.1186/s13613-025-01475-7","DOIUrl":null,"url":null,"abstract":"<p><strong>Background: </strong>Central nervous system autoimmune diseases (CNS-AD) such as autoimmune encephalitis and myelitis are severe conditions, often requiring ICU admission. Early diagnosis is crucial but difficult, as initial steps facing sub-acute neurological disorders try to exclude non-immune causes such as stroke or infections through MRI and multiplex PCR assays. Current acute-phase autoimmune identifiers are lacking, with definitive diagnosis hinging on delayed tests like antibody detection or intrathecal immunoglobulin synthesis (ISI) identification via iso-electric focalization (IEF). This study evaluates surrogate markers, such as the IgG quotient (QIgG), IgG index, and Reiber's formula, which are rapidly obtainable, to quickly predict ISI in the ICU setting, aiming to expedite treatment initiation.</p><p><strong>Methods: </strong>We screened all neuro-ICU admissions from 2008 to 2022 in our center, including patients who underwent a lumbar puncture (LP) and were tested for ISI via IEF. We excluded those lacking concomitant CSF/serum albumin and IgG data. Patients were categorized by final diagnosis as \"CNS-AD\" or \"other\", and whether ISI was present. We calculated QIgG, IgG index, and Reiber's formula, comparing their performance to IEF for sensitivity (Se) and specificity (Sp).</p><p><strong>Results: </strong>ISI was detected in 35% of patients (93/266). In the \"CNS-AD\" group, 54% were ISI-positive, while 21% of patients in the \"Other\" group also showed ISI. Among the three indexes, only the IgG index showed strong specificity (95%) but moderate sensitivity (56%). QIgG and Reiber's formula had similar sensitivity (67% and 66%) but lower specificity (41% for both). Multivariable analysis identified age < 50 years (OR 2.5 [95% CI 1.3-4.7]) and an IgG index > 0.7 (OR 14.2 [95% CI 6.6-32.0]) as factors independently associated with ISI positivity. Using the Youden index and likelihood ratio, we recalibrated thresholds to improve performance. A \"grey zone\" was defined for the IgG index (0.67-0.80), below which ISI was unlikely and above which it was considered probable.</p><p><strong>Conclusion: </strong>While the IgG index's low sensitivity limits its standalone diagnostic use, its high specificity makes this index a good one when positive, to weigh in the decision-making process to treat or not a patient with suspected CNS-AD, while awaiting IEF results, which can take days or even weeks in some centers.</p>","PeriodicalId":7966,"journal":{"name":"Annals of Intensive Care","volume":"15 1","pages":"60"},"PeriodicalIF":5.5000,"publicationDate":"2025-04-30","publicationTypes":"Journal Article","fieldsOfStudy":null,"isOpenAccess":false,"openAccessPdf":"https://www.ncbi.nlm.nih.gov/pmc/articles/PMC12043554/pdf/","citationCount":"0","resultStr":"{\"title\":\"Predicting intrathecal immunoglobulin synthesis in the ICU: a comparative study of IgG-based indexes.\",\"authors\":\"Alexander Balcerac, Clémence Marois, Delphine Sterlin, Benjamin Rohaut, Sophie Demeret, Nicolas Weiss, Loic Le Guennec\",\"doi\":\"10.1186/s13613-025-01475-7\",\"DOIUrl\":null,\"url\":null,\"abstract\":\"<p><strong>Background: </strong>Central nervous system autoimmune diseases (CNS-AD) such as autoimmune encephalitis and myelitis are severe conditions, often requiring ICU admission. Early diagnosis is crucial but difficult, as initial steps facing sub-acute neurological disorders try to exclude non-immune causes such as stroke or infections through MRI and multiplex PCR assays. Current acute-phase autoimmune identifiers are lacking, with definitive diagnosis hinging on delayed tests like antibody detection or intrathecal immunoglobulin synthesis (ISI) identification via iso-electric focalization (IEF). This study evaluates surrogate markers, such as the IgG quotient (QIgG), IgG index, and Reiber's formula, which are rapidly obtainable, to quickly predict ISI in the ICU setting, aiming to expedite treatment initiation.</p><p><strong>Methods: </strong>We screened all neuro-ICU admissions from 2008 to 2022 in our center, including patients who underwent a lumbar puncture (LP) and were tested for ISI via IEF. We excluded those lacking concomitant CSF/serum albumin and IgG data. Patients were categorized by final diagnosis as \\\"CNS-AD\\\" or \\\"other\\\", and whether ISI was present. We calculated QIgG, IgG index, and Reiber's formula, comparing their performance to IEF for sensitivity (Se) and specificity (Sp).</p><p><strong>Results: </strong>ISI was detected in 35% of patients (93/266). In the \\\"CNS-AD\\\" group, 54% were ISI-positive, while 21% of patients in the \\\"Other\\\" group also showed ISI. Among the three indexes, only the IgG index showed strong specificity (95%) but moderate sensitivity (56%). QIgG and Reiber's formula had similar sensitivity (67% and 66%) but lower specificity (41% for both). Multivariable analysis identified age < 50 years (OR 2.5 [95% CI 1.3-4.7]) and an IgG index > 0.7 (OR 14.2 [95% CI 6.6-32.0]) as factors independently associated with ISI positivity. Using the Youden index and likelihood ratio, we recalibrated thresholds to improve performance. A \\\"grey zone\\\" was defined for the IgG index (0.67-0.80), below which ISI was unlikely and above which it was considered probable.</p><p><strong>Conclusion: </strong>While the IgG index's low sensitivity limits its standalone diagnostic use, its high specificity makes this index a good one when positive, to weigh in the decision-making process to treat or not a patient with suspected CNS-AD, while awaiting IEF results, which can take days or even weeks in some centers.</p>\",\"PeriodicalId\":7966,\"journal\":{\"name\":\"Annals of Intensive Care\",\"volume\":\"15 1\",\"pages\":\"60\"},\"PeriodicalIF\":5.5000,\"publicationDate\":\"2025-04-30\",\"publicationTypes\":\"Journal Article\",\"fieldsOfStudy\":null,\"isOpenAccess\":false,\"openAccessPdf\":\"https://www.ncbi.nlm.nih.gov/pmc/articles/PMC12043554/pdf/\",\"citationCount\":\"0\",\"resultStr\":null,\"platform\":\"Semanticscholar\",\"paperid\":null,\"PeriodicalName\":\"Annals of Intensive Care\",\"FirstCategoryId\":\"3\",\"ListUrlMain\":\"https://doi.org/10.1186/s13613-025-01475-7\",\"RegionNum\":1,\"RegionCategory\":\"医学\",\"ArticlePicture\":[],\"TitleCN\":null,\"AbstractTextCN\":null,\"PMCID\":null,\"EPubDate\":\"\",\"PubModel\":\"\",\"JCR\":\"Q1\",\"JCRName\":\"CRITICAL CARE MEDICINE\",\"Score\":null,\"Total\":0}","platform":"Semanticscholar","paperid":null,"PeriodicalName":"Annals of Intensive Care","FirstCategoryId":"3","ListUrlMain":"https://doi.org/10.1186/s13613-025-01475-7","RegionNum":1,"RegionCategory":"医学","ArticlePicture":[],"TitleCN":null,"AbstractTextCN":null,"PMCID":null,"EPubDate":"","PubModel":"","JCR":"Q1","JCRName":"CRITICAL CARE MEDICINE","Score":null,"Total":0}
引用次数: 0

摘要

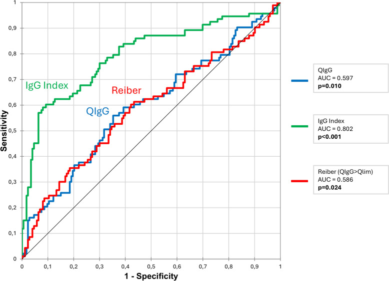
背景:中枢神经系统自身免疫性疾病(CNS-AD)如自身免疫性脑炎和脊髓炎是严重的疾病,通常需要ICU住院。早期诊断至关重要,但也很困难,因为针对亚急性神经系统疾病的最初步骤试图通过MRI和多重PCR检测排除非免疫原因,如中风或感染。目前缺乏急性期自身免疫识别,明确的诊断依赖于延迟的测试,如抗体检测或通过等电聚焦(IEF)鉴定鞘内免疫球蛋白合成(ISI)。本研究评估了替代标记物,如IgG商(QIgG)、IgG指数和Reiber公式,这些可以快速获得,以快速预测ICU环境中的ISI,旨在加快治疗启动。方法:我们筛选了2008年至2022年在我们中心所有神经icu入院的患者,包括接受腰椎穿刺(LP)并通过IEF检测ISI的患者。我们排除了缺乏脑脊液/血清白蛋白和IgG数据的患者。根据最终诊断将患者分类为“CNS-AD”或“其他”,以及是否存在ISI。我们计算了QIgG、IgG指数和Reiber公式,比较了它们与IEF的敏感性(Se)和特异性(Sp)。结果:35%的患者(93/266)检测到ISI。“CNS-AD”组有54%的患者ISI阳性,“Other”组也有21%的患者ISI阳性。三个指标中,只有IgG指标特异性强(95%),敏感性中等(56%)。QIgG和Reiber公式的敏感性相似(67%和66%),但特异性较低(两者均为41%)。多变量分析发现年龄0.7 (OR 14.2 [95% CI 6.6-32.0])是ISI阳性的独立相关因素。使用约登指数和似然比,我们重新校准阈值以提高性能。IgG指数定义了一个“灰色地带”(0.67-0.80),低于该指数ISI不太可能,高于该指数ISI被认为可能。结论:虽然IgG指数的低灵敏度限制了其单独诊断的使用,但其高特异性使得该指数在阳性时是一个很好的指标,可以在等待IEF结果的过程中权衡是否治疗疑似CNS-AD患者的决策过程,在一些中心可能需要数天甚至数周的时间。
本文章由计算机程序翻译,如有差异,请以英文原文为准。

Predicting intrathecal immunoglobulin synthesis in the ICU: a comparative study of IgG-based indexes.

Predicting intrathecal immunoglobulin synthesis in the ICU: a comparative study of IgG-based indexes.

Predicting intrathecal immunoglobulin synthesis in the ICU: a comparative study of IgG-based indexes.

Predicting intrathecal immunoglobulin synthesis in the ICU: a comparative study of IgG-based indexes.

Background: Central nervous system autoimmune diseases (CNS-AD) such as autoimmune encephalitis and myelitis are severe conditions, often requiring ICU admission. Early diagnosis is crucial but difficult, as initial steps facing sub-acute neurological disorders try to exclude non-immune causes such as stroke or infections through MRI and multiplex PCR assays. Current acute-phase autoimmune identifiers are lacking, with definitive diagnosis hinging on delayed tests like antibody detection or intrathecal immunoglobulin synthesis (ISI) identification via iso-electric focalization (IEF). This study evaluates surrogate markers, such as the IgG quotient (QIgG), IgG index, and Reiber's formula, which are rapidly obtainable, to quickly predict ISI in the ICU setting, aiming to expedite treatment initiation.

Methods: We screened all neuro-ICU admissions from 2008 to 2022 in our center, including patients who underwent a lumbar puncture (LP) and were tested for ISI via IEF. We excluded those lacking concomitant CSF/serum albumin and IgG data. Patients were categorized by final diagnosis as "CNS-AD" or "other", and whether ISI was present. We calculated QIgG, IgG index, and Reiber's formula, comparing their performance to IEF for sensitivity (Se) and specificity (Sp).

Results: ISI was detected in 35% of patients (93/266). In the "CNS-AD" group, 54% were ISI-positive, while 21% of patients in the "Other" group also showed ISI. Among the three indexes, only the IgG index showed strong specificity (95%) but moderate sensitivity (56%). QIgG and Reiber's formula had similar sensitivity (67% and 66%) but lower specificity (41% for both). Multivariable analysis identified age < 50 years (OR 2.5 [95% CI 1.3-4.7]) and an IgG index > 0.7 (OR 14.2 [95% CI 6.6-32.0]) as factors independently associated with ISI positivity. Using the Youden index and likelihood ratio, we recalibrated thresholds to improve performance. A "grey zone" was defined for the IgG index (0.67-0.80), below which ISI was unlikely and above which it was considered probable.

Conclusion: While the IgG index's low sensitivity limits its standalone diagnostic use, its high specificity makes this index a good one when positive, to weigh in the decision-making process to treat or not a patient with suspected CNS-AD, while awaiting IEF results, which can take days or even weeks in some centers.

求助全文
通过发布文献求助,成功后即可免费获取论文全文。 去求助
来源期刊
Annals of Intensive Care
Annals of Intensive Care CRITICAL CARE MEDICINE-
CiteScore
14.20
自引率
3.70%
发文量
107
审稿时长
13 weeks
期刊介绍: Annals of Intensive Care is an online peer-reviewed journal that publishes high-quality review articles and original research papers in the field of intensive care medicine. It targets critical care providers including attending physicians, fellows, residents, nurses, and physiotherapists, who aim to enhance their knowledge and provide optimal care for their patients. The journal's articles are included in various prestigious databases such as CAS, Current contents, DOAJ, Embase, Journal Citation Reports/Science Edition, OCLC, PubMed, PubMed Central, Science Citation Index Expanded, SCOPUS, and Summon by Serial Solutions.
×
引用
GB/T 7714-2015
复制
MLA
复制
APA
复制
导出至
BibTeX EndNote RefMan NoteFirst NoteExpress
×
提示
您的信息不完整,为了账户安全,请先补充。
现在去补充
×
提示
您因"违规操作"
具体请查看互助需知
我知道了
×
提示
确定
请完成安全验证×
copy
已复制链接
快去分享给好友吧!
我知道了
右上角分享
点击右上角分享
0
联系我们:info@booksci.cn Book学术提供免费学术资源搜索服务,方便国内外学者检索中英文文献。致力于提供最便捷和优质的服务体验。 Copyright © 2023 布克学术 All rights reserved.
京ICP备2023020795号-1
ghs 京公网安备 11010802042870号
Book学术文献互助
Book学术文献互助群
群 号:604180095
Book学术官方微信