医疗保健中的数字创新:量化数字败血症筛查工具对患者结果的影响-一项多地点自然实验。

IF 4.4 Q1 HEALTH CARE SCIENCES & SERVICES
Kate Honeyford, Alf Timney, Runa Lazzarino, John Welch, Andrew Jonathan Brent, Anne Kinderlerer, Peter Ghazal, Anthony C Gordon, Shashank Patil, Graham Cooke, Ceire E Costelloe
{"title":"医疗保健中的数字创新:量化数字败血症筛查工具对患者结果的影响-一项多地点自然实验。","authors":"Kate Honeyford, Alf Timney, Runa Lazzarino, John Welch, Andrew Jonathan Brent, Anne Kinderlerer, Peter Ghazal, Anthony C Gordon, Shashank Patil, Graham Cooke, Ceire E Costelloe","doi":"10.1136/bmjhci-2024-101141","DOIUrl":null,"url":null,"abstract":"<p><strong>Introduction: </strong>The National Health Service (NHS) 'move to digital' incorporating electronic patient record systems (EPR) facilitates the translation of paper-based screening tools into digital systems, including digital sepsis alerts. We evaluated the impact of sepsis screening tools on in-patient 30-day mortality across four multi-hospital NHS Trusts, each using a different algorithm for early detection of sepsis.</p><p><strong>Methods: </strong>Using quasi-experimental methods, we investigated the impact of the screening tools. Individual-level EPR data for 718 000 patients between 2010 and 2020 were extracted to assess the impact on a target cohort and control cohort using interrupted time series analysis, based on a binomial regression model. We included one Trust which uses a paper-based screening tool to compare the impact of digital and paper-based interventions, and one Trust which did not introduce a sepsis screening tool, but did introduce an EPR.</p><p><strong>Results: </strong>All Trusts had lower odds of mortality, between 5% and 12%, after the introduction of the sepsis screening tool, before adjustment for pre-existing trends or patient casemix. After adjustment for existing trends, there was a significant reduction in mortality in two of the three Trusts which introduced sepsis screening tools. We also observed age-specific effects across Trusts.</p><p><strong>Conclusion: </strong>Our findings confirm that patients with similar profiles have a lower mortality risk, consistent with our previous work. This study, conducted across multiple NHS Trusts, suggests that alerts could be tailored to specific patient groups based on age-related effects. Different Trusts may require unique indicators, thresholds, actions and treatments. Including additional EPR information could further enhance personalised care.</p>","PeriodicalId":9050,"journal":{"name":"BMJ Health & Care Informatics","volume":"32 1","pages":""},"PeriodicalIF":4.4000,"publicationDate":"2025-04-27","publicationTypes":"Journal Article","fieldsOfStudy":null,"isOpenAccess":false,"openAccessPdf":"https://www.ncbi.nlm.nih.gov/pmc/articles/PMC12035476/pdf/","citationCount":"0","resultStr":"{\"title\":\"Digital innovation in healthcare: quantifying the impact of digital sepsis screening tools on patient outcomes-a multi-site natural experiment.\",\"authors\":\"Kate Honeyford, Alf Timney, Runa Lazzarino, John Welch, Andrew Jonathan Brent, Anne Kinderlerer, Peter Ghazal, Anthony C Gordon, Shashank Patil, Graham Cooke, Ceire E Costelloe\",\"doi\":\"10.1136/bmjhci-2024-101141\",\"DOIUrl\":null,\"url\":null,\"abstract\":\"<p><strong>Introduction: </strong>The National Health Service (NHS) 'move to digital' incorporating electronic patient record systems (EPR) facilitates the translation of paper-based screening tools into digital systems, including digital sepsis alerts. We evaluated the impact of sepsis screening tools on in-patient 30-day mortality across four multi-hospital NHS Trusts, each using a different algorithm for early detection of sepsis.</p><p><strong>Methods: </strong>Using quasi-experimental methods, we investigated the impact of the screening tools. Individual-level EPR data for 718 000 patients between 2010 and 2020 were extracted to assess the impact on a target cohort and control cohort using interrupted time series analysis, based on a binomial regression model. We included one Trust which uses a paper-based screening tool to compare the impact of digital and paper-based interventions, and one Trust which did not introduce a sepsis screening tool, but did introduce an EPR.</p><p><strong>Results: </strong>All Trusts had lower odds of mortality, between 5% and 12%, after the introduction of the sepsis screening tool, before adjustment for pre-existing trends or patient casemix. After adjustment for existing trends, there was a significant reduction in mortality in two of the three Trusts which introduced sepsis screening tools. We also observed age-specific effects across Trusts.</p><p><strong>Conclusion: </strong>Our findings confirm that patients with similar profiles have a lower mortality risk, consistent with our previous work. This study, conducted across multiple NHS Trusts, suggests that alerts could be tailored to specific patient groups based on age-related effects. Different Trusts may require unique indicators, thresholds, actions and treatments. Including additional EPR information could further enhance personalised care.</p>\",\"PeriodicalId\":9050,\"journal\":{\"name\":\"BMJ Health & Care Informatics\",\"volume\":\"32 1\",\"pages\":\"\"},\"PeriodicalIF\":4.4000,\"publicationDate\":\"2025-04-27\",\"publicationTypes\":\"Journal Article\",\"fieldsOfStudy\":null,\"isOpenAccess\":false,\"openAccessPdf\":\"https://www.ncbi.nlm.nih.gov/pmc/articles/PMC12035476/pdf/\",\"citationCount\":\"0\",\"resultStr\":null,\"platform\":\"Semanticscholar\",\"paperid\":null,\"PeriodicalName\":\"BMJ Health & Care Informatics\",\"FirstCategoryId\":\"1085\",\"ListUrlMain\":\"https://doi.org/10.1136/bmjhci-2024-101141\",\"RegionNum\":0,\"RegionCategory\":null,\"ArticlePicture\":[],\"TitleCN\":null,\"AbstractTextCN\":null,\"PMCID\":null,\"EPubDate\":\"\",\"PubModel\":\"\",\"JCR\":\"Q1\",\"JCRName\":\"HEALTH CARE SCIENCES & SERVICES\",\"Score\":null,\"Total\":0}","platform":"Semanticscholar","paperid":null,"PeriodicalName":"BMJ Health & Care Informatics","FirstCategoryId":"1085","ListUrlMain":"https://doi.org/10.1136/bmjhci-2024-101141","RegionNum":0,"RegionCategory":null,"ArticlePicture":[],"TitleCN":null,"AbstractTextCN":null,"PMCID":null,"EPubDate":"","PubModel":"","JCR":"Q1","JCRName":"HEALTH CARE SCIENCES & SERVICES","Score":null,"Total":0}
引用次数: 0

摘要

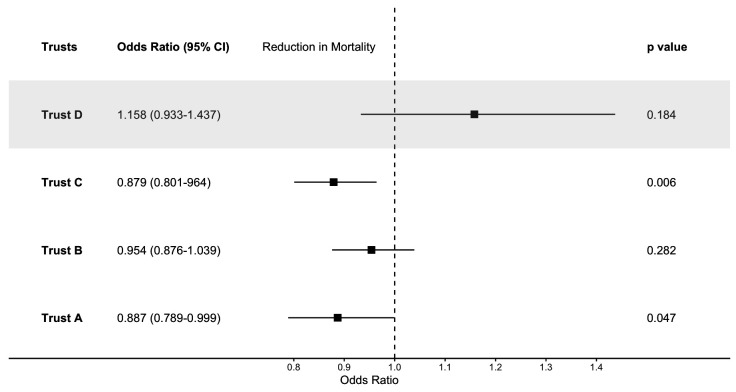
简介:国民保健服务(NHS)“数字化”:合并电子病历系统(EPR)有助于将纸质筛查工具转换为数字系统,包括数字败血症警报。我们评估了四家多医院NHS信托机构的败血症筛查工具对住院患者30天死亡率的影响,每家信托机构都使用不同的算法来早期检测败血症。方法:采用准实验方法,考察筛选工具的影响。提取2010年至2020年间71.8万例患者的个体水平EPR数据,基于二项回归模型,使用中断时间序列分析评估对目标队列和对照队列的影响。我们纳入了一个使用基于纸张的筛查工具来比较数字和基于纸张的干预措施的影响的信托机构,以及一个没有引入败血症筛查工具但引入EPR的信托机构。结果:在引入败血症筛查工具后,在调整既往趋势或患者病例组合之前,所有信托机构的死亡率都较低,在5%至12%之间。在对现有趋势进行调整后,引入败血症筛查工具的三个信托基金中有两个的死亡率显着降低。我们还观察了各信托机构的年龄特异性效应。结论:我们的研究结果证实,具有相似特征的患者具有较低的死亡风险,这与我们之前的工作一致。这项在多个NHS信托机构进行的研究表明,警报可以根据与年龄相关的影响为特定的患者群体量身定制。不同的信托可能需要不同的指标、阈值、行动和处理方法。包括额外的EPR信息可以进一步加强个性化护理。
本文章由计算机程序翻译,如有差异,请以英文原文为准。

Digital innovation in healthcare: quantifying the impact of digital sepsis screening tools on patient outcomes-a multi-site natural experiment.

Digital innovation in healthcare: quantifying the impact of digital sepsis screening tools on patient outcomes-a multi-site natural experiment.

Digital innovation in healthcare: quantifying the impact of digital sepsis screening tools on patient outcomes-a multi-site natural experiment.

Introduction: The National Health Service (NHS) 'move to digital' incorporating electronic patient record systems (EPR) facilitates the translation of paper-based screening tools into digital systems, including digital sepsis alerts. We evaluated the impact of sepsis screening tools on in-patient 30-day mortality across four multi-hospital NHS Trusts, each using a different algorithm for early detection of sepsis.

Methods: Using quasi-experimental methods, we investigated the impact of the screening tools. Individual-level EPR data for 718 000 patients between 2010 and 2020 were extracted to assess the impact on a target cohort and control cohort using interrupted time series analysis, based on a binomial regression model. We included one Trust which uses a paper-based screening tool to compare the impact of digital and paper-based interventions, and one Trust which did not introduce a sepsis screening tool, but did introduce an EPR.

Results: All Trusts had lower odds of mortality, between 5% and 12%, after the introduction of the sepsis screening tool, before adjustment for pre-existing trends or patient casemix. After adjustment for existing trends, there was a significant reduction in mortality in two of the three Trusts which introduced sepsis screening tools. We also observed age-specific effects across Trusts.

Conclusion: Our findings confirm that patients with similar profiles have a lower mortality risk, consistent with our previous work. This study, conducted across multiple NHS Trusts, suggests that alerts could be tailored to specific patient groups based on age-related effects. Different Trusts may require unique indicators, thresholds, actions and treatments. Including additional EPR information could further enhance personalised care.

求助全文
通过发布文献求助,成功后即可免费获取论文全文。 去求助
来源期刊
CiteScore
6.10
自引率
4.90%
发文量
40
审稿时长
18 weeks
×
引用
GB/T 7714-2015
复制
MLA
复制
APA
复制
导出至
BibTeX EndNote RefMan NoteFirst NoteExpress
×
提示
您的信息不完整,为了账户安全,请先补充。
现在去补充
×
提示
您因"违规操作"
具体请查看互助需知
我知道了
×
提示
确定
请完成安全验证×
copy
已复制链接
快去分享给好友吧!
我知道了
右上角分享
点击右上角分享
0
联系我们:info@booksci.cn Book学术提供免费学术资源搜索服务,方便国内外学者检索中英文文献。致力于提供最便捷和优质的服务体验。 Copyright © 2023 布克学术 All rights reserved.
京ICP备2023020795号-1
ghs 京公网安备 11010802042870号
Book学术文献互助
Book学术文献互助群
群 号:604180095
Book学术官方微信