预测前哨淋巴结活检后黑色素瘤患者无复发和黑色素瘤特异性生存的模型的外部验证。

IF 8.8 1区 医学 Q1 SURGERY
Robert C Stassen, Carolien C H M Maas, Stanley P Leong, Mohammed Kashani-Sabet, Richard L White, Barbara A Pockaj, Jonathan S Zager, Schlomo Schneebaum, John T Vetto, Eli Avisar, J Harrison Howard, Cristina O'Donoghue, Heidi Kosiorek, Alexander C J van Akkooi, Cornelis Verhoef, David van Klaveren, Dirk J Grünhagen, Roger Olofsson Bagge
{"title":"预测前哨淋巴结活检后黑色素瘤患者无复发和黑色素瘤特异性生存的模型的外部验证。","authors":"Robert C Stassen, Carolien C H M Maas, Stanley P Leong, Mohammed Kashani-Sabet, Richard L White, Barbara A Pockaj, Jonathan S Zager, Schlomo Schneebaum, John T Vetto, Eli Avisar, J Harrison Howard, Cristina O'Donoghue, Heidi Kosiorek, Alexander C J van Akkooi, Cornelis Verhoef, David van Klaveren, Dirk J Grünhagen, Roger Olofsson Bagge","doi":"10.1093/bjs/znaf037","DOIUrl":null,"url":null,"abstract":"<p><strong>Background: </strong>Recently, a model to predict 5-year recurrence-free survival (RFS) and melanoma-specific survival (MSS) after sentinel lymph node biopsy (SLNB) was published. The aim of this study was to validate that model in a large independent international cohort.</p><p><strong>Methods: </strong>The database of the Sentinel Lymph Node Working Group (SLNWG) was analysed for patients with malignant melanoma who underwent SLNB. Patients with clinical stage III melanoma, a history of other malignancies, or receiving concomitant systemic therapies during follow-up were excluded. The model's predictive performance was evaluated using discrimination and calibration metrics in the eligible cohort. Decision curve analysis was performed to assess the clinical value of the model.</p><p><strong>Results: </strong>The external validation cohort consisted of 6174 patients of the SLNWG from the USA, Europe, and Israel. A positive sentinel node was found in 788 patients (12.8%). The area under the time-dependent receiver operating characteristic (ROC) curve of the external validation was 0.76 (95% c.i. 0.74 to 0.77) for RFS and 0.79 (95% c.i. 0.76 to 0.81) for MSS. The model was well calibrated, as the observed 5-year survival rates aligned closely with the predicted survival rates (calibration slope of 0.98 for RFS and calibration slope of 0.99 for MSS). The model provided a net benefit versus the 'treat all' and 'treat none' strategies at the predetermined probability threshold for recurrence of 45%.</p><p><strong>Conclusion: </strong>The model demonstrated good performance in a large heterogeneous independent cohort, emphasizing its robustness. Decision curve analysis revealed a clear net benefit of the model over a treat all strategy, highlighting its potential for clinical use.</p>","PeriodicalId":136,"journal":{"name":"British Journal of Surgery","volume":"112 4","pages":""},"PeriodicalIF":8.8000,"publicationDate":"2025-03-28","publicationTypes":"Journal Article","fieldsOfStudy":null,"isOpenAccess":false,"openAccessPdf":"https://www.ncbi.nlm.nih.gov/pmc/articles/PMC12004364/pdf/","citationCount":"0","resultStr":"{\"title\":\"External validation of a model to predict recurrence-free and melanoma-specific survival for patients with melanoma after sentinel node biopsy.\",\"authors\":\"Robert C Stassen, Carolien C H M Maas, Stanley P Leong, Mohammed Kashani-Sabet, Richard L White, Barbara A Pockaj, Jonathan S Zager, Schlomo Schneebaum, John T Vetto, Eli Avisar, J Harrison Howard, Cristina O'Donoghue, Heidi Kosiorek, Alexander C J van Akkooi, Cornelis Verhoef, David van Klaveren, Dirk J Grünhagen, Roger Olofsson Bagge\",\"doi\":\"10.1093/bjs/znaf037\",\"DOIUrl\":null,\"url\":null,\"abstract\":\"<p><strong>Background: </strong>Recently, a model to predict 5-year recurrence-free survival (RFS) and melanoma-specific survival (MSS) after sentinel lymph node biopsy (SLNB) was published. The aim of this study was to validate that model in a large independent international cohort.</p><p><strong>Methods: </strong>The database of the Sentinel Lymph Node Working Group (SLNWG) was analysed for patients with malignant melanoma who underwent SLNB. Patients with clinical stage III melanoma, a history of other malignancies, or receiving concomitant systemic therapies during follow-up were excluded. The model's predictive performance was evaluated using discrimination and calibration metrics in the eligible cohort. Decision curve analysis was performed to assess the clinical value of the model.</p><p><strong>Results: </strong>The external validation cohort consisted of 6174 patients of the SLNWG from the USA, Europe, and Israel. A positive sentinel node was found in 788 patients (12.8%). The area under the time-dependent receiver operating characteristic (ROC) curve of the external validation was 0.76 (95% c.i. 0.74 to 0.77) for RFS and 0.79 (95% c.i. 0.76 to 0.81) for MSS. The model was well calibrated, as the observed 5-year survival rates aligned closely with the predicted survival rates (calibration slope of 0.98 for RFS and calibration slope of 0.99 for MSS). The model provided a net benefit versus the 'treat all' and 'treat none' strategies at the predetermined probability threshold for recurrence of 45%.</p><p><strong>Conclusion: </strong>The model demonstrated good performance in a large heterogeneous independent cohort, emphasizing its robustness. Decision curve analysis revealed a clear net benefit of the model over a treat all strategy, highlighting its potential for clinical use.</p>\",\"PeriodicalId\":136,\"journal\":{\"name\":\"British Journal of Surgery\",\"volume\":\"112 4\",\"pages\":\"\"},\"PeriodicalIF\":8.8000,\"publicationDate\":\"2025-03-28\",\"publicationTypes\":\"Journal Article\",\"fieldsOfStudy\":null,\"isOpenAccess\":false,\"openAccessPdf\":\"https://www.ncbi.nlm.nih.gov/pmc/articles/PMC12004364/pdf/\",\"citationCount\":\"0\",\"resultStr\":null,\"platform\":\"Semanticscholar\",\"paperid\":null,\"PeriodicalName\":\"British Journal of Surgery\",\"FirstCategoryId\":\"3\",\"ListUrlMain\":\"https://doi.org/10.1093/bjs/znaf037\",\"RegionNum\":1,\"RegionCategory\":\"医学\",\"ArticlePicture\":[],\"TitleCN\":null,\"AbstractTextCN\":null,\"PMCID\":null,\"EPubDate\":\"\",\"PubModel\":\"\",\"JCR\":\"Q1\",\"JCRName\":\"SURGERY\",\"Score\":null,\"Total\":0}","platform":"Semanticscholar","paperid":null,"PeriodicalName":"British Journal of Surgery","FirstCategoryId":"3","ListUrlMain":"https://doi.org/10.1093/bjs/znaf037","RegionNum":1,"RegionCategory":"医学","ArticlePicture":[],"TitleCN":null,"AbstractTextCN":null,"PMCID":null,"EPubDate":"","PubModel":"","JCR":"Q1","JCRName":"SURGERY","Score":null,"Total":0}
引用次数: 0

摘要

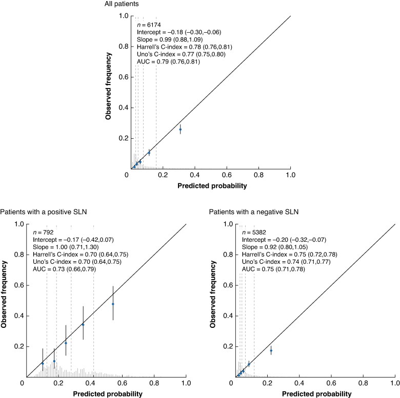
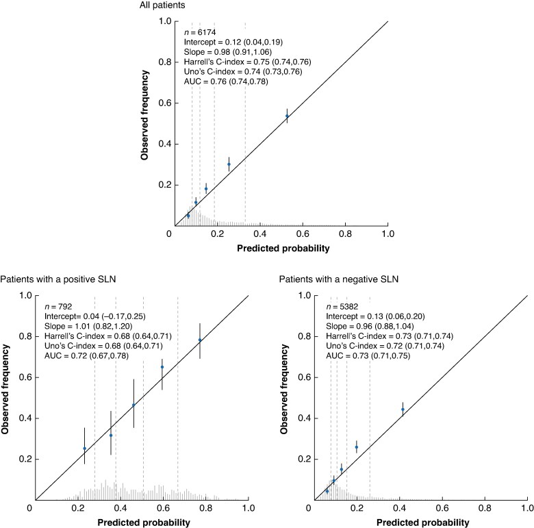
背景:最近,一个预测前哨淋巴结活检(SLNB)后5年无复发生存率(RFS)和黑色素瘤特异性生存率(MSS)的模型被发表。本研究的目的是在一个大型独立的国际队列中验证该模型。方法:对恶性黑色素瘤行前哨淋巴结工作组(SLNWG)数据库进行分析。排除临床III期黑色素瘤、其他恶性肿瘤病史或在随访期间接受全身治疗的患者。在符合条件的队列中使用判别和校准指标来评估模型的预测性能。采用决策曲线分析评价模型的临床应用价值。结果:外部验证队列包括来自美国、欧洲和以色列的6174例SLNWG患者。前哨淋巴结阳性788例(12.8%)。外部验证的时间依赖性受试者工作特征(ROC)曲线下面积为0.76 (95% c.i. 0.74 ~ 0.77), RFS为0.79 (95% c.i. 0.76 ~ 0.81)。该模型得到了很好的校准,因为观察到的5年生存率与预测生存率非常接近(RFS的校准斜率为0.98,MSS的校准斜率为0.99)。与“全部治疗”和“不治疗”策略相比,该模型在预先确定的45%复发概率阈值下提供了净收益。结论:该模型在大型异质独立队列中表现良好,鲁棒性较强。决策曲线分析显示,该模型明显优于全部治疗策略,突出了其临床应用潜力。
本文章由计算机程序翻译,如有差异,请以英文原文为准。

External validation of a model to predict recurrence-free and melanoma-specific survival for patients with melanoma after sentinel node biopsy.

External validation of a model to predict recurrence-free and melanoma-specific survival for patients with melanoma after sentinel node biopsy.

External validation of a model to predict recurrence-free and melanoma-specific survival for patients with melanoma after sentinel node biopsy.

External validation of a model to predict recurrence-free and melanoma-specific survival for patients with melanoma after sentinel node biopsy.

Background: Recently, a model to predict 5-year recurrence-free survival (RFS) and melanoma-specific survival (MSS) after sentinel lymph node biopsy (SLNB) was published. The aim of this study was to validate that model in a large independent international cohort.

Methods: The database of the Sentinel Lymph Node Working Group (SLNWG) was analysed for patients with malignant melanoma who underwent SLNB. Patients with clinical stage III melanoma, a history of other malignancies, or receiving concomitant systemic therapies during follow-up were excluded. The model's predictive performance was evaluated using discrimination and calibration metrics in the eligible cohort. Decision curve analysis was performed to assess the clinical value of the model.

Results: The external validation cohort consisted of 6174 patients of the SLNWG from the USA, Europe, and Israel. A positive sentinel node was found in 788 patients (12.8%). The area under the time-dependent receiver operating characteristic (ROC) curve of the external validation was 0.76 (95% c.i. 0.74 to 0.77) for RFS and 0.79 (95% c.i. 0.76 to 0.81) for MSS. The model was well calibrated, as the observed 5-year survival rates aligned closely with the predicted survival rates (calibration slope of 0.98 for RFS and calibration slope of 0.99 for MSS). The model provided a net benefit versus the 'treat all' and 'treat none' strategies at the predetermined probability threshold for recurrence of 45%.

Conclusion: The model demonstrated good performance in a large heterogeneous independent cohort, emphasizing its robustness. Decision curve analysis revealed a clear net benefit of the model over a treat all strategy, highlighting its potential for clinical use.

求助全文
通过发布文献求助,成功后即可免费获取论文全文。 去求助
来源期刊
CiteScore
12.70
自引率
7.30%
发文量
1102
审稿时长
1.5 months
期刊介绍: The British Journal of Surgery (BJS), incorporating the European Journal of Surgery, stands as Europe's leading peer-reviewed surgical journal. It serves as an invaluable platform for presenting high-quality clinical and laboratory-based research across a wide range of surgical topics. In addition to providing a comprehensive coverage of traditional surgical practices, BJS also showcases emerging areas in the field, such as minimally invasive therapy and interventional radiology. While the journal appeals to general surgeons, it also holds relevance for specialty surgeons and professionals working in closely related fields. By presenting cutting-edge research and advancements, BJS aims to revolutionize the way surgical knowledge is shared and contribute to the ongoing progress of the surgical community.
×
引用
GB/T 7714-2015
复制
MLA
复制
APA
复制
导出至
BibTeX EndNote RefMan NoteFirst NoteExpress
×
提示
您的信息不完整,为了账户安全,请先补充。
现在去补充
×
提示
您因"违规操作"
具体请查看互助需知
我知道了
×
提示
确定
请完成安全验证×
copy
已复制链接
快去分享给好友吧!
我知道了
右上角分享
点击右上角分享
0
联系我们:info@booksci.cn Book学术提供免费学术资源搜索服务,方便国内外学者检索中英文文献。致力于提供最便捷和优质的服务体验。 Copyright © 2023 布克学术 All rights reserved.
京ICP备2023020795号-1
ghs 京公网安备 11010802042870号
Book学术文献互助
Book学术文献互助群
群 号:604180095
Book学术官方微信