MoSe2单层膜的发光:温度和泵送的影响

IF 0.48 Q4 Physics and Astronomy
V. E. Bisti, A. S. Brichkin, G. M. Golyshkov, A. V. Chernenko
{"title":"MoSe2单层膜的发光:温度和泵送的影响","authors":"V. E. Bisti,&nbsp;A. S. Brichkin,&nbsp;G. M. Golyshkov,&nbsp;A. V. Chernenko","doi":"10.1134/S1062873824709516","DOIUrl":null,"url":null,"abstract":"<p>The luminescence of excitons and trions in a MoSe monolayer encapsulated with hBN under nonresonant photoexcitation of electron–hole pairs was studied as a function of temperature and pumping intensity. The shift of luminescence lines and the redistribution of intensities can be explained by the influence of both the Fermi gas of free electrons and localized states of electrons caused by the presence of impurities in boron nitride hBN.</p>","PeriodicalId":504,"journal":{"name":"Bulletin of the Russian Academy of Sciences: Physics","volume":"89 2","pages":"207 - 210"},"PeriodicalIF":0.4800,"publicationDate":"2025-04-24","publicationTypes":"Journal Article","fieldsOfStudy":null,"isOpenAccess":false,"openAccessPdf":"","citationCount":"0","resultStr":"{\"title\":\"Luminescence of MoSe2 Monolayers: Effect of Temperature and Pumping\",\"authors\":\"V. E. Bisti,&nbsp;A. S. Brichkin,&nbsp;G. M. Golyshkov,&nbsp;A. V. Chernenko\",\"doi\":\"10.1134/S1062873824709516\",\"DOIUrl\":null,\"url\":null,\"abstract\":\"<p>The luminescence of excitons and trions in a MoSe monolayer encapsulated with hBN under nonresonant photoexcitation of electron–hole pairs was studied as a function of temperature and pumping intensity. The shift of luminescence lines and the redistribution of intensities can be explained by the influence of both the Fermi gas of free electrons and localized states of electrons caused by the presence of impurities in boron nitride hBN.</p>\",\"PeriodicalId\":504,\"journal\":{\"name\":\"Bulletin of the Russian Academy of Sciences: Physics\",\"volume\":\"89 2\",\"pages\":\"207 - 210\"},\"PeriodicalIF\":0.4800,\"publicationDate\":\"2025-04-24\",\"publicationTypes\":\"Journal Article\",\"fieldsOfStudy\":null,\"isOpenAccess\":false,\"openAccessPdf\":\"\",\"citationCount\":\"0\",\"resultStr\":null,\"platform\":\"Semanticscholar\",\"paperid\":null,\"PeriodicalName\":\"Bulletin of the Russian Academy of Sciences: Physics\",\"FirstCategoryId\":\"1085\",\"ListUrlMain\":\"https://link.springer.com/article/10.1134/S1062873824709516\",\"RegionNum\":0,\"RegionCategory\":null,\"ArticlePicture\":[],\"TitleCN\":null,\"AbstractTextCN\":null,\"PMCID\":null,\"EPubDate\":\"\",\"PubModel\":\"\",\"JCR\":\"Q4\",\"JCRName\":\"Physics and Astronomy\",\"Score\":null,\"Total\":0}","platform":"Semanticscholar","paperid":null,"PeriodicalName":"Bulletin of the Russian Academy of Sciences: Physics","FirstCategoryId":"1085","ListUrlMain":"https://link.springer.com/article/10.1134/S1062873824709516","RegionNum":0,"RegionCategory":null,"ArticlePicture":[],"TitleCN":null,"AbstractTextCN":null,"PMCID":null,"EPubDate":"","PubModel":"","JCR":"Q4","JCRName":"Physics and Astronomy","Score":null,"Total":0}
引用次数: 0

摘要

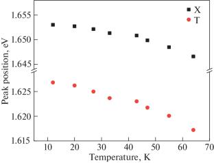
研究了在电子-空穴对非共振光激发下,hBN包覆的MoSe单层中激子和三角子的发光与温度和泵浦强度的关系。发光谱线的位移和强度的重新分布可以用自由电子的费米气体和氮化硼中杂质的存在引起的电子局域态的影响来解释。
本文章由计算机程序翻译,如有差异,请以英文原文为准。

Luminescence of MoSe2 Monolayers: Effect of Temperature and Pumping

Luminescence of MoSe2 Monolayers: Effect of Temperature and Pumping

The luminescence of excitons and trions in a MoSe monolayer encapsulated with hBN under nonresonant photoexcitation of electron–hole pairs was studied as a function of temperature and pumping intensity. The shift of luminescence lines and the redistribution of intensities can be explained by the influence of both the Fermi gas of free electrons and localized states of electrons caused by the presence of impurities in boron nitride hBN.

求助全文
通过发布文献求助,成功后即可免费获取论文全文。 去求助
来源期刊
Bulletin of the Russian Academy of Sciences: Physics
Bulletin of the Russian Academy of Sciences: Physics Physics and Astronomy-Physics and Astronomy (all)
CiteScore
0.90
自引率
0.00%
发文量
251
期刊介绍: Bulletin of the Russian Academy of Sciences: Physics is an international peer reviewed journal published with the participation of the Russian Academy of Sciences. It presents full-text articles (regular,  letters  to  the editor, reviews) with the most recent results in miscellaneous fields of physics and astronomy: nuclear physics, cosmic rays, condensed matter physics, plasma physics, optics and photonics, nanotechnologies, solar and astrophysics, physical applications in material sciences, life sciences, etc. Bulletin of the Russian Academy of Sciences: Physics  focuses on the most relevant multidisciplinary topics in natural sciences, both fundamental and applied. Manuscripts can be submitted in Russian and English languages and are subject to peer review. Accepted articles are usually combined in thematic issues on certain topics according to the journal editorial policy. Authors featured in the journal represent renowned scientific laboratories and institutes from different countries, including large international collaborations. There are globally recognized researchers among the authors: Nobel laureates and recipients of other awards, and members of national academies of sciences and international scientific societies.
×
引用
GB/T 7714-2015
复制
MLA
复制
APA
复制
导出至
BibTeX EndNote RefMan NoteFirst NoteExpress
×
提示
您的信息不完整,为了账户安全,请先补充。
现在去补充
×
提示
您因"违规操作"
具体请查看互助需知
我知道了
×
提示
确定
请完成安全验证×
copy
已复制链接
快去分享给好友吧!
我知道了
右上角分享
点击右上角分享
0
联系我们:info@booksci.cn Book学术提供免费学术资源搜索服务,方便国内外学者检索中英文文献。致力于提供最便捷和优质的服务体验。 Copyright © 2023 布克学术 All rights reserved.
京ICP备2023020795号-1
ghs 京公网安备 11010802042870号
Book学术文献互助
Book学术文献互助群
群 号:604180095
Book学术官方微信