张量完成通过杠杆采样和张量QR分解网络延迟估计

IF 3.5 2区 计算机科学 Q2 COMPUTER SCIENCE, ARTIFICIAL INTELLIGENCE
Jun Lei, Jiqian Zhao, Jingqi Wang, An-Bao Xu
{"title":"张量完成通过杠杆采样和张量QR分解网络延迟估计","authors":"Jun Lei,&nbsp;Jiqian Zhao,&nbsp;Jingqi Wang,&nbsp;An-Bao Xu","doi":"10.1007/s10489-025-06573-4","DOIUrl":null,"url":null,"abstract":"<div><p>This paper proposes a novel method for network latency estimation. Network latency estimation is a crucial indicator for evaluating network performance, yet accurate estimation of large-scale network latency requires substantial computation time. Therefore, this paper introduces a method capable of enhancing the speed of network latency estimation. The paper represents the data structure of network nodes as matrices and introduces a time dimension to form a tensor model, thereby transforming the entire network latency estimation problem into a tensor completion problem. The main contributions of this paper include: optimizing leveraged sampling for tensors to improve sampling speed, and on this basis, introducing the Qatar Riyal (QR) decomposition of tensors into the Alternating Direction Method of Multipliers (ADMM) framework to accelerate tensor completion; these two components are combined to form a new model called LNLS-TQR. Numerical experimental results demonstrate that this model significantly improves computation speed while maintaining high accuracy.</p></div>","PeriodicalId":8041,"journal":{"name":"Applied Intelligence","volume":"55 10","pages":""},"PeriodicalIF":3.5000,"publicationDate":"2025-04-24","publicationTypes":"Journal Article","fieldsOfStudy":null,"isOpenAccess":false,"openAccessPdf":"","citationCount":"0","resultStr":"{\"title\":\"Tensor completion via leverage sampling and tensor QR decomposition for network latency estimation\",\"authors\":\"Jun Lei,&nbsp;Jiqian Zhao,&nbsp;Jingqi Wang,&nbsp;An-Bao Xu\",\"doi\":\"10.1007/s10489-025-06573-4\",\"DOIUrl\":null,\"url\":null,\"abstract\":\"<div><p>This paper proposes a novel method for network latency estimation. Network latency estimation is a crucial indicator for evaluating network performance, yet accurate estimation of large-scale network latency requires substantial computation time. Therefore, this paper introduces a method capable of enhancing the speed of network latency estimation. The paper represents the data structure of network nodes as matrices and introduces a time dimension to form a tensor model, thereby transforming the entire network latency estimation problem into a tensor completion problem. The main contributions of this paper include: optimizing leveraged sampling for tensors to improve sampling speed, and on this basis, introducing the Qatar Riyal (QR) decomposition of tensors into the Alternating Direction Method of Multipliers (ADMM) framework to accelerate tensor completion; these two components are combined to form a new model called LNLS-TQR. Numerical experimental results demonstrate that this model significantly improves computation speed while maintaining high accuracy.</p></div>\",\"PeriodicalId\":8041,\"journal\":{\"name\":\"Applied Intelligence\",\"volume\":\"55 10\",\"pages\":\"\"},\"PeriodicalIF\":3.5000,\"publicationDate\":\"2025-04-24\",\"publicationTypes\":\"Journal Article\",\"fieldsOfStudy\":null,\"isOpenAccess\":false,\"openAccessPdf\":\"\",\"citationCount\":\"0\",\"resultStr\":null,\"platform\":\"Semanticscholar\",\"paperid\":null,\"PeriodicalName\":\"Applied Intelligence\",\"FirstCategoryId\":\"94\",\"ListUrlMain\":\"https://link.springer.com/article/10.1007/s10489-025-06573-4\",\"RegionNum\":2,\"RegionCategory\":\"计算机科学\",\"ArticlePicture\":[],\"TitleCN\":null,\"AbstractTextCN\":null,\"PMCID\":null,\"EPubDate\":\"\",\"PubModel\":\"\",\"JCR\":\"Q2\",\"JCRName\":\"COMPUTER SCIENCE, ARTIFICIAL INTELLIGENCE\",\"Score\":null,\"Total\":0}","platform":"Semanticscholar","paperid":null,"PeriodicalName":"Applied Intelligence","FirstCategoryId":"94","ListUrlMain":"https://link.springer.com/article/10.1007/s10489-025-06573-4","RegionNum":2,"RegionCategory":"计算机科学","ArticlePicture":[],"TitleCN":null,"AbstractTextCN":null,"PMCID":null,"EPubDate":"","PubModel":"","JCR":"Q2","JCRName":"COMPUTER SCIENCE, ARTIFICIAL INTELLIGENCE","Score":null,"Total":0}
引用次数: 0

摘要

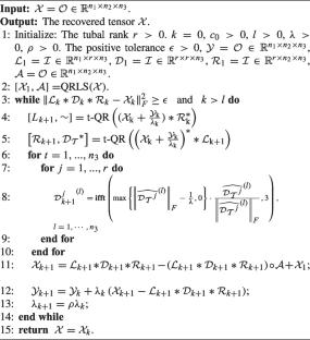
提出了一种新的网络时延估计方法。网络延迟估计是评估网络性能的一个重要指标,但准确估计大规模网络延迟需要大量的计算时间。因此,本文介绍了一种能够提高网络时延估计速度的方法。本文将网络节点的数据结构表示为矩阵,并引入时间维度形成张量模型,从而将整个网络时延估计问题转化为张量补全问题。本文的主要贡献包括:优化张量杠杆采样,提高采样速度,并在此基础上,将张量的卡塔尔里亚尔(QR)分解引入到乘法器交替方向法(ADMM)框架中,加速张量补全;这两个组件组合在一起,形成一个名为LNLS-TQR的新模型。数值实验结果表明,该模型在保持较高精度的同时,显著提高了计算速度。
本文章由计算机程序翻译,如有差异,请以英文原文为准。

Tensor completion via leverage sampling and tensor QR decomposition for network latency estimation

Tensor completion via leverage sampling and tensor QR decomposition for network latency estimation

Tensor completion via leverage sampling and tensor QR decomposition for network latency estimation

This paper proposes a novel method for network latency estimation. Network latency estimation is a crucial indicator for evaluating network performance, yet accurate estimation of large-scale network latency requires substantial computation time. Therefore, this paper introduces a method capable of enhancing the speed of network latency estimation. The paper represents the data structure of network nodes as matrices and introduces a time dimension to form a tensor model, thereby transforming the entire network latency estimation problem into a tensor completion problem. The main contributions of this paper include: optimizing leveraged sampling for tensors to improve sampling speed, and on this basis, introducing the Qatar Riyal (QR) decomposition of tensors into the Alternating Direction Method of Multipliers (ADMM) framework to accelerate tensor completion; these two components are combined to form a new model called LNLS-TQR. Numerical experimental results demonstrate that this model significantly improves computation speed while maintaining high accuracy.

求助全文
通过发布文献求助,成功后即可免费获取论文全文。 去求助
来源期刊
Applied Intelligence
Applied Intelligence 工程技术-计算机:人工智能
CiteScore
6.60
自引率
20.80%
发文量
1361
审稿时长
5.9 months
期刊介绍: With a focus on research in artificial intelligence and neural networks, this journal addresses issues involving solutions of real-life manufacturing, defense, management, government and industrial problems which are too complex to be solved through conventional approaches and require the simulation of intelligent thought processes, heuristics, applications of knowledge, and distributed and parallel processing. The integration of these multiple approaches in solving complex problems is of particular importance. The journal presents new and original research and technological developments, addressing real and complex issues applicable to difficult problems. It provides a medium for exchanging scientific research and technological achievements accomplished by the international community.
×
引用
GB/T 7714-2015
复制
MLA
复制
APA
复制
导出至
BibTeX EndNote RefMan NoteFirst NoteExpress
×
提示
您的信息不完整,为了账户安全,请先补充。
现在去补充
×
提示
您因"违规操作"
具体请查看互助需知
我知道了
×
提示
确定
请完成安全验证×
copy
已复制链接
快去分享给好友吧!
我知道了
右上角分享
点击右上角分享
0
联系我们:info@booksci.cn Book学术提供免费学术资源搜索服务,方便国内外学者检索中英文文献。致力于提供最便捷和优质的服务体验。 Copyright © 2023 布克学术 All rights reserved.
京ICP备2023020795号-1
ghs 京公网安备 11010802042870号
Book学术文献互助
Book学术文献互助群
群 号:604180095
Book学术官方微信