肺动脉高压患者6分钟步行试验(6MWT)与血清氯离子水平和平均肺动脉压关系的评估

IF 2.5 4区 医学 Q2 CARDIAC & CARDIOVASCULAR SYSTEMS
Pulmonary Circulation Pub Date : 2025-04-07 eCollection Date: 2025-04-01 DOI:10.1002/pul2.70066
Sepideh Hejazi, Maryam Masinaei, Maryam Emadzadeh, Shima Baniassad, Sara Amini, Soroush Attaran, Mohammad Javad Najafzadeh, Davood Attaran, Amir Baniasad
{"title":"肺动脉高压患者6分钟步行试验(6MWT)与血清氯离子水平和平均肺动脉压关系的评估","authors":"Sepideh Hejazi, Maryam Masinaei, Maryam Emadzadeh, Shima Baniassad, Sara Amini, Soroush Attaran, Mohammad Javad Najafzadeh, Davood Attaran, Amir Baniasad","doi":"10.1002/pul2.70066","DOIUrl":null,"url":null,"abstract":"<p><p>Pulmonary artery hypertension (PAH) is a fatal disease associated with high mortality, especially in countries with limited health resources in terms of lack of access to diagnostic and therapeutic evaluations. Therefore, it is necessary to discover inexpensive and available serum biomarkers for examining patients. This study investigates the relationship between PAH patients' six-minute walk (6MWT) distance, serum chloride levels, and mean pulmonary arterial pressure (mPAP). In this cross-sectional study, patients with PAH referring to the pulmonary hypertension clinic of our tertiary hospital were included. Then, the patient's demographic information and clinical findings were recorded, and the serum level of chloride and the 6MWT were examined in the patients. In the present study, 70 PAH patients were evaluated. All patients were female, and the mean age of the patients was 39.44 ± 8.33 years old. Hypochloremia was considered as serum chloride < 97 mmol/L in our study. The mPAP of patients with hypochloremia was significantly higher than non-hypochloremia patients (<i>p</i> < 0.001). The serum chloride levels had a significant positive correlation with the 6MWT distance (<i>r</i> = 0.634, <i>p</i> < 0.001). According to the linear regression analysis results, serum chloride level was a significant predictor of 6MWT distance even after adjustment for age and creatinine (<i>β</i> = 0.48; <i>p</i> = 0.002). Serum chloride level can be used as an inexpensive method for the evaluation of disease severity in PAH patients, especially in patients with higher time since the diagnosis of PAH.</p>","PeriodicalId":20927,"journal":{"name":"Pulmonary Circulation","volume":"15 2","pages":"e70066"},"PeriodicalIF":2.5000,"publicationDate":"2025-04-07","publicationTypes":"Journal Article","fieldsOfStudy":null,"isOpenAccess":false,"openAccessPdf":"https://www.ncbi.nlm.nih.gov/pmc/articles/PMC11973496/pdf/","citationCount":"0","resultStr":"{\"title\":\"Assessment of the Relationship Between the Six-Minute Walk Test (6MWT) With Serum Chloride Level and Mean Pulmonary Arterial Pressure in Patients With Pulmonary Arterial Hypertension.\",\"authors\":\"Sepideh Hejazi, Maryam Masinaei, Maryam Emadzadeh, Shima Baniassad, Sara Amini, Soroush Attaran, Mohammad Javad Najafzadeh, Davood Attaran, Amir Baniasad\",\"doi\":\"10.1002/pul2.70066\",\"DOIUrl\":null,\"url\":null,\"abstract\":\"<p><p>Pulmonary artery hypertension (PAH) is a fatal disease associated with high mortality, especially in countries with limited health resources in terms of lack of access to diagnostic and therapeutic evaluations. Therefore, it is necessary to discover inexpensive and available serum biomarkers for examining patients. This study investigates the relationship between PAH patients' six-minute walk (6MWT) distance, serum chloride levels, and mean pulmonary arterial pressure (mPAP). In this cross-sectional study, patients with PAH referring to the pulmonary hypertension clinic of our tertiary hospital were included. Then, the patient's demographic information and clinical findings were recorded, and the serum level of chloride and the 6MWT were examined in the patients. In the present study, 70 PAH patients were evaluated. All patients were female, and the mean age of the patients was 39.44 ± 8.33 years old. Hypochloremia was considered as serum chloride < 97 mmol/L in our study. The mPAP of patients with hypochloremia was significantly higher than non-hypochloremia patients (<i>p</i> < 0.001). The serum chloride levels had a significant positive correlation with the 6MWT distance (<i>r</i> = 0.634, <i>p</i> < 0.001). According to the linear regression analysis results, serum chloride level was a significant predictor of 6MWT distance even after adjustment for age and creatinine (<i>β</i> = 0.48; <i>p</i> = 0.002). Serum chloride level can be used as an inexpensive method for the evaluation of disease severity in PAH patients, especially in patients with higher time since the diagnosis of PAH.</p>\",\"PeriodicalId\":20927,\"journal\":{\"name\":\"Pulmonary Circulation\",\"volume\":\"15 2\",\"pages\":\"e70066\"},\"PeriodicalIF\":2.5000,\"publicationDate\":\"2025-04-07\",\"publicationTypes\":\"Journal Article\",\"fieldsOfStudy\":null,\"isOpenAccess\":false,\"openAccessPdf\":\"https://www.ncbi.nlm.nih.gov/pmc/articles/PMC11973496/pdf/\",\"citationCount\":\"0\",\"resultStr\":null,\"platform\":\"Semanticscholar\",\"paperid\":null,\"PeriodicalName\":\"Pulmonary Circulation\",\"FirstCategoryId\":\"3\",\"ListUrlMain\":\"https://doi.org/10.1002/pul2.70066\",\"RegionNum\":4,\"RegionCategory\":\"医学\",\"ArticlePicture\":[],\"TitleCN\":null,\"AbstractTextCN\":null,\"PMCID\":null,\"EPubDate\":\"2025/4/1 0:00:00\",\"PubModel\":\"eCollection\",\"JCR\":\"Q2\",\"JCRName\":\"CARDIAC & CARDIOVASCULAR SYSTEMS\",\"Score\":null,\"Total\":0}","platform":"Semanticscholar","paperid":null,"PeriodicalName":"Pulmonary Circulation","FirstCategoryId":"3","ListUrlMain":"https://doi.org/10.1002/pul2.70066","RegionNum":4,"RegionCategory":"医学","ArticlePicture":[],"TitleCN":null,"AbstractTextCN":null,"PMCID":null,"EPubDate":"2025/4/1 0:00:00","PubModel":"eCollection","JCR":"Q2","JCRName":"CARDIAC & CARDIOVASCULAR SYSTEMS","Score":null,"Total":0}
引用次数: 0

摘要

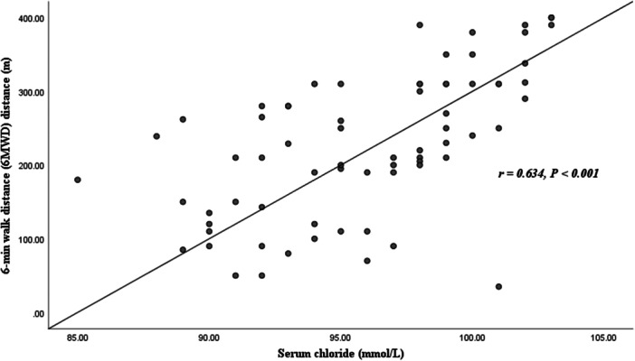
肺动脉高压(PAH)是一种与高死亡率相关的致命疾病,特别是在缺乏诊断和治疗评估的卫生资源有限的国家。因此,有必要发现廉价和可用的血清生物标志物来检查患者。本研究探讨PAH患者6分钟步行(6MWT)距离、血清氯离子水平和平均肺动脉压(mPAP)之间的关系。本横断面研究纳入我院三级医院肺动脉高压门诊就诊的PAH患者。然后记录患者的人口学信息和临床表现,检测患者血清氯离子水平和6MWT。本研究对70例PAH患者进行了评估。患者均为女性,平均年龄39.44±8.33岁。低氯血症考虑血清氯化物p r = 0.634, p β = 0.48;p = 0.002)。血清氯离子水平可作为评估PAH患者病情严重程度的一种廉价方法,尤其适用于PAH诊断时间较长的患者。
本文章由计算机程序翻译,如有差异,请以英文原文为准。

Assessment of the Relationship Between the Six-Minute Walk Test (6MWT) With Serum Chloride Level and Mean Pulmonary Arterial Pressure in Patients With Pulmonary Arterial Hypertension.

Assessment of the Relationship Between the Six-Minute Walk Test (6MWT) With Serum Chloride Level and Mean Pulmonary Arterial Pressure in Patients With Pulmonary Arterial Hypertension.

Pulmonary artery hypertension (PAH) is a fatal disease associated with high mortality, especially in countries with limited health resources in terms of lack of access to diagnostic and therapeutic evaluations. Therefore, it is necessary to discover inexpensive and available serum biomarkers for examining patients. This study investigates the relationship between PAH patients' six-minute walk (6MWT) distance, serum chloride levels, and mean pulmonary arterial pressure (mPAP). In this cross-sectional study, patients with PAH referring to the pulmonary hypertension clinic of our tertiary hospital were included. Then, the patient's demographic information and clinical findings were recorded, and the serum level of chloride and the 6MWT were examined in the patients. In the present study, 70 PAH patients were evaluated. All patients were female, and the mean age of the patients was 39.44 ± 8.33 years old. Hypochloremia was considered as serum chloride < 97 mmol/L in our study. The mPAP of patients with hypochloremia was significantly higher than non-hypochloremia patients (p < 0.001). The serum chloride levels had a significant positive correlation with the 6MWT distance (r = 0.634, p < 0.001). According to the linear regression analysis results, serum chloride level was a significant predictor of 6MWT distance even after adjustment for age and creatinine (β = 0.48; p = 0.002). Serum chloride level can be used as an inexpensive method for the evaluation of disease severity in PAH patients, especially in patients with higher time since the diagnosis of PAH.

求助全文
通过发布文献求助,成功后即可免费获取论文全文。 去求助
来源期刊
Pulmonary Circulation
Pulmonary Circulation Medicine-Pulmonary and Respiratory Medicine
CiteScore
4.20
自引率
11.50%
发文量
153
审稿时长
15 weeks
期刊介绍: Pulmonary Circulation''s main goal is to encourage basic, translational, and clinical research by investigators, physician-scientists, and clinicans, in the hope of increasing survival rates for pulmonary hypertension and other pulmonary vascular diseases worldwide, and developing new therapeutic approaches for the diseases. Freely available online, Pulmonary Circulation allows diverse knowledge of research, techniques, and case studies to reach a wide readership of specialists in order to improve patient care and treatment outcomes.
×
引用
GB/T 7714-2015
复制
MLA
复制
APA
复制
导出至
BibTeX EndNote RefMan NoteFirst NoteExpress
×
提示
您的信息不完整,为了账户安全,请先补充。
现在去补充
×
提示
您因"违规操作"
具体请查看互助需知
我知道了
×
提示
确定
请完成安全验证×
copy
已复制链接
快去分享给好友吧!
我知道了
右上角分享
点击右上角分享
0
联系我们:info@booksci.cn Book学术提供免费学术资源搜索服务,方便国内外学者检索中英文文献。致力于提供最便捷和优质的服务体验。 Copyright © 2023 布克学术 All rights reserved.
京ICP备2023020795号-1
ghs 京公网安备 11010802042870号
Book学术文献互助
Book学术文献互助群
群 号:604180095
Book学术官方微信