危重患者肥胖的性别结局:一项回顾性队列研究

Annals of Saudi medicine Pub Date : 2025-03-01 Epub Date: 2025-04-03 DOI:10.5144/0256-4947.2025.79
Mohammed Alqahtani, Farhan Alenezi, Musharaf Sadat, Hani Tamim, Felwa Bin Humaid, Nahla Awadh Albaalharith, Yaseen Arabi
{"title":"危重患者肥胖的性别结局:一项回顾性队列研究","authors":"Mohammed Alqahtani, Farhan Alenezi, Musharaf Sadat, Hani Tamim, Felwa Bin Humaid, Nahla Awadh Albaalharith, Yaseen Arabi","doi":"10.5144/0256-4947.2025.79","DOIUrl":null,"url":null,"abstract":"<p><strong>Background: </strong>Obesity is increasingly prevalent among critically ill patients, generally more common among females than males. Whether the patient's sex influences the outcome in these patients is unclear.</p><p><strong>Objective: </strong>Evaluate the outcomes of critically ill-patients with obesity admitted to the intensive care unit (ICU).</p><p><strong>Design: </strong>A retrospective cohort study.</p><p><strong>Setting: </strong>ICU of King Abdulaziz Medical City, Riyadh, Saudi Arabia.</p><p><strong>Patients and methods: </strong>All obese patients aged more than 18 years admitted to ICU between 2002 to 2017 were included.</p><p><strong>Main outcome measures: </strong>The primary outcome was hospital mortality. Secondary outcomes included ICU mortality, ICU and hospital lengths of stay, mechanical ventilation duration, renal replacement therapy, vasopressor use, and tracheostomy. A multivariable analysis was conducted to evaluate the association of sex differences with hospital mortality.</p><p><strong>Sample size: </strong>7277 patients.</p><p><strong>Results: </strong>Of the included patients with obesity, 3965 were females, and 3312 were males. The females were older, more likely to be admitted for medical reasons and less likely for trauma than males. The crude hospital mortality rate was significantly higher in females than males (1056 [26.7%] vs. 744 [22.5%], <i>P</i><.0001). Multivariable analysis demonstrated no association between sex and hospital mortality (OR: 1.05, 95% CI: 0.94, 1.19, <i>P</i>=.52). However, age (OR: 1.04; 95% CI: 1.01-1.02; <i>P</i><.0001), chronic liver disease (OR: 5.04; 95% CI: 4.19-6.06; <i>P</i><.0001), and chronic renal disease (OR: 2.19; 95% CI: 1.86-2.57;<i>P</i><.0001) were found to be associated with higher mortality while admission due to trauma showed lower mortality (OR: 0.69; 95% CI: 0.53-0.90; <i>P</i>=.007).</p><p><strong>Conclusion: </strong>Obese females admitted to ICU have a higher hospital crude mortality rate than obese males. This difference does not appear to be related to sex, but rather to older age, higher comorbid conditions, and more frequent admissions related to non-trauma reasons among females.</p><p><strong>Limitations: </strong>A single-center retrospective study.</p>","PeriodicalId":93875,"journal":{"name":"Annals of Saudi medicine","volume":"45 2","pages":"79-85"},"PeriodicalIF":0.0000,"publicationDate":"2025-03-01","publicationTypes":"Journal Article","fieldsOfStudy":null,"isOpenAccess":false,"openAccessPdf":"https://www.ncbi.nlm.nih.gov/pmc/articles/PMC11973438/pdf/","citationCount":"0","resultStr":"{\"title\":\"Sex-based outcomes of obesity in critically ill patients: a retrospective cohort study.\",\"authors\":\"Mohammed Alqahtani, Farhan Alenezi, Musharaf Sadat, Hani Tamim, Felwa Bin Humaid, Nahla Awadh Albaalharith, Yaseen Arabi\",\"doi\":\"10.5144/0256-4947.2025.79\",\"DOIUrl\":null,\"url\":null,\"abstract\":\"<p><strong>Background: </strong>Obesity is increasingly prevalent among critically ill patients, generally more common among females than males. Whether the patient's sex influences the outcome in these patients is unclear.</p><p><strong>Objective: </strong>Evaluate the outcomes of critically ill-patients with obesity admitted to the intensive care unit (ICU).</p><p><strong>Design: </strong>A retrospective cohort study.</p><p><strong>Setting: </strong>ICU of King Abdulaziz Medical City, Riyadh, Saudi Arabia.</p><p><strong>Patients and methods: </strong>All obese patients aged more than 18 years admitted to ICU between 2002 to 2017 were included.</p><p><strong>Main outcome measures: </strong>The primary outcome was hospital mortality. Secondary outcomes included ICU mortality, ICU and hospital lengths of stay, mechanical ventilation duration, renal replacement therapy, vasopressor use, and tracheostomy. A multivariable analysis was conducted to evaluate the association of sex differences with hospital mortality.</p><p><strong>Sample size: </strong>7277 patients.</p><p><strong>Results: </strong>Of the included patients with obesity, 3965 were females, and 3312 were males. The females were older, more likely to be admitted for medical reasons and less likely for trauma than males. The crude hospital mortality rate was significantly higher in females than males (1056 [26.7%] vs. 744 [22.5%], <i>P</i><.0001). Multivariable analysis demonstrated no association between sex and hospital mortality (OR: 1.05, 95% CI: 0.94, 1.19, <i>P</i>=.52). However, age (OR: 1.04; 95% CI: 1.01-1.02; <i>P</i><.0001), chronic liver disease (OR: 5.04; 95% CI: 4.19-6.06; <i>P</i><.0001), and chronic renal disease (OR: 2.19; 95% CI: 1.86-2.57;<i>P</i><.0001) were found to be associated with higher mortality while admission due to trauma showed lower mortality (OR: 0.69; 95% CI: 0.53-0.90; <i>P</i>=.007).</p><p><strong>Conclusion: </strong>Obese females admitted to ICU have a higher hospital crude mortality rate than obese males. This difference does not appear to be related to sex, but rather to older age, higher comorbid conditions, and more frequent admissions related to non-trauma reasons among females.</p><p><strong>Limitations: </strong>A single-center retrospective study.</p>\",\"PeriodicalId\":93875,\"journal\":{\"name\":\"Annals of Saudi medicine\",\"volume\":\"45 2\",\"pages\":\"79-85\"},\"PeriodicalIF\":0.0000,\"publicationDate\":\"2025-03-01\",\"publicationTypes\":\"Journal Article\",\"fieldsOfStudy\":null,\"isOpenAccess\":false,\"openAccessPdf\":\"https://www.ncbi.nlm.nih.gov/pmc/articles/PMC11973438/pdf/\",\"citationCount\":\"0\",\"resultStr\":null,\"platform\":\"Semanticscholar\",\"paperid\":null,\"PeriodicalName\":\"Annals of Saudi medicine\",\"FirstCategoryId\":\"1085\",\"ListUrlMain\":\"https://doi.org/10.5144/0256-4947.2025.79\",\"RegionNum\":0,\"RegionCategory\":null,\"ArticlePicture\":[],\"TitleCN\":null,\"AbstractTextCN\":null,\"PMCID\":null,\"EPubDate\":\"2025/4/3 0:00:00\",\"PubModel\":\"Epub\",\"JCR\":\"\",\"JCRName\":\"\",\"Score\":null,\"Total\":0}","platform":"Semanticscholar","paperid":null,"PeriodicalName":"Annals of Saudi medicine","FirstCategoryId":"1085","ListUrlMain":"https://doi.org/10.5144/0256-4947.2025.79","RegionNum":0,"RegionCategory":null,"ArticlePicture":[],"TitleCN":null,"AbstractTextCN":null,"PMCID":null,"EPubDate":"2025/4/3 0:00:00","PubModel":"Epub","JCR":"","JCRName":"","Score":null,"Total":0}
引用次数: 0

摘要

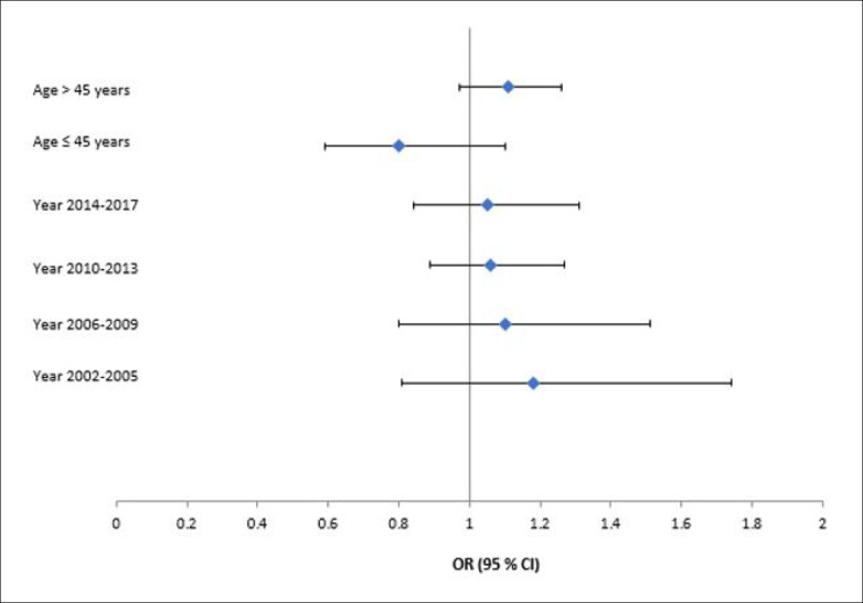
背景:肥胖在危重患者中越来越普遍,女性比男性更常见。患者的性别是否会影响这些患者的预后尚不清楚。目的:评价重症监护病房(ICU)重症肥胖症患者的预后。设计:回顾性队列研究。地点:沙特阿拉伯利雅得阿卜杜勒阿齐兹国王医疗城ICU。患者和方法:纳入2002 - 2017年ICU收治的所有18岁以上肥胖患者。主要结局指标:主要结局指标为住院死亡率。次要结局包括ICU死亡率、ICU和住院时间、机械通气时间、肾脏替代治疗、血管加压药物使用和气管切开术。采用多变量分析评估性别差异与住院死亡率的关系。样本量:7277例患者。结果:纳入的肥胖患者中,女性3965例,男性3312例。与男性相比,女性年龄更大,更有可能因医疗原因入院,而更不可能因创伤入院。女性的医院粗死亡率明显高于男性(1056[26.7%]比744 [22.5%],PP=.52)。然而,年龄(OR: 1.04;95% ci: 1.01-1.02;PPPP = .007)。结论:ICU收治的女性肥胖患者的医院粗死亡率高于男性肥胖患者。这种差异似乎与性别无关,而是与年龄较大、合并症较多以及女性因非创伤原因入院次数较多有关。局限性:单中心回顾性研究。
本文章由计算机程序翻译,如有差异,请以英文原文为准。

Sex-based outcomes of obesity in critically ill patients: a retrospective cohort study.

Sex-based outcomes of obesity in critically ill patients: a retrospective cohort study.

Background: Obesity is increasingly prevalent among critically ill patients, generally more common among females than males. Whether the patient's sex influences the outcome in these patients is unclear.

Objective: Evaluate the outcomes of critically ill-patients with obesity admitted to the intensive care unit (ICU).

Design: A retrospective cohort study.

Setting: ICU of King Abdulaziz Medical City, Riyadh, Saudi Arabia.

Patients and methods: All obese patients aged more than 18 years admitted to ICU between 2002 to 2017 were included.

Main outcome measures: The primary outcome was hospital mortality. Secondary outcomes included ICU mortality, ICU and hospital lengths of stay, mechanical ventilation duration, renal replacement therapy, vasopressor use, and tracheostomy. A multivariable analysis was conducted to evaluate the association of sex differences with hospital mortality.

Sample size: 7277 patients.

Results: Of the included patients with obesity, 3965 were females, and 3312 were males. The females were older, more likely to be admitted for medical reasons and less likely for trauma than males. The crude hospital mortality rate was significantly higher in females than males (1056 [26.7%] vs. 744 [22.5%], P<.0001). Multivariable analysis demonstrated no association between sex and hospital mortality (OR: 1.05, 95% CI: 0.94, 1.19, P=.52). However, age (OR: 1.04; 95% CI: 1.01-1.02; P<.0001), chronic liver disease (OR: 5.04; 95% CI: 4.19-6.06; P<.0001), and chronic renal disease (OR: 2.19; 95% CI: 1.86-2.57;P<.0001) were found to be associated with higher mortality while admission due to trauma showed lower mortality (OR: 0.69; 95% CI: 0.53-0.90; P=.007).

Conclusion: Obese females admitted to ICU have a higher hospital crude mortality rate than obese males. This difference does not appear to be related to sex, but rather to older age, higher comorbid conditions, and more frequent admissions related to non-trauma reasons among females.

Limitations: A single-center retrospective study.

求助全文
通过发布文献求助,成功后即可免费获取论文全文。 去求助
来源期刊
自引率
0.00%
发文量
0
×
引用
GB/T 7714-2015
复制
MLA
复制
APA
复制
导出至
BibTeX EndNote RefMan NoteFirst NoteExpress
×
提示
您的信息不完整,为了账户安全,请先补充。
现在去补充
×
提示
您因"违规操作"
具体请查看互助需知
我知道了
×
提示
确定
请完成安全验证×
copy
已复制链接
快去分享给好友吧!
我知道了
右上角分享
点击右上角分享
0
联系我们:info@booksci.cn Book学术提供免费学术资源搜索服务,方便国内外学者检索中英文文献。致力于提供最便捷和优质的服务体验。 Copyright © 2023 布克学术 All rights reserved.
京ICP备2023020795号-1
ghs 京公网安备 11010802042870号
Book学术文献互助
Book学术文献互助群
群 号:604180095
Book学术官方微信