中国与其他 G20 国家缺血性心脏病负担的趋势和预测:基于 2021 年全球疾病负担数据库的比较研究》。

IF 3.1 3区 医学 Q2 CARDIAC & CARDIOVASCULAR SYSTEMS
Global Heart Pub Date : 2025-04-03 eCollection Date: 2025-01-01 DOI:10.5334/gh.1424
Yi Zhang, Hui Li, JingHan Chu, ShuaiShuai Ye, Chun Xiao, BuChun Zhang
{"title":"中国与其他 G20 国家缺血性心脏病负担的趋势和预测:基于 2021 年全球疾病负担数据库的比较研究》。","authors":"Yi Zhang, Hui Li, JingHan Chu, ShuaiShuai Ye, Chun Xiao, BuChun Zhang","doi":"10.5334/gh.1424","DOIUrl":null,"url":null,"abstract":"<p><strong>Objective: </strong>This study aims to analyse the burden of ischemic heart disease (IHD) in China and other G20 countries from 1990-2021 and predict the burden for the next decade.</p><p><strong>Methods: </strong>Using data from the Global Burden of Disease (GBD) 2021 study, we evaluated the age-standardised rates (ASRs) of incidence, prevalence, mortality and disability-adjusted life years (DALYs) by estimated annual percentage change (EAPC). The Bayesian age-period-cohort (BAPC) model was used to forecast the incidence, mortality and DALY rates of IHD in China from 2021-2040.</p><p><strong>Results: </strong>The ASRs of incidence, mortality and DALYs of IHD in China increased with EAPCs of 0.66 (95% CI: 0.50, 0.82), 0.97 (95% CI: 0.63, 1.31) and 0.51 (95% CI: 0.24, 0.78), respectively. Compared with other G20 countries, China was ranked 14th for the ASR of incidence in 1990 and then rose to 7th in 2021. The ASR of prevalence for IHD in China jumped from 8th in 1990 to 5th in 2021, and both the ASR of mortality and DALYs for IHD in China ranked 7th in 2021. The top five risk factors affecting mortality in China in 2021 were high systolic blood pressure, dietary risk, air pollution, high LDL cholesterol and tobacco. Over the next 20 years, the ASR of incidence, mortality and DALYs for IHD will increase continuously in males.</p><p><strong>Conclusion: </strong>The burden of IHD is expected to increase steadily in China, highlighting the urgency for early monitoring and preventative strategies, particularly focusing on the elderly and male populations.</p>","PeriodicalId":56018,"journal":{"name":"Global Heart","volume":"20 1","pages":"37"},"PeriodicalIF":3.1000,"publicationDate":"2025-04-03","publicationTypes":"Journal Article","fieldsOfStudy":null,"isOpenAccess":false,"openAccessPdf":"https://www.ncbi.nlm.nih.gov/pmc/articles/PMC11967484/pdf/","citationCount":"0","resultStr":"{\"title\":\"Trends and Projections of Burden of Ischemic Heart Disease in China Versus Other G20 Countries: A Comparative Study Based on the 2021 Global Burden of Disease Database.\",\"authors\":\"Yi Zhang, Hui Li, JingHan Chu, ShuaiShuai Ye, Chun Xiao, BuChun Zhang\",\"doi\":\"10.5334/gh.1424\",\"DOIUrl\":null,\"url\":null,\"abstract\":\"<p><strong>Objective: </strong>This study aims to analyse the burden of ischemic heart disease (IHD) in China and other G20 countries from 1990-2021 and predict the burden for the next decade.</p><p><strong>Methods: </strong>Using data from the Global Burden of Disease (GBD) 2021 study, we evaluated the age-standardised rates (ASRs) of incidence, prevalence, mortality and disability-adjusted life years (DALYs) by estimated annual percentage change (EAPC). The Bayesian age-period-cohort (BAPC) model was used to forecast the incidence, mortality and DALY rates of IHD in China from 2021-2040.</p><p><strong>Results: </strong>The ASRs of incidence, mortality and DALYs of IHD in China increased with EAPCs of 0.66 (95% CI: 0.50, 0.82), 0.97 (95% CI: 0.63, 1.31) and 0.51 (95% CI: 0.24, 0.78), respectively. Compared with other G20 countries, China was ranked 14th for the ASR of incidence in 1990 and then rose to 7th in 2021. The ASR of prevalence for IHD in China jumped from 8th in 1990 to 5th in 2021, and both the ASR of mortality and DALYs for IHD in China ranked 7th in 2021. The top five risk factors affecting mortality in China in 2021 were high systolic blood pressure, dietary risk, air pollution, high LDL cholesterol and tobacco. Over the next 20 years, the ASR of incidence, mortality and DALYs for IHD will increase continuously in males.</p><p><strong>Conclusion: </strong>The burden of IHD is expected to increase steadily in China, highlighting the urgency for early monitoring and preventative strategies, particularly focusing on the elderly and male populations.</p>\",\"PeriodicalId\":56018,\"journal\":{\"name\":\"Global Heart\",\"volume\":\"20 1\",\"pages\":\"37\"},\"PeriodicalIF\":3.1000,\"publicationDate\":\"2025-04-03\",\"publicationTypes\":\"Journal Article\",\"fieldsOfStudy\":null,\"isOpenAccess\":false,\"openAccessPdf\":\"https://www.ncbi.nlm.nih.gov/pmc/articles/PMC11967484/pdf/\",\"citationCount\":\"0\",\"resultStr\":null,\"platform\":\"Semanticscholar\",\"paperid\":null,\"PeriodicalName\":\"Global Heart\",\"FirstCategoryId\":\"3\",\"ListUrlMain\":\"https://doi.org/10.5334/gh.1424\",\"RegionNum\":3,\"RegionCategory\":\"医学\",\"ArticlePicture\":[],\"TitleCN\":null,\"AbstractTextCN\":null,\"PMCID\":null,\"EPubDate\":\"2025/1/1 0:00:00\",\"PubModel\":\"eCollection\",\"JCR\":\"Q2\",\"JCRName\":\"CARDIAC & CARDIOVASCULAR SYSTEMS\",\"Score\":null,\"Total\":0}","platform":"Semanticscholar","paperid":null,"PeriodicalName":"Global Heart","FirstCategoryId":"3","ListUrlMain":"https://doi.org/10.5334/gh.1424","RegionNum":3,"RegionCategory":"医学","ArticlePicture":[],"TitleCN":null,"AbstractTextCN":null,"PMCID":null,"EPubDate":"2025/1/1 0:00:00","PubModel":"eCollection","JCR":"Q2","JCRName":"CARDIAC & CARDIOVASCULAR SYSTEMS","Score":null,"Total":0}
引用次数: 0

摘要

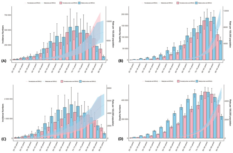
目的:本研究旨在分析1990-2021年中国和其他G20国家缺血性心脏病(IHD)负担,并预测未来十年的负担。方法:使用全球疾病负担(GBD) 2021研究的数据,我们通过估计的年百分比变化(EAPC)评估发病率、患病率、死亡率和残疾调整生命年(DALYs)的年龄标准化率(ASRs)。采用贝叶斯年龄-时期-队列(BAPC)模型预测2021-2040年中国IHD的发病率、死亡率和DALY。结果:中国IHD的发病率、死亡率和DALYs的asr增加,EAPCs分别为0.66 (95% CI: 0.50, 0.82)、0.97 (95% CI: 0.63, 1.31)和0.51 (95% CI: 0.24, 0.78)。与其他G20国家相比,中国发病率从1990年的第14位上升到2021年的第7位。中国IHD患病率的ASR由1990年的第8位跃升至2021年的第5位,死亡率和DALYs的ASR均居2021年的第7位。2021年影响中国死亡率的前五大危险因素是:高收缩压、饮食风险、空气污染、高LDL胆固醇和烟草。在未来20年,男性IHD的发病率、死亡率和DALYs的ASR将持续增加。结论:在中国,IHD的负担预计将稳步增加,突出了早期监测和预防策略的紧迫性,特别是关注老年人和男性人群。
本文章由计算机程序翻译,如有差异,请以英文原文为准。

Trends and Projections of Burden of Ischemic Heart Disease in China Versus Other G20 Countries: A Comparative Study Based on the 2021 Global Burden of Disease Database.

Trends and Projections of Burden of Ischemic Heart Disease in China Versus Other G20 Countries: A Comparative Study Based on the 2021 Global Burden of Disease Database.

Trends and Projections of Burden of Ischemic Heart Disease in China Versus Other G20 Countries: A Comparative Study Based on the 2021 Global Burden of Disease Database.

Trends and Projections of Burden of Ischemic Heart Disease in China Versus Other G20 Countries: A Comparative Study Based on the 2021 Global Burden of Disease Database.

Objective: This study aims to analyse the burden of ischemic heart disease (IHD) in China and other G20 countries from 1990-2021 and predict the burden for the next decade.

Methods: Using data from the Global Burden of Disease (GBD) 2021 study, we evaluated the age-standardised rates (ASRs) of incidence, prevalence, mortality and disability-adjusted life years (DALYs) by estimated annual percentage change (EAPC). The Bayesian age-period-cohort (BAPC) model was used to forecast the incidence, mortality and DALY rates of IHD in China from 2021-2040.

Results: The ASRs of incidence, mortality and DALYs of IHD in China increased with EAPCs of 0.66 (95% CI: 0.50, 0.82), 0.97 (95% CI: 0.63, 1.31) and 0.51 (95% CI: 0.24, 0.78), respectively. Compared with other G20 countries, China was ranked 14th for the ASR of incidence in 1990 and then rose to 7th in 2021. The ASR of prevalence for IHD in China jumped from 8th in 1990 to 5th in 2021, and both the ASR of mortality and DALYs for IHD in China ranked 7th in 2021. The top five risk factors affecting mortality in China in 2021 were high systolic blood pressure, dietary risk, air pollution, high LDL cholesterol and tobacco. Over the next 20 years, the ASR of incidence, mortality and DALYs for IHD will increase continuously in males.

Conclusion: The burden of IHD is expected to increase steadily in China, highlighting the urgency for early monitoring and preventative strategies, particularly focusing on the elderly and male populations.

求助全文
通过发布文献求助,成功后即可免费获取论文全文。 去求助
来源期刊
Global Heart
Global Heart Medicine-Cardiology and Cardiovascular Medicine
CiteScore
5.70
自引率
5.40%
发文量
77
审稿时长
5 weeks
期刊介绍: Global Heart offers a forum for dialogue and education on research, developments, trends, solutions and public health programs related to the prevention and control of cardiovascular diseases (CVDs) worldwide, with a special focus on low- and middle-income countries (LMICs). Manuscripts should address not only the extent or epidemiology of the problem, but also describe interventions to effectively control and prevent CVDs and the underlying factors. The emphasis should be on approaches applicable in settings with limited resources. Economic evaluations of successful interventions are particularly welcome. We will also consider negative findings if important. While reports of hospital or clinic-based treatments are not excluded, particularly if they have broad implications for cost-effective disease control or prevention, we give priority to papers addressing community-based activities. We encourage submissions on cardiovascular surveillance and health policies, professional education, ethical issues and technological innovations related to prevention. Global Heart is particularly interested in publishing data from updated national or regional demographic health surveys, World Health Organization or Global Burden of Disease data, large clinical disease databases or registries. Systematic reviews or meta-analyses on globally relevant topics are welcome. We will also consider clinical research that has special relevance to LMICs, e.g. using validated instruments to assess health-related quality-of-life in patients from LMICs, innovative diagnostic-therapeutic applications, real-world effectiveness clinical trials, research methods (innovative methodologic papers, with emphasis on low-cost research methods or novel application of methods in low resource settings), and papers pertaining to cardiovascular health promotion and policy (quantitative evaluation of health programs.
×
引用
GB/T 7714-2015
复制
MLA
复制
APA
复制
导出至
BibTeX EndNote RefMan NoteFirst NoteExpress
×
提示
您的信息不完整,为了账户安全,请先补充。
现在去补充
×
提示
您因"违规操作"
具体请查看互助需知
我知道了
×
提示
确定
请完成安全验证×
copy
已复制链接
快去分享给好友吧!
我知道了
右上角分享
点击右上角分享
0
联系我们:info@booksci.cn Book学术提供免费学术资源搜索服务,方便国内外学者检索中英文文献。致力于提供最便捷和优质的服务体验。 Copyright © 2023 布克学术 All rights reserved.
京ICP备2023020795号-1
ghs 京公网安备 11010802042870号
Book学术文献互助
Book学术文献互助群
群 号:604180095
Book学术官方微信