选择性消化净化患者心脏骤停时呼吸机相关性肺炎的发生率及危险因素

IF 1.8 Q3 CRITICAL CARE MEDICINE
Critical Care Research and Practice Pub Date : 2025-03-26 eCollection Date: 2025-01-01 DOI:10.1155/ccrp/7669466
Erik Roman-Pognuz, Stefano Di Bella, Alberto Enrico Maraolo, Mauro Giuffrè, Chiara Robba, Giuseppe Ristagno, Clifton W Callaway, Umberto Lucangelo
{"title":"选择性消化净化患者心脏骤停时呼吸机相关性肺炎的发生率及危险因素","authors":"Erik Roman-Pognuz, Stefano Di Bella, Alberto Enrico Maraolo, Mauro Giuffrè, Chiara Robba, Giuseppe Ristagno, Clifton W Callaway, Umberto Lucangelo","doi":"10.1155/ccrp/7669466","DOIUrl":null,"url":null,"abstract":"<p><p><b>Background:</b> Out-of-hospital cardiac arrest (OHCA) is a leading cause of morbidity and mortality. Temperature management (TM) is recommended since hyperthermia is associated with worse outcomes. Pneumonia is a frequent occurrence following OHCA, and some studies suggest that TM may have a negative impact on its development. Selective digestive decontamination (SDD) is used in some centers to reduce the incidence of pneumonia in intensive care unit (ICU), but its use remains controversial. This study aims to assess the incidence, risk factors and clinical course of VAP after OHCA. <b>Methods:</b> We conducted a retrospective cohort study on 169 consecutive OHCA patients after their admission in ICU. All patients were treated with TM and SDD. Pharyngeal swabs were analyzed twice weekly. The primary outcome was the incidence of VAP and non-VAP. Secondary aim was to identify the risk factors associated with VAP and its effect on patients' outcome. <b>Results:</b> Incidence of VAP was 5.3%, while incidence of non-VAP was 9.5%. In multivariate analysis, male gender (sHR 3.01; CI 1.1-7.9), increase of white blood cells (WBC) count > 30% over 5 days (sHR 2.32; CI 1.23-3.9), heart disease (sHR 2.4; CI 1.36-4.59), and bacterial colonization of the pharynx (sHR 2.79; CI 1.13-4.39) were significantly associated with VAP. <b>Conclusions:</b> Pharyngeal colonization could be useful to identify patients at higher risk of VAP development. The low rate of VAP in this cohort suggests that SDD can prevent VAP after OHCA. Further studies are needed to explore the potential of SDD in OHCA patients.</p>","PeriodicalId":46583,"journal":{"name":"Critical Care Research and Practice","volume":"2025 ","pages":"7669466"},"PeriodicalIF":1.8000,"publicationDate":"2025-03-26","publicationTypes":"Journal Article","fieldsOfStudy":null,"isOpenAccess":false,"openAccessPdf":"https://www.ncbi.nlm.nih.gov/pmc/articles/PMC11964724/pdf/","citationCount":"0","resultStr":"{\"title\":\"Incidence and Risk Factors of Ventilator-Associated Pneumonia in Cardiac Arrest in Patients With Selective Digestive Decontamination.\",\"authors\":\"Erik Roman-Pognuz, Stefano Di Bella, Alberto Enrico Maraolo, Mauro Giuffrè, Chiara Robba, Giuseppe Ristagno, Clifton W Callaway, Umberto Lucangelo\",\"doi\":\"10.1155/ccrp/7669466\",\"DOIUrl\":null,\"url\":null,\"abstract\":\"<p><p><b>Background:</b> Out-of-hospital cardiac arrest (OHCA) is a leading cause of morbidity and mortality. Temperature management (TM) is recommended since hyperthermia is associated with worse outcomes. Pneumonia is a frequent occurrence following OHCA, and some studies suggest that TM may have a negative impact on its development. Selective digestive decontamination (SDD) is used in some centers to reduce the incidence of pneumonia in intensive care unit (ICU), but its use remains controversial. This study aims to assess the incidence, risk factors and clinical course of VAP after OHCA. <b>Methods:</b> We conducted a retrospective cohort study on 169 consecutive OHCA patients after their admission in ICU. All patients were treated with TM and SDD. Pharyngeal swabs were analyzed twice weekly. The primary outcome was the incidence of VAP and non-VAP. Secondary aim was to identify the risk factors associated with VAP and its effect on patients' outcome. <b>Results:</b> Incidence of VAP was 5.3%, while incidence of non-VAP was 9.5%. In multivariate analysis, male gender (sHR 3.01; CI 1.1-7.9), increase of white blood cells (WBC) count > 30% over 5 days (sHR 2.32; CI 1.23-3.9), heart disease (sHR 2.4; CI 1.36-4.59), and bacterial colonization of the pharynx (sHR 2.79; CI 1.13-4.39) were significantly associated with VAP. <b>Conclusions:</b> Pharyngeal colonization could be useful to identify patients at higher risk of VAP development. The low rate of VAP in this cohort suggests that SDD can prevent VAP after OHCA. Further studies are needed to explore the potential of SDD in OHCA patients.</p>\",\"PeriodicalId\":46583,\"journal\":{\"name\":\"Critical Care Research and Practice\",\"volume\":\"2025 \",\"pages\":\"7669466\"},\"PeriodicalIF\":1.8000,\"publicationDate\":\"2025-03-26\",\"publicationTypes\":\"Journal Article\",\"fieldsOfStudy\":null,\"isOpenAccess\":false,\"openAccessPdf\":\"https://www.ncbi.nlm.nih.gov/pmc/articles/PMC11964724/pdf/\",\"citationCount\":\"0\",\"resultStr\":null,\"platform\":\"Semanticscholar\",\"paperid\":null,\"PeriodicalName\":\"Critical Care Research and Practice\",\"FirstCategoryId\":\"1085\",\"ListUrlMain\":\"https://doi.org/10.1155/ccrp/7669466\",\"RegionNum\":0,\"RegionCategory\":null,\"ArticlePicture\":[],\"TitleCN\":null,\"AbstractTextCN\":null,\"PMCID\":null,\"EPubDate\":\"2025/1/1 0:00:00\",\"PubModel\":\"eCollection\",\"JCR\":\"Q3\",\"JCRName\":\"CRITICAL CARE MEDICINE\",\"Score\":null,\"Total\":0}","platform":"Semanticscholar","paperid":null,"PeriodicalName":"Critical Care Research and Practice","FirstCategoryId":"1085","ListUrlMain":"https://doi.org/10.1155/ccrp/7669466","RegionNum":0,"RegionCategory":null,"ArticlePicture":[],"TitleCN":null,"AbstractTextCN":null,"PMCID":null,"EPubDate":"2025/1/1 0:00:00","PubModel":"eCollection","JCR":"Q3","JCRName":"CRITICAL CARE MEDICINE","Score":null,"Total":0}
引用次数: 0

摘要

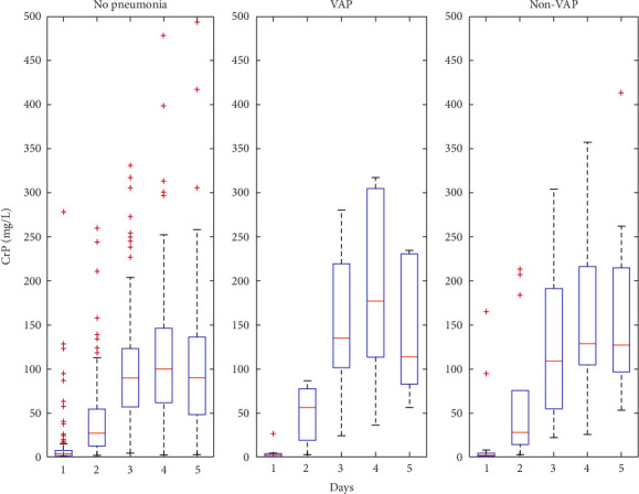
背景:院外心脏骤停(OHCA)是发病率和死亡率的主要原因。建议进行体温管理(TM),因为高热与较差的预后有关。肺炎是 OHCA 后的常见病,一些研究表明,体温管理可能会对肺炎的发展产生负面影响。一些中心使用选择性消化道净化(SDD)来降低重症监护病房(ICU)的肺炎发生率,但其使用仍存在争议。本研究旨在评估 OHCA 后 VAP 的发生率、风险因素和临床过程。方法:我们对连续 169 例 OHCA 患者入住 ICU 后的情况进行了回顾性队列研究。所有患者均接受了 TM 和 SDD 治疗。咽拭子每周分析两次。主要结果是 VAP 和非 VAP 的发生率。次要目的是确定与 VAP 相关的风险因素及其对患者预后的影响。结果VAP 发生率为 5.3%,非 VAP 发生率为 9.5%。在多变量分析中,男性(sHR 3.01;CI 1.1-7.9)、白细胞(WBC)计数在 5 天内增加超过 30%(sHR 2.32;CI 1.23-3.9)、心脏病(sHR 2.4;CI 1.36-4.59)和咽部细菌定植(sHR 2.79;CI 1.13-4.39)与 VAP 显著相关。结论咽部定植可用于识别VAP发生风险较高的患者。该队列中的 VAP 发生率较低,这表明 SDD 可以预防 OHCA 后的 VAP。我们需要进一步研究 SDD 在 OHCA 患者中的应用潜力。
本文章由计算机程序翻译,如有差异,请以英文原文为准。

Incidence and Risk Factors of Ventilator-Associated Pneumonia in Cardiac Arrest in Patients With Selective Digestive Decontamination.

Incidence and Risk Factors of Ventilator-Associated Pneumonia in Cardiac Arrest in Patients With Selective Digestive Decontamination.

Incidence and Risk Factors of Ventilator-Associated Pneumonia in Cardiac Arrest in Patients With Selective Digestive Decontamination.

Background: Out-of-hospital cardiac arrest (OHCA) is a leading cause of morbidity and mortality. Temperature management (TM) is recommended since hyperthermia is associated with worse outcomes. Pneumonia is a frequent occurrence following OHCA, and some studies suggest that TM may have a negative impact on its development. Selective digestive decontamination (SDD) is used in some centers to reduce the incidence of pneumonia in intensive care unit (ICU), but its use remains controversial. This study aims to assess the incidence, risk factors and clinical course of VAP after OHCA. Methods: We conducted a retrospective cohort study on 169 consecutive OHCA patients after their admission in ICU. All patients were treated with TM and SDD. Pharyngeal swabs were analyzed twice weekly. The primary outcome was the incidence of VAP and non-VAP. Secondary aim was to identify the risk factors associated with VAP and its effect on patients' outcome. Results: Incidence of VAP was 5.3%, while incidence of non-VAP was 9.5%. In multivariate analysis, male gender (sHR 3.01; CI 1.1-7.9), increase of white blood cells (WBC) count > 30% over 5 days (sHR 2.32; CI 1.23-3.9), heart disease (sHR 2.4; CI 1.36-4.59), and bacterial colonization of the pharynx (sHR 2.79; CI 1.13-4.39) were significantly associated with VAP. Conclusions: Pharyngeal colonization could be useful to identify patients at higher risk of VAP development. The low rate of VAP in this cohort suggests that SDD can prevent VAP after OHCA. Further studies are needed to explore the potential of SDD in OHCA patients.

求助全文
通过发布文献求助,成功后即可免费获取论文全文。 去求助
来源期刊
Critical Care Research and Practice
Critical Care Research and Practice CRITICAL CARE MEDICINE-
CiteScore
3.60
自引率
0.00%
发文量
34
审稿时长
14 weeks
×
引用
GB/T 7714-2015
复制
MLA
复制
APA
复制
导出至
BibTeX EndNote RefMan NoteFirst NoteExpress
×
提示
您的信息不完整,为了账户安全,请先补充。
现在去补充
×
提示
您因"违规操作"
具体请查看互助需知
我知道了
×
提示
确定
请完成安全验证×
copy
已复制链接
快去分享给好友吧!
我知道了
右上角分享
点击右上角分享
0
联系我们:info@booksci.cn Book学术提供免费学术资源搜索服务,方便国内外学者检索中英文文献。致力于提供最便捷和优质的服务体验。 Copyright © 2023 布克学术 All rights reserved.
京ICP备2023020795号-1
ghs 京公网安备 11010802042870号
Book学术文献互助
Book学术文献互助群
群 号:604180095
Book学术官方微信