伪果蝇的性选择、基因组进化和种群适合度。

IF 3.5 1区 生物学 Q1 BIOLOGY
Stewart Leigh, Peter Thorpe, Rhonda R Snook, Michael G Ritchie
{"title":"伪果蝇的性选择、基因组进化和种群适合度。","authors":"Stewart Leigh, Peter Thorpe, Rhonda R Snook, Michael G Ritchie","doi":"10.1098/rspb.2024.2744","DOIUrl":null,"url":null,"abstract":"<p><p>Sexual selection shapes the genome in unique ways. It is also likely to have significant fitness consequences, such as purging deleterious mutations from the genome or conversely maintaining genetic load in a population via sexual conflict. Here, we examined what the influence of sexual selection has on genomic variation potentially underlying population fitness using experimentally evolved <i>Drosophila pseudoobscura</i> populations. Sexual selection was manipulated by keeping replicate lines in elevated polyandry or strict monogamy for approximately 200 generations followed by individual-based sequencing. Using pi (<i>π</i>), fixation index (<i>F</i><sub>st</sub>)and recombination rate measures, we confirmed signatures of selection were not dispersed but mainly localized to the third and X chromosome. Overall mutational load was similar between lines but our analysis of the distribution of fitness effects revealed considerable variation between lines and chromosomes. Furthermore, we found that the distribution of transposable elements differs between the lines, with a higher load in monogamous lines. Our results suggest that complex interactions between purifying selection and sexual conflict are shaping the genome, particularly on chromosome 3 and the sex chromosome; sexual selection influences divergence across chromosomes but in a more complex way than proposed by simple 'purging' of deleterious loci.</p>","PeriodicalId":20589,"journal":{"name":"Proceedings of the Royal Society B: Biological Sciences","volume":"292 2044","pages":"20242744"},"PeriodicalIF":3.5000,"publicationDate":"2025-04-01","publicationTypes":"Journal Article","fieldsOfStudy":null,"isOpenAccess":false,"openAccessPdf":"https://www.ncbi.nlm.nih.gov/pmc/articles/PMC11961267/pdf/","citationCount":"0","resultStr":"{\"title\":\"Sexual selection, genomic evolution and population fitness in <i>Drosophila pseudoobscura</i>.\",\"authors\":\"Stewart Leigh, Peter Thorpe, Rhonda R Snook, Michael G Ritchie\",\"doi\":\"10.1098/rspb.2024.2744\",\"DOIUrl\":null,\"url\":null,\"abstract\":\"<p><p>Sexual selection shapes the genome in unique ways. It is also likely to have significant fitness consequences, such as purging deleterious mutations from the genome or conversely maintaining genetic load in a population via sexual conflict. Here, we examined what the influence of sexual selection has on genomic variation potentially underlying population fitness using experimentally evolved <i>Drosophila pseudoobscura</i> populations. Sexual selection was manipulated by keeping replicate lines in elevated polyandry or strict monogamy for approximately 200 generations followed by individual-based sequencing. Using pi (<i>π</i>), fixation index (<i>F</i><sub>st</sub>)and recombination rate measures, we confirmed signatures of selection were not dispersed but mainly localized to the third and X chromosome. Overall mutational load was similar between lines but our analysis of the distribution of fitness effects revealed considerable variation between lines and chromosomes. Furthermore, we found that the distribution of transposable elements differs between the lines, with a higher load in monogamous lines. Our results suggest that complex interactions between purifying selection and sexual conflict are shaping the genome, particularly on chromosome 3 and the sex chromosome; sexual selection influences divergence across chromosomes but in a more complex way than proposed by simple 'purging' of deleterious loci.</p>\",\"PeriodicalId\":20589,\"journal\":{\"name\":\"Proceedings of the Royal Society B: Biological Sciences\",\"volume\":\"292 2044\",\"pages\":\"20242744\"},\"PeriodicalIF\":3.5000,\"publicationDate\":\"2025-04-01\",\"publicationTypes\":\"Journal Article\",\"fieldsOfStudy\":null,\"isOpenAccess\":false,\"openAccessPdf\":\"https://www.ncbi.nlm.nih.gov/pmc/articles/PMC11961267/pdf/\",\"citationCount\":\"0\",\"resultStr\":null,\"platform\":\"Semanticscholar\",\"paperid\":null,\"PeriodicalName\":\"Proceedings of the Royal Society B: Biological Sciences\",\"FirstCategoryId\":\"99\",\"ListUrlMain\":\"https://doi.org/10.1098/rspb.2024.2744\",\"RegionNum\":1,\"RegionCategory\":\"生物学\",\"ArticlePicture\":[],\"TitleCN\":null,\"AbstractTextCN\":null,\"PMCID\":null,\"EPubDate\":\"2025/4/2 0:00:00\",\"PubModel\":\"Epub\",\"JCR\":\"Q1\",\"JCRName\":\"BIOLOGY\",\"Score\":null,\"Total\":0}","platform":"Semanticscholar","paperid":null,"PeriodicalName":"Proceedings of the Royal Society B: Biological Sciences","FirstCategoryId":"99","ListUrlMain":"https://doi.org/10.1098/rspb.2024.2744","RegionNum":1,"RegionCategory":"生物学","ArticlePicture":[],"TitleCN":null,"AbstractTextCN":null,"PMCID":null,"EPubDate":"2025/4/2 0:00:00","PubModel":"Epub","JCR":"Q1","JCRName":"BIOLOGY","Score":null,"Total":0}
引用次数: 0

摘要

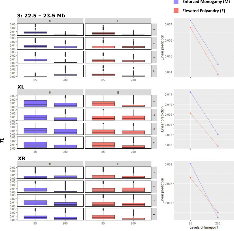
性选择以独特的方式塑造了基因组。它也可能具有显著的适应性后果,例如从基因组中清除有害突变,或相反地通过性冲突维持种群中的遗传负荷。在这里,我们以实验进化的伪眼果蝇种群为研究对象,研究了性选择对基因组变异潜在的种群适应性的影响。通过在大约200代内保持高度一夫多妻制或严格的一夫一妻制的复制系,然后进行基于个体的测序,来操纵性选择。利用圆周率(π)、固定指数(Fst)和重组率测定,我们证实了选择的特征不是分散的,而主要集中在第三染色体和X染色体上。总体突变负荷在株系之间相似,但我们对适应度效应分布的分析显示,株系和染色体之间存在相当大的差异。此外,我们发现转座因子的分布在不同的系之间不同,在一夫一妻制系中负载更高。我们的研究结果表明,净化选择和性冲突之间的复杂相互作用正在塑造基因组,特别是在3号染色体和性染色体上;性选择影响染色体间的差异,但其影响方式比“清除”有害基因座的简单方式更为复杂。
本文章由计算机程序翻译,如有差异,请以英文原文为准。

Sexual selection, genomic evolution and population fitness in <i>Drosophila pseudoobscura</i>.

Sexual selection, genomic evolution and population fitness in <i>Drosophila pseudoobscura</i>.

Sexual selection, genomic evolution and population fitness in <i>Drosophila pseudoobscura</i>.

Sexual selection, genomic evolution and population fitness in Drosophila pseudoobscura.

Sexual selection shapes the genome in unique ways. It is also likely to have significant fitness consequences, such as purging deleterious mutations from the genome or conversely maintaining genetic load in a population via sexual conflict. Here, we examined what the influence of sexual selection has on genomic variation potentially underlying population fitness using experimentally evolved Drosophila pseudoobscura populations. Sexual selection was manipulated by keeping replicate lines in elevated polyandry or strict monogamy for approximately 200 generations followed by individual-based sequencing. Using pi (π), fixation index (Fst)and recombination rate measures, we confirmed signatures of selection were not dispersed but mainly localized to the third and X chromosome. Overall mutational load was similar between lines but our analysis of the distribution of fitness effects revealed considerable variation between lines and chromosomes. Furthermore, we found that the distribution of transposable elements differs between the lines, with a higher load in monogamous lines. Our results suggest that complex interactions between purifying selection and sexual conflict are shaping the genome, particularly on chromosome 3 and the sex chromosome; sexual selection influences divergence across chromosomes but in a more complex way than proposed by simple 'purging' of deleterious loci.

求助全文
通过发布文献求助,成功后即可免费获取论文全文。 去求助
来源期刊
CiteScore
7.90
自引率
4.30%
发文量
502
审稿时长
1 months
期刊介绍: Proceedings B is the Royal Society’s flagship biological research journal, accepting original articles and reviews of outstanding scientific importance and broad general interest. The main criteria for acceptance are that a study is novel, and has general significance to biologists. Articles published cover a wide range of areas within the biological sciences, many have relevance to organisms and the environments in which they live. The scope includes, but is not limited to, ecology, evolution, behavior, health and disease epidemiology, neuroscience and cognition, behavioral genetics, development, biomechanics, paleontology, comparative biology, molecular ecology and evolution, and global change biology.
×
引用
GB/T 7714-2015
复制
MLA
复制
APA
复制
导出至
BibTeX EndNote RefMan NoteFirst NoteExpress
×
提示
您的信息不完整,为了账户安全,请先补充。
现在去补充
×
提示
您因"违规操作"
具体请查看互助需知
我知道了
×
提示
确定
请完成安全验证×
copy
已复制链接
快去分享给好友吧!
我知道了
右上角分享
点击右上角分享
0
联系我们:info@booksci.cn Book学术提供免费学术资源搜索服务,方便国内外学者检索中英文文献。致力于提供最便捷和优质的服务体验。 Copyright © 2023 布克学术 All rights reserved.
京ICP备2023020795号-1
ghs 京公网安备 11010802042870号
Book学术文献互助
Book学术文献互助群
群 号:604180095
Book学术官方微信