在出生时被列为男性的跨性别和非二元成人中注射雌二醇的剂量方案。

IF 3.1 Q2 ENDOCRINOLOGY & METABOLISM
Journal of the Endocrine Society Pub Date : 2025-01-21 eCollection Date: 2025-05-01 DOI:10.1210/jendso/bvaf004
Maralee Kanin, Margaret Slack, Reema Patel, Kuan-Ting Chen, Nicholas Jackson, Kristen C Williams, Shira Grock
{"title":"在出生时被列为男性的跨性别和非二元成人中注射雌二醇的剂量方案。","authors":"Maralee Kanin, Margaret Slack, Reema Patel, Kuan-Ting Chen, Nicholas Jackson, Kristen C Williams, Shira Grock","doi":"10.1210/jendso/bvaf004","DOIUrl":null,"url":null,"abstract":"<p><strong>Context: </strong>Many transgender and nonbinary (TGNB) individuals assigned male at birth (AMAB) seek hormone therapy to achieve physical and emotional changes. Standard therapy includes estradiol, with or without an antiandrogen. Our clinical observations suggest that currently recommended injectable estradiol dosing may lead to supratherapeutic estradiol levels.</p><p><strong>Objective: </strong>We sought to evaluate whether lower-than-recommended doses of injectable estradiol were effective in achieving serum estradiol and testosterone goals.</p><p><strong>Methods: </strong>We conducted a retrospective cohort study to evaluate injectable estradiol dosing in treatment-naive AMAB individuals initiating hormone therapy. Data from a single provider at an academic center from January 2017 to March 2023 were analyzed. A total of 29 patients were eligible for inclusion. The primary variables of estradiol dosage, serum estradiol, and testosterone levels were analyzed over 15 months.</p><p><strong>Results: </strong>The average estradiol dose decreased from 4.3 to 3.7 mg weekly (<i>P</i> < .001) during the study period with a final on-treatment estradiol level of 248 pg/mL. All individuals achieved a testosterone level of less than 50 ng/dL during the study period. The average initial on-treatment testosterone level was not significantly different from average final on-treatment measurement of 24.0 mg/dL (<i>P</i> = .95). Spironolactone use at study initiation was not associated with a lower initial on-treatment testosterone level, though it was associated with a lower estradiol level of 285 pg/dL compared to 427 pg/dL for those on estradiol monotherapy (<i>P</i> = .017).</p><p><strong>Conclusion: </strong>Lower doses of injectable estradiol can achieve therapeutic estradiol levels with excellent testosterone suppression. Spironolactone was not associated with additional testosterone suppression and may result in lower estradiol levels.</p>","PeriodicalId":17334,"journal":{"name":"Journal of the Endocrine Society","volume":"9 5","pages":"bvaf004"},"PeriodicalIF":3.1000,"publicationDate":"2025-01-21","publicationTypes":"Journal Article","fieldsOfStudy":null,"isOpenAccess":false,"openAccessPdf":"https://www.ncbi.nlm.nih.gov/pmc/articles/PMC11957913/pdf/","citationCount":"0","resultStr":"{\"title\":\"Injectable Estradiol Dosing Regimens in Transgender and Nonbinary Adults Listed as Male at Birth.\",\"authors\":\"Maralee Kanin, Margaret Slack, Reema Patel, Kuan-Ting Chen, Nicholas Jackson, Kristen C Williams, Shira Grock\",\"doi\":\"10.1210/jendso/bvaf004\",\"DOIUrl\":null,\"url\":null,\"abstract\":\"<p><strong>Context: </strong>Many transgender and nonbinary (TGNB) individuals assigned male at birth (AMAB) seek hormone therapy to achieve physical and emotional changes. Standard therapy includes estradiol, with or without an antiandrogen. Our clinical observations suggest that currently recommended injectable estradiol dosing may lead to supratherapeutic estradiol levels.</p><p><strong>Objective: </strong>We sought to evaluate whether lower-than-recommended doses of injectable estradiol were effective in achieving serum estradiol and testosterone goals.</p><p><strong>Methods: </strong>We conducted a retrospective cohort study to evaluate injectable estradiol dosing in treatment-naive AMAB individuals initiating hormone therapy. Data from a single provider at an academic center from January 2017 to March 2023 were analyzed. A total of 29 patients were eligible for inclusion. The primary variables of estradiol dosage, serum estradiol, and testosterone levels were analyzed over 15 months.</p><p><strong>Results: </strong>The average estradiol dose decreased from 4.3 to 3.7 mg weekly (<i>P</i> < .001) during the study period with a final on-treatment estradiol level of 248 pg/mL. All individuals achieved a testosterone level of less than 50 ng/dL during the study period. The average initial on-treatment testosterone level was not significantly different from average final on-treatment measurement of 24.0 mg/dL (<i>P</i> = .95). Spironolactone use at study initiation was not associated with a lower initial on-treatment testosterone level, though it was associated with a lower estradiol level of 285 pg/dL compared to 427 pg/dL for those on estradiol monotherapy (<i>P</i> = .017).</p><p><strong>Conclusion: </strong>Lower doses of injectable estradiol can achieve therapeutic estradiol levels with excellent testosterone suppression. Spironolactone was not associated with additional testosterone suppression and may result in lower estradiol levels.</p>\",\"PeriodicalId\":17334,\"journal\":{\"name\":\"Journal of the Endocrine Society\",\"volume\":\"9 5\",\"pages\":\"bvaf004\"},\"PeriodicalIF\":3.1000,\"publicationDate\":\"2025-01-21\",\"publicationTypes\":\"Journal Article\",\"fieldsOfStudy\":null,\"isOpenAccess\":false,\"openAccessPdf\":\"https://www.ncbi.nlm.nih.gov/pmc/articles/PMC11957913/pdf/\",\"citationCount\":\"0\",\"resultStr\":null,\"platform\":\"Semanticscholar\",\"paperid\":null,\"PeriodicalName\":\"Journal of the Endocrine Society\",\"FirstCategoryId\":\"1085\",\"ListUrlMain\":\"https://doi.org/10.1210/jendso/bvaf004\",\"RegionNum\":0,\"RegionCategory\":null,\"ArticlePicture\":[],\"TitleCN\":null,\"AbstractTextCN\":null,\"PMCID\":null,\"EPubDate\":\"2025/5/1 0:00:00\",\"PubModel\":\"eCollection\",\"JCR\":\"Q2\",\"JCRName\":\"ENDOCRINOLOGY & METABOLISM\",\"Score\":null,\"Total\":0}","platform":"Semanticscholar","paperid":null,"PeriodicalName":"Journal of the Endocrine Society","FirstCategoryId":"1085","ListUrlMain":"https://doi.org/10.1210/jendso/bvaf004","RegionNum":0,"RegionCategory":null,"ArticlePicture":[],"TitleCN":null,"AbstractTextCN":null,"PMCID":null,"EPubDate":"2025/5/1 0:00:00","PubModel":"eCollection","JCR":"Q2","JCRName":"ENDOCRINOLOGY & METABOLISM","Score":null,"Total":0}
引用次数: 0

摘要

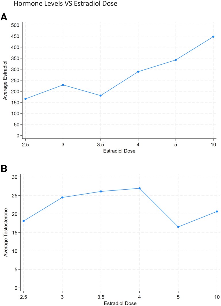
背景:许多跨性别和非二元性别(TGNB)个体在出生时被指定为男性(AMAB)寻求激素治疗来实现身体和情绪的改变。标准治疗包括雌二醇,有或没有抗雄激素。我们的临床观察表明,目前推荐的注射雌二醇剂量可能导致超治疗雌二醇水平。目的:我们试图评估低于推荐剂量的注射雌二醇是否能有效达到血清雌二醇和睾酮的目标。方法:我们进行了一项回顾性队列研究,以评估在开始激素治疗的AMAB患者中注射雌二醇的剂量。分析了2017年1月至2023年3月来自某学术中心单一供应商的数据。共有29例患者符合纳入条件。在15个月内分析雌二醇剂量、血清雌二醇和睾酮水平等主要变量。结果:在研究期间,平均雌二醇剂量从4.3 mg /周减少到3.7 mg /周(P < 0.001),最终治疗时雌二醇水平为248 pg/mL。在研究期间,所有受试者的睾酮水平均低于50纳克/分升。平均初始治疗期睾酮水平与平均最终治疗期睾酮水平(24.0 mg/dL)无显著差异(P = 0.95)。研究开始时使用螺内酯与较低的初始治疗期睾酮水平无关,但与雌二醇单药治疗组的427 pg/dL相比,它与285 pg/dL的较低雌二醇水平相关(P = 0.017)。结论:低剂量注射雌二醇可达到治疗性雌二醇水平,且具有良好的睾酮抑制作用。螺内酯与额外的睾酮抑制无关,可能导致雌二醇水平降低。
本文章由计算机程序翻译,如有差异,请以英文原文为准。

Injectable Estradiol Dosing Regimens in Transgender and Nonbinary Adults Listed as Male at Birth.

Injectable Estradiol Dosing Regimens in Transgender and Nonbinary Adults Listed as Male at Birth.

Injectable Estradiol Dosing Regimens in Transgender and Nonbinary Adults Listed as Male at Birth.

Injectable Estradiol Dosing Regimens in Transgender and Nonbinary Adults Listed as Male at Birth.

Context: Many transgender and nonbinary (TGNB) individuals assigned male at birth (AMAB) seek hormone therapy to achieve physical and emotional changes. Standard therapy includes estradiol, with or without an antiandrogen. Our clinical observations suggest that currently recommended injectable estradiol dosing may lead to supratherapeutic estradiol levels.

Objective: We sought to evaluate whether lower-than-recommended doses of injectable estradiol were effective in achieving serum estradiol and testosterone goals.

Methods: We conducted a retrospective cohort study to evaluate injectable estradiol dosing in treatment-naive AMAB individuals initiating hormone therapy. Data from a single provider at an academic center from January 2017 to March 2023 were analyzed. A total of 29 patients were eligible for inclusion. The primary variables of estradiol dosage, serum estradiol, and testosterone levels were analyzed over 15 months.

Results: The average estradiol dose decreased from 4.3 to 3.7 mg weekly (P < .001) during the study period with a final on-treatment estradiol level of 248 pg/mL. All individuals achieved a testosterone level of less than 50 ng/dL during the study period. The average initial on-treatment testosterone level was not significantly different from average final on-treatment measurement of 24.0 mg/dL (P = .95). Spironolactone use at study initiation was not associated with a lower initial on-treatment testosterone level, though it was associated with a lower estradiol level of 285 pg/dL compared to 427 pg/dL for those on estradiol monotherapy (P = .017).

Conclusion: Lower doses of injectable estradiol can achieve therapeutic estradiol levels with excellent testosterone suppression. Spironolactone was not associated with additional testosterone suppression and may result in lower estradiol levels.

求助全文
通过发布文献求助,成功后即可免费获取论文全文。 去求助
来源期刊
Journal of the Endocrine Society
Journal of the Endocrine Society Medicine-Endocrinology, Diabetes and Metabolism
CiteScore
5.50
自引率
0.00%
发文量
2039
审稿时长
9 weeks
×
引用
GB/T 7714-2015
复制
MLA
复制
APA
复制
导出至
BibTeX EndNote RefMan NoteFirst NoteExpress
×
提示
您的信息不完整,为了账户安全,请先补充。
现在去补充
×
提示
您因"违规操作"
具体请查看互助需知
我知道了
×
提示
确定
请完成安全验证×
copy
已复制链接
快去分享给好友吧!
我知道了
右上角分享
点击右上角分享
0
联系我们:info@booksci.cn Book学术提供免费学术资源搜索服务,方便国内外学者检索中英文文献。致力于提供最便捷和优质的服务体验。 Copyright © 2023 布克学术 All rights reserved.
京ICP备2023020795号-1
ghs 京公网安备 11010802042870号
Book学术文献互助
Book学术文献互助群
群 号:604180095
Book学术官方微信