II-17抑制剂治疗银屑病:Secukinumab与Ixekizumab在现实世界实践中的长期有效性和药物生存期的比较

IF 5.2 Q1 DERMATOLOGY
Psoriasis (Auckland, N.Z.) Pub Date : 2025-03-27 eCollection Date: 2025-01-01 DOI:10.2147/PTT.S509495
Joan Lam, Simone Cazzaniga, S Morteza Seyed Jafari, Julia-Tatjana Maul, Laurence Feldmeyer, Simon Bossart, Nikhil Yawalkar, Kristine Heidemeyer
{"title":"II-17抑制剂治疗银屑病:Secukinumab与Ixekizumab在现实世界实践中的长期有效性和药物生存期的比较","authors":"Joan Lam, Simone Cazzaniga, S Morteza Seyed Jafari, Julia-Tatjana Maul, Laurence Feldmeyer, Simon Bossart, Nikhil Yawalkar, Kristine Heidemeyer","doi":"10.2147/PTT.S509495","DOIUrl":null,"url":null,"abstract":"<p><strong>Introduction: </strong>The emergence of IL-17A inhibitors, has led to improvements in psoriasis treatment. However, comparative studies addressing their long-term efficacy and drug survival with associated predictors are scarce. The study aimed to compare the characteristics of patients treated with secukinumab or ixekizumab and in addition to analyze associated factors and independent predictors of drug survival in a real-world setting.</p><p><strong>Methods: </strong>This study was designed as a single-center retrospective study. Kaplan-Meier analysis was used to assess drug survival. Log rank test and Cox regression analysis were performed to identify associated factors and possible independent predictors for drug discontinuation.</p><p><strong>Results: </strong>81 patients have been included in the study. Ixekizumab showed a trend toward faster and higher Psoriasis Area and Severity Index (PASI) 75 and 90 response rates compared to secukinumab at weeks 52 (74.6% versus 55.4%) and 104 (41.5% versus 31.1%). Overall, drug survival rates for ixekizumab were always higher than secukinumab, although the differences were not statistically significant (P = 0.26). Four predictors were identified. For secukinumab, nail psoriasis (hazard ratio [HR]: 0.27, 95% confidence interval [CI]: 0.09-0.83; P = 0.02) was assessed to be a protective factor favoring drug continuation, while five or more previous therapies (HR: 5.52, 95% CI: 1.98-15.40, P = 0.007) were considered a risk factor for discontinuation. In the ixekizumab group, psoriasis inversa was identified as a protective factor (HR: 0.15, 95% CI: 0.03-0.72; P = 0.02), and female sex (HR: 3.47, 95% CI: 1.09-10.99, P = 0.03) was considered a risk factor.</p><p><strong>Conclusion: </strong>Ixekizumab exhibited a non-significant trend toward better long-term efficacy and drug survival compared to secukinumab with slightly lower tolerability. Patient characteristics, including nail psoriasis and treatment history, influenced drug survival differently for each treatment. These findings underscore the importance of personalized treatment strategies in managing psoriasis.</p>","PeriodicalId":74589,"journal":{"name":"Psoriasis (Auckland, N.Z.)","volume":"15 ","pages":"71-84"},"PeriodicalIF":5.2000,"publicationDate":"2025-03-27","publicationTypes":"Journal Article","fieldsOfStudy":null,"isOpenAccess":false,"openAccessPdf":"https://www.ncbi.nlm.nih.gov/pmc/articles/PMC11956732/pdf/","citationCount":"0","resultStr":"{\"title\":\"Treatment of Psoriasis with II-17 Inhibitors: Comparison of Long-Term Effectiveness and Drug Survival of Secukinumab vs Ixekizumab in Real-World Practice.\",\"authors\":\"Joan Lam, Simone Cazzaniga, S Morteza Seyed Jafari, Julia-Tatjana Maul, Laurence Feldmeyer, Simon Bossart, Nikhil Yawalkar, Kristine Heidemeyer\",\"doi\":\"10.2147/PTT.S509495\",\"DOIUrl\":null,\"url\":null,\"abstract\":\"<p><strong>Introduction: </strong>The emergence of IL-17A inhibitors, has led to improvements in psoriasis treatment. However, comparative studies addressing their long-term efficacy and drug survival with associated predictors are scarce. The study aimed to compare the characteristics of patients treated with secukinumab or ixekizumab and in addition to analyze associated factors and independent predictors of drug survival in a real-world setting.</p><p><strong>Methods: </strong>This study was designed as a single-center retrospective study. Kaplan-Meier analysis was used to assess drug survival. Log rank test and Cox regression analysis were performed to identify associated factors and possible independent predictors for drug discontinuation.</p><p><strong>Results: </strong>81 patients have been included in the study. Ixekizumab showed a trend toward faster and higher Psoriasis Area and Severity Index (PASI) 75 and 90 response rates compared to secukinumab at weeks 52 (74.6% versus 55.4%) and 104 (41.5% versus 31.1%). Overall, drug survival rates for ixekizumab were always higher than secukinumab, although the differences were not statistically significant (P = 0.26). Four predictors were identified. For secukinumab, nail psoriasis (hazard ratio [HR]: 0.27, 95% confidence interval [CI]: 0.09-0.83; P = 0.02) was assessed to be a protective factor favoring drug continuation, while five or more previous therapies (HR: 5.52, 95% CI: 1.98-15.40, P = 0.007) were considered a risk factor for discontinuation. In the ixekizumab group, psoriasis inversa was identified as a protective factor (HR: 0.15, 95% CI: 0.03-0.72; P = 0.02), and female sex (HR: 3.47, 95% CI: 1.09-10.99, P = 0.03) was considered a risk factor.</p><p><strong>Conclusion: </strong>Ixekizumab exhibited a non-significant trend toward better long-term efficacy and drug survival compared to secukinumab with slightly lower tolerability. Patient characteristics, including nail psoriasis and treatment history, influenced drug survival differently for each treatment. These findings underscore the importance of personalized treatment strategies in managing psoriasis.</p>\",\"PeriodicalId\":74589,\"journal\":{\"name\":\"Psoriasis (Auckland, N.Z.)\",\"volume\":\"15 \",\"pages\":\"71-84\"},\"PeriodicalIF\":5.2000,\"publicationDate\":\"2025-03-27\",\"publicationTypes\":\"Journal Article\",\"fieldsOfStudy\":null,\"isOpenAccess\":false,\"openAccessPdf\":\"https://www.ncbi.nlm.nih.gov/pmc/articles/PMC11956732/pdf/\",\"citationCount\":\"0\",\"resultStr\":null,\"platform\":\"Semanticscholar\",\"paperid\":null,\"PeriodicalName\":\"Psoriasis (Auckland, N.Z.)\",\"FirstCategoryId\":\"1085\",\"ListUrlMain\":\"https://doi.org/10.2147/PTT.S509495\",\"RegionNum\":0,\"RegionCategory\":null,\"ArticlePicture\":[],\"TitleCN\":null,\"AbstractTextCN\":null,\"PMCID\":null,\"EPubDate\":\"2025/1/1 0:00:00\",\"PubModel\":\"eCollection\",\"JCR\":\"Q1\",\"JCRName\":\"DERMATOLOGY\",\"Score\":null,\"Total\":0}","platform":"Semanticscholar","paperid":null,"PeriodicalName":"Psoriasis (Auckland, N.Z.)","FirstCategoryId":"1085","ListUrlMain":"https://doi.org/10.2147/PTT.S509495","RegionNum":0,"RegionCategory":null,"ArticlePicture":[],"TitleCN":null,"AbstractTextCN":null,"PMCID":null,"EPubDate":"2025/1/1 0:00:00","PubModel":"eCollection","JCR":"Q1","JCRName":"DERMATOLOGY","Score":null,"Total":0}
引用次数: 0

摘要

简介IL-17A 抑制剂的出现改善了银屑病的治疗。然而,针对其长期疗效和药物存活率以及相关预测因素的比较研究却很少。本研究旨在比较接受secukinumab或ixekizumab治疗的患者的特征,并分析现实世界中药物存活率的相关因素和独立预测因素:本研究为单中心回顾性研究。方法:本研究为单中心回顾性研究,采用卡普兰-梅耶分析法评估药物存活率。进行对数秩检验和 Cox 回归分析,以确定停药的相关因素和可能的独立预测因素:研究共纳入81名患者。在第52周(74.6%对55.4%)和第104周(41.5%对31.1%),伊昔单抗的银屑病面积和严重程度指数(PASI)75和90应答率与secukinumab相比呈现出更快、更高的趋势。总体而言,ixekizumab的药物存活率始终高于secukinumab,但差异无统计学意义(P = 0.26)。研究发现了四个预测因素。对于secukinumab,甲银屑病(危险比[HR]:0.27,95% 置信区间[CI]:0.09-0.83;P = 0.02)被认为是有利于继续用药的保护因素,而既往接受过五次或五次以上治疗(HR:5.52,95% CI:1.98-15.40,P = 0.007)被认为是停药的危险因素。在ixekizumab组中,反向银屑病被认为是一个保护因素(HR:0.15,95% CI:0.03-0.72;P = 0.02),而女性性别(HR:3.47,95% CI:1.09-10.99,P = 0.03)被认为是一个风险因素:结论:与secukinumab相比,Ixekizumab的长期疗效和药物存活率呈非显著性趋势,但耐受性略低。患者特征(包括指甲银屑病和治疗史)对每种治疗方法的药物存活率都有不同的影响。这些发现强调了个性化治疗策略在银屑病管理中的重要性。
本文章由计算机程序翻译,如有差异,请以英文原文为准。

Treatment of Psoriasis with II-17 Inhibitors: Comparison of Long-Term Effectiveness and Drug Survival of Secukinumab vs Ixekizumab in Real-World Practice.

Treatment of Psoriasis with II-17 Inhibitors: Comparison of Long-Term Effectiveness and Drug Survival of Secukinumab vs Ixekizumab in Real-World Practice.

Treatment of Psoriasis with II-17 Inhibitors: Comparison of Long-Term Effectiveness and Drug Survival of Secukinumab vs Ixekizumab in Real-World Practice.

Treatment of Psoriasis with II-17 Inhibitors: Comparison of Long-Term Effectiveness and Drug Survival of Secukinumab vs Ixekizumab in Real-World Practice.

Introduction: The emergence of IL-17A inhibitors, has led to improvements in psoriasis treatment. However, comparative studies addressing their long-term efficacy and drug survival with associated predictors are scarce. The study aimed to compare the characteristics of patients treated with secukinumab or ixekizumab and in addition to analyze associated factors and independent predictors of drug survival in a real-world setting.

Methods: This study was designed as a single-center retrospective study. Kaplan-Meier analysis was used to assess drug survival. Log rank test and Cox regression analysis were performed to identify associated factors and possible independent predictors for drug discontinuation.

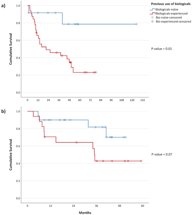
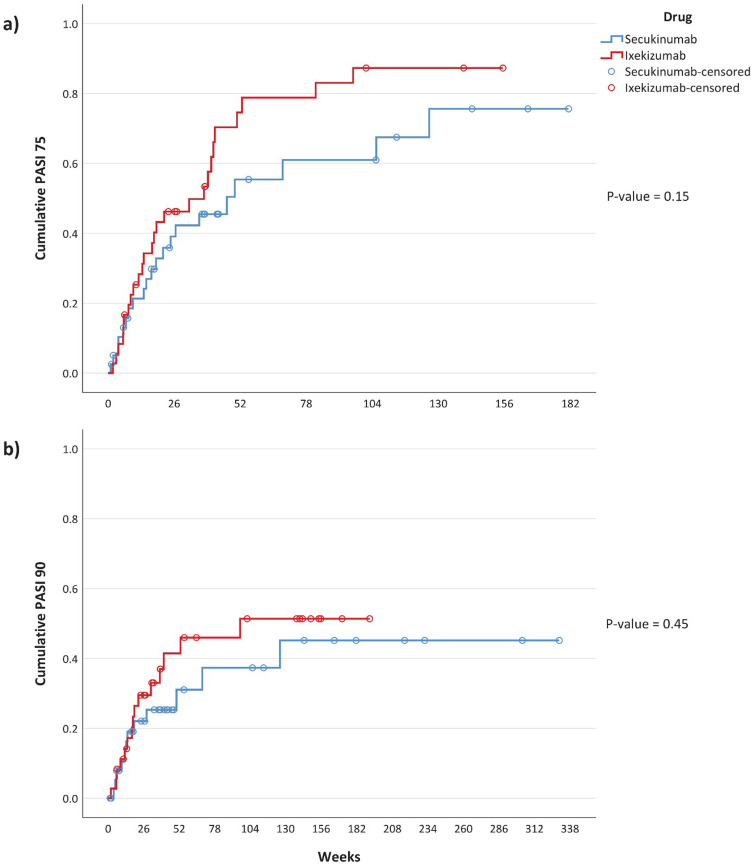
Results: 81 patients have been included in the study. Ixekizumab showed a trend toward faster and higher Psoriasis Area and Severity Index (PASI) 75 and 90 response rates compared to secukinumab at weeks 52 (74.6% versus 55.4%) and 104 (41.5% versus 31.1%). Overall, drug survival rates for ixekizumab were always higher than secukinumab, although the differences were not statistically significant (P = 0.26). Four predictors were identified. For secukinumab, nail psoriasis (hazard ratio [HR]: 0.27, 95% confidence interval [CI]: 0.09-0.83; P = 0.02) was assessed to be a protective factor favoring drug continuation, while five or more previous therapies (HR: 5.52, 95% CI: 1.98-15.40, P = 0.007) were considered a risk factor for discontinuation. In the ixekizumab group, psoriasis inversa was identified as a protective factor (HR: 0.15, 95% CI: 0.03-0.72; P = 0.02), and female sex (HR: 3.47, 95% CI: 1.09-10.99, P = 0.03) was considered a risk factor.

Conclusion: Ixekizumab exhibited a non-significant trend toward better long-term efficacy and drug survival compared to secukinumab with slightly lower tolerability. Patient characteristics, including nail psoriasis and treatment history, influenced drug survival differently for each treatment. These findings underscore the importance of personalized treatment strategies in managing psoriasis.

求助全文
通过发布文献求助,成功后即可免费获取论文全文。 去求助
来源期刊
自引率
0.00%
发文量
0
审稿时长
16 weeks
×
引用
GB/T 7714-2015
复制
MLA
复制
APA
复制
导出至
BibTeX EndNote RefMan NoteFirst NoteExpress
×
提示
您的信息不完整,为了账户安全,请先补充。
现在去补充
×
提示
您因"违规操作"
具体请查看互助需知
我知道了
×
提示
确定
请完成安全验证×
copy
已复制链接
快去分享给好友吧!
我知道了
右上角分享
点击右上角分享
0
联系我们:info@booksci.cn Book学术提供免费学术资源搜索服务,方便国内外学者检索中英文文献。致力于提供最便捷和优质的服务体验。 Copyright © 2023 布克学术 All rights reserved.
京ICP备2023020795号-1
ghs 京公网安备 11010802042870号
Book学术文献互助
Book学术文献互助群
群 号:604180095
Book学术官方微信