在人乳头瘤病毒感染的宫颈癌细胞中抑制p16和NF-κB的致癌活性:激活转录因子-3的新作用

IF 3.9 3区 工程技术 Q2 BIOLOGY
Yale Journal of Biology and Medicine Pub Date : 2025-03-31 eCollection Date: 2025-03-01 DOI:10.59249/XCAB1680
Zahra Bagheri, Haniyeh Abuei, Alireza Jaafari, Shayan Taki, Amirhossein Akbarpour Arsanjani, Ali Farhadi
{"title":"在人乳头瘤病毒感染的宫颈癌细胞中抑制p16和NF-κB的致癌活性:激活转录因子-3的新作用","authors":"Zahra Bagheri, Haniyeh Abuei, Alireza Jaafari, Shayan Taki, Amirhossein Akbarpour Arsanjani, Ali Farhadi","doi":"10.59249/XCAB1680","DOIUrl":null,"url":null,"abstract":"<p><p><b>Objective</b>: Activating transcription factor 3 (ATF3) has attracted recent scientific attention as a novel mediator of tumor suppression, particularly within the context of cervical cancer (CC). Our prior research demonstrated that ATF3 overexpression induces cell cycle arrest and apoptosis in human papillomavirus (HPV)16- and HPV18-positive CC cells. The present study aims to examine the impact of ATF3 overexpression on the expression levels of p16 and NF-κB, two proteins with pro-tumorigenic roles in HPV-induced CC. <b>Methods</b>: Ca Ski and HeLa cells underwent transfection with pCMV6-AC-IRES-GFP plasmids containing the <i>ATF3</i> gene. To establish the optimal plasmid DNA quantities for transfection, MTT assay was conducted. Furthermore, fluorescence microscopy and flow cytometric analysis were employed to assess the efficiency of transfection. The expression levels of p16 and NF-κB were evaluated by RT-qPCR and western blotting prior and subsequent to ATF3 overexpression. <b>Results</b>: The overexpression of ATF3 induced a decrease in <i>p16</i> mRNA levels in both Ca Ski and HeLa cells (p<0.04), along with the concomitant reduction of p16 protein expression within both cellular populations (p<0.005). Additionally, it led to a reduction in NF-κB p65 protein levels in both cell lines (p<0.005), with no discernible impact on its mRNA expression. <b>Conclusion</b>: Given ATF3's demonstrated capability to downregulate p16 and NF-κB, both of which play important pro-tumorigenic roles in HPV-related CC, ATF3 emerges as a promising therapeutic candidate with the potential for application in the treatment of CC.</p>","PeriodicalId":48617,"journal":{"name":"Yale Journal of Biology and Medicine","volume":"98 1","pages":"21-32"},"PeriodicalIF":3.9000,"publicationDate":"2025-03-31","publicationTypes":"Journal Article","fieldsOfStudy":null,"isOpenAccess":false,"openAccessPdf":"https://www.ncbi.nlm.nih.gov/pmc/articles/PMC11899261/pdf/","citationCount":"0","resultStr":"{\"title\":\"Inhibition of p16 and NF-κB Oncogenic Activity in Human Papillomavirus-Infected Cervical Cancer Cells: A New Role for Activating Transcription Factor-3.\",\"authors\":\"Zahra Bagheri, Haniyeh Abuei, Alireza Jaafari, Shayan Taki, Amirhossein Akbarpour Arsanjani, Ali Farhadi\",\"doi\":\"10.59249/XCAB1680\",\"DOIUrl\":null,\"url\":null,\"abstract\":\"<p><p><b>Objective</b>: Activating transcription factor 3 (ATF3) has attracted recent scientific attention as a novel mediator of tumor suppression, particularly within the context of cervical cancer (CC). Our prior research demonstrated that ATF3 overexpression induces cell cycle arrest and apoptosis in human papillomavirus (HPV)16- and HPV18-positive CC cells. The present study aims to examine the impact of ATF3 overexpression on the expression levels of p16 and NF-κB, two proteins with pro-tumorigenic roles in HPV-induced CC. <b>Methods</b>: Ca Ski and HeLa cells underwent transfection with pCMV6-AC-IRES-GFP plasmids containing the <i>ATF3</i> gene. To establish the optimal plasmid DNA quantities for transfection, MTT assay was conducted. Furthermore, fluorescence microscopy and flow cytometric analysis were employed to assess the efficiency of transfection. The expression levels of p16 and NF-κB were evaluated by RT-qPCR and western blotting prior and subsequent to ATF3 overexpression. <b>Results</b>: The overexpression of ATF3 induced a decrease in <i>p16</i> mRNA levels in both Ca Ski and HeLa cells (p<0.04), along with the concomitant reduction of p16 protein expression within both cellular populations (p<0.005). Additionally, it led to a reduction in NF-κB p65 protein levels in both cell lines (p<0.005), with no discernible impact on its mRNA expression. <b>Conclusion</b>: Given ATF3's demonstrated capability to downregulate p16 and NF-κB, both of which play important pro-tumorigenic roles in HPV-related CC, ATF3 emerges as a promising therapeutic candidate with the potential for application in the treatment of CC.</p>\",\"PeriodicalId\":48617,\"journal\":{\"name\":\"Yale Journal of Biology and Medicine\",\"volume\":\"98 1\",\"pages\":\"21-32\"},\"PeriodicalIF\":3.9000,\"publicationDate\":\"2025-03-31\",\"publicationTypes\":\"Journal Article\",\"fieldsOfStudy\":null,\"isOpenAccess\":false,\"openAccessPdf\":\"https://www.ncbi.nlm.nih.gov/pmc/articles/PMC11899261/pdf/\",\"citationCount\":\"0\",\"resultStr\":null,\"platform\":\"Semanticscholar\",\"paperid\":null,\"PeriodicalName\":\"Yale Journal of Biology and Medicine\",\"FirstCategoryId\":\"5\",\"ListUrlMain\":\"https://doi.org/10.59249/XCAB1680\",\"RegionNum\":3,\"RegionCategory\":\"工程技术\",\"ArticlePicture\":[],\"TitleCN\":null,\"AbstractTextCN\":null,\"PMCID\":null,\"EPubDate\":\"2025/3/1 0:00:00\",\"PubModel\":\"eCollection\",\"JCR\":\"Q2\",\"JCRName\":\"BIOLOGY\",\"Score\":null,\"Total\":0}","platform":"Semanticscholar","paperid":null,"PeriodicalName":"Yale Journal of Biology and Medicine","FirstCategoryId":"5","ListUrlMain":"https://doi.org/10.59249/XCAB1680","RegionNum":3,"RegionCategory":"工程技术","ArticlePicture":[],"TitleCN":null,"AbstractTextCN":null,"PMCID":null,"EPubDate":"2025/3/1 0:00:00","PubModel":"eCollection","JCR":"Q2","JCRName":"BIOLOGY","Score":null,"Total":0}
引用次数: 0

摘要

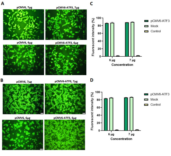
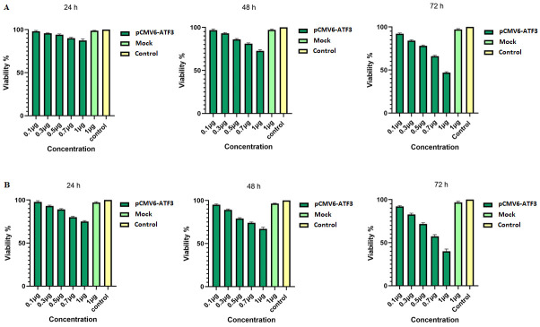
目的:激活转录因子3 (ATF3)作为一种新的肿瘤抑制介质引起了最近的科学关注,特别是在宫颈癌(CC)的背景下。我们之前的研究表明,在人乳头瘤病毒(HPV)16-和hpv18阳性的CC细胞中,ATF3过表达诱导细胞周期阻滞和凋亡。本研究旨在探讨ATF3过表达对hpv诱导的CC中具有致瘤作用的两种蛋白p16和NF-κB表达水平的影响。方法:用含有ATF3基因的pCMV6-AC-IRES-GFP质粒转染Ca Ski和HeLa细胞。为确定转染的最佳质粒DNA量,采用MTT法。此外,采用荧光显微镜和流式细胞术分析评估转染效率。RT-qPCR和western blotting检测ATF3过表达前后p16和NF-κB的表达水平。结果:ATF3的过表达诱导Ca Ski和HeLa细胞中p16 mRNA水平的降低(结论:鉴于ATF3具有下调p16和NF-κB的能力,这两者在hpv相关的CC中起着重要的促肿瘤作用,ATF3成为一种有希望的治疗候选药物,具有应用于CC治疗的潜力。
本文章由计算机程序翻译,如有差异,请以英文原文为准。

Inhibition of p16 and NF-κB Oncogenic Activity in Human Papillomavirus-Infected Cervical Cancer Cells: A New Role for Activating Transcription Factor-3.

Inhibition of p16 and NF-κB Oncogenic Activity in Human Papillomavirus-Infected Cervical Cancer Cells: A New Role for Activating Transcription Factor-3.

Inhibition of p16 and NF-κB Oncogenic Activity in Human Papillomavirus-Infected Cervical Cancer Cells: A New Role for Activating Transcription Factor-3.

Inhibition of p16 and NF-κB Oncogenic Activity in Human Papillomavirus-Infected Cervical Cancer Cells: A New Role for Activating Transcription Factor-3.

Objective: Activating transcription factor 3 (ATF3) has attracted recent scientific attention as a novel mediator of tumor suppression, particularly within the context of cervical cancer (CC). Our prior research demonstrated that ATF3 overexpression induces cell cycle arrest and apoptosis in human papillomavirus (HPV)16- and HPV18-positive CC cells. The present study aims to examine the impact of ATF3 overexpression on the expression levels of p16 and NF-κB, two proteins with pro-tumorigenic roles in HPV-induced CC. Methods: Ca Ski and HeLa cells underwent transfection with pCMV6-AC-IRES-GFP plasmids containing the ATF3 gene. To establish the optimal plasmid DNA quantities for transfection, MTT assay was conducted. Furthermore, fluorescence microscopy and flow cytometric analysis were employed to assess the efficiency of transfection. The expression levels of p16 and NF-κB were evaluated by RT-qPCR and western blotting prior and subsequent to ATF3 overexpression. Results: The overexpression of ATF3 induced a decrease in p16 mRNA levels in both Ca Ski and HeLa cells (p<0.04), along with the concomitant reduction of p16 protein expression within both cellular populations (p<0.005). Additionally, it led to a reduction in NF-κB p65 protein levels in both cell lines (p<0.005), with no discernible impact on its mRNA expression. Conclusion: Given ATF3's demonstrated capability to downregulate p16 and NF-κB, both of which play important pro-tumorigenic roles in HPV-related CC, ATF3 emerges as a promising therapeutic candidate with the potential for application in the treatment of CC.

求助全文
通过发布文献求助,成功后即可免费获取论文全文。 去求助
来源期刊
Yale Journal of Biology and Medicine
Yale Journal of Biology and Medicine Biochemistry, Genetics and Molecular Biology-General Biochemistry,Genetics and Molecular Biology
CiteScore
5.00
自引率
0.00%
发文量
41
期刊介绍: The Yale Journal of Biology and Medicine (YJBM) is a graduate and medical student-run, peer-reviewed, open-access journal dedicated to the publication of original research articles, scientific reviews, articles on medical history, personal perspectives on medicine, policy analyses, case reports, and symposia related to biomedical matters. YJBM is published quarterly and aims to publish articles of interest to both physicians and scientists. YJBM is and has been an internationally distributed journal with a long history of landmark articles. Our contributors feature a notable list of philosophers, statesmen, scientists, and physicians, including Ernst Cassirer, Harvey Cushing, Rene Dubos, Edward Kennedy, Donald Seldin, and Jack Strominger. Our Editorial Board consists of students and faculty members from Yale School of Medicine and Yale University Graduate School of Arts & Sciences. All manuscripts submitted to YJBM are first evaluated on the basis of scientific quality, originality, appropriateness, contribution to the field, and style. Suitable manuscripts are then subject to rigorous, fair, and rapid peer review.
×
引用
GB/T 7714-2015
复制
MLA
复制
APA
复制
导出至
BibTeX EndNote RefMan NoteFirst NoteExpress
×
提示
您的信息不完整,为了账户安全,请先补充。
现在去补充
×
提示
您因"违规操作"
具体请查看互助需知
我知道了
×
提示
确定
请完成安全验证×
copy
已复制链接
快去分享给好友吧!
我知道了
右上角分享
点击右上角分享
0
联系我们:info@booksci.cn Book学术提供免费学术资源搜索服务,方便国内外学者检索中英文文献。致力于提供最便捷和优质的服务体验。 Copyright © 2023 布克学术 All rights reserved.
京ICP备2023020795号-1
ghs 京公网安备 11010802042870号
Book学术文献互助
Book学术文献互助群
群 号:604180095
Book学术官方微信