探索结肠镜检查术中表现:来自沙特阿拉伯三级保健中心的见解。

IF 2 4区 医学 Q3 GASTROENTEROLOGY & HEPATOLOGY
Saudi Journal of Gastroenterology Pub Date : 2025-05-01 Epub Date: 2025-03-28 DOI:10.4103/sjg.sjg_17_25
Abdulla I Yateem, Abdulrahman M Saleh, Dimah A Alaskar, Ali S AlGarni, Anwar B Alotaibi, Fuad Y Maufa, Abdelhaleem Bella
{"title":"探索结肠镜检查术中表现:来自沙特阿拉伯三级保健中心的见解。","authors":"Abdulla I Yateem, Abdulrahman M Saleh, Dimah A Alaskar, Ali S AlGarni, Anwar B Alotaibi, Fuad Y Maufa, Abdelhaleem Bella","doi":"10.4103/sjg.sjg_17_25","DOIUrl":null,"url":null,"abstract":"<p><strong>Background: </strong>Colonoscopy is essential for diagnosing and managing colorectal conditions, and is recognized as the gold standard for early cancer detection and removal of precancerous lesions. The American Society for Gastrointestinal Endoscopy and the American College of Gastroenterology have established benchmark indicators to minimize the risk of interval colorectal cancer. Despite their importance, research on these metrics in Saudi Arabia is limited. This study analyzes key intraprocedural indicators of colonoscopies at a tertiary care center to evaluate adherence to care standards.</p><p><strong>Methods: </strong>This retrospective study examined 3763 colonoscopies conducted by adult gastroenterologists at Johns Hopkins Aramco Healthcare from January 2021 to December 2022. Procedures were categorized as screening and non-screening, with demographic data collected alongside withdrawal time (WT), cecal intubation rate (CIR), polyp detection rate (PDR), adenoma detection rate (ADR), Boston Bowel Preparation Scale (BBPS), polyp retrieval rate, rectal retroflexion, and adverse events.</p><p><strong>Results: </strong>The mean age of participants was 54.13 years, with 81.56% of them Saudis and 44.6% female. The average WT was 10 min. The overall CIR was 93.6% (94.78% for screening), with a PDR of 33.9% and a retrieval rate of 96.6%. ADR for screening participants was 25.63%, and 88.94% of participants achieved a BBPS score of 6 or more. The adverse event rate was at 0.2%, primarily due to bleeding.</p><p><strong>Conclusions: </strong>The study indicates that colonoscopy procedures adhere to care standards, with ADR among male screening patients approaching 30%. Further research is necessary to evaluate pre- and post-procedural indicators.</p>","PeriodicalId":48881,"journal":{"name":"Saudi Journal of Gastroenterology","volume":" ","pages":"185-192"},"PeriodicalIF":2.0000,"publicationDate":"2025-05-01","publicationTypes":"Journal Article","fieldsOfStudy":null,"isOpenAccess":false,"openAccessPdf":"https://www.ncbi.nlm.nih.gov/pmc/articles/PMC12155457/pdf/","citationCount":"0","resultStr":"{\"title\":\"Exploring intraprocedural performance in colonoscopy: Insights from a tertiary care center in Saudi Arabia.\",\"authors\":\"Abdulla I Yateem, Abdulrahman M Saleh, Dimah A Alaskar, Ali S AlGarni, Anwar B Alotaibi, Fuad Y Maufa, Abdelhaleem Bella\",\"doi\":\"10.4103/sjg.sjg_17_25\",\"DOIUrl\":null,\"url\":null,\"abstract\":\"<p><strong>Background: </strong>Colonoscopy is essential for diagnosing and managing colorectal conditions, and is recognized as the gold standard for early cancer detection and removal of precancerous lesions. The American Society for Gastrointestinal Endoscopy and the American College of Gastroenterology have established benchmark indicators to minimize the risk of interval colorectal cancer. Despite their importance, research on these metrics in Saudi Arabia is limited. This study analyzes key intraprocedural indicators of colonoscopies at a tertiary care center to evaluate adherence to care standards.</p><p><strong>Methods: </strong>This retrospective study examined 3763 colonoscopies conducted by adult gastroenterologists at Johns Hopkins Aramco Healthcare from January 2021 to December 2022. Procedures were categorized as screening and non-screening, with demographic data collected alongside withdrawal time (WT), cecal intubation rate (CIR), polyp detection rate (PDR), adenoma detection rate (ADR), Boston Bowel Preparation Scale (BBPS), polyp retrieval rate, rectal retroflexion, and adverse events.</p><p><strong>Results: </strong>The mean age of participants was 54.13 years, with 81.56% of them Saudis and 44.6% female. The average WT was 10 min. The overall CIR was 93.6% (94.78% for screening), with a PDR of 33.9% and a retrieval rate of 96.6%. ADR for screening participants was 25.63%, and 88.94% of participants achieved a BBPS score of 6 or more. The adverse event rate was at 0.2%, primarily due to bleeding.</p><p><strong>Conclusions: </strong>The study indicates that colonoscopy procedures adhere to care standards, with ADR among male screening patients approaching 30%. Further research is necessary to evaluate pre- and post-procedural indicators.</p>\",\"PeriodicalId\":48881,\"journal\":{\"name\":\"Saudi Journal of Gastroenterology\",\"volume\":\" \",\"pages\":\"185-192\"},\"PeriodicalIF\":2.0000,\"publicationDate\":\"2025-05-01\",\"publicationTypes\":\"Journal Article\",\"fieldsOfStudy\":null,\"isOpenAccess\":false,\"openAccessPdf\":\"https://www.ncbi.nlm.nih.gov/pmc/articles/PMC12155457/pdf/\",\"citationCount\":\"0\",\"resultStr\":null,\"platform\":\"Semanticscholar\",\"paperid\":null,\"PeriodicalName\":\"Saudi Journal of Gastroenterology\",\"FirstCategoryId\":\"3\",\"ListUrlMain\":\"https://doi.org/10.4103/sjg.sjg_17_25\",\"RegionNum\":4,\"RegionCategory\":\"医学\",\"ArticlePicture\":[],\"TitleCN\":null,\"AbstractTextCN\":null,\"PMCID\":null,\"EPubDate\":\"2025/3/28 0:00:00\",\"PubModel\":\"Epub\",\"JCR\":\"Q3\",\"JCRName\":\"GASTROENTEROLOGY & HEPATOLOGY\",\"Score\":null,\"Total\":0}","platform":"Semanticscholar","paperid":null,"PeriodicalName":"Saudi Journal of Gastroenterology","FirstCategoryId":"3","ListUrlMain":"https://doi.org/10.4103/sjg.sjg_17_25","RegionNum":4,"RegionCategory":"医学","ArticlePicture":[],"TitleCN":null,"AbstractTextCN":null,"PMCID":null,"EPubDate":"2025/3/28 0:00:00","PubModel":"Epub","JCR":"Q3","JCRName":"GASTROENTEROLOGY & HEPATOLOGY","Score":null,"Total":0}
引用次数: 0

摘要

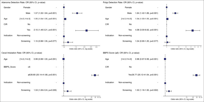
背景:结肠镜检查对于诊断和治疗结直肠疾病至关重要,被认为是早期癌症发现和癌前病变切除的金标准。美国胃肠内窥镜学会和美国胃肠病学学会已经建立了基准指标,以尽量减少间隔期结直肠癌的风险。尽管这些指标很重要,但在沙特阿拉伯对它们的研究却很有限。本研究分析了三级护理中心结肠镜检查的关键术中指标,以评估对护理标准的依从性。方法:本回顾性研究调查了约翰霍普金斯阿美医疗中心成年胃肠病学家于2021年1月至2022年12月进行的3763例结肠镜检查。手术过程分为筛查和非筛查,收集人口统计学数据,同时收集停药时间(WT)、盲肠插管率(CIR)、息肉检出率(PDR)、腺瘤检出率(ADR)、波士顿肠准备量表(BBPS)、息肉取出率、直肠后伸和不良事件。结果:参与者的平均年龄为54.13岁,其中81.56%为沙特人,44.6%为女性。平均WT为10分钟。总体CIR为93.6%(筛选为94.78%),PDR为33.9%,检索率为96.6%。筛查参与者的不良反应为25.63%,88.94%的参与者达到BBPS评分6分及以上。不良事件发生率为0.2%,主要是由于出血。结论:研究表明结肠镜检查程序符合护理标准,男性筛查患者的不良反应接近30%。需要进一步研究以评价程序前和程序后指标。
本文章由计算机程序翻译,如有差异,请以英文原文为准。

Exploring intraprocedural performance in colonoscopy: Insights from a tertiary care center in Saudi Arabia.

Exploring intraprocedural performance in colonoscopy: Insights from a tertiary care center in Saudi Arabia.

Background: Colonoscopy is essential for diagnosing and managing colorectal conditions, and is recognized as the gold standard for early cancer detection and removal of precancerous lesions. The American Society for Gastrointestinal Endoscopy and the American College of Gastroenterology have established benchmark indicators to minimize the risk of interval colorectal cancer. Despite their importance, research on these metrics in Saudi Arabia is limited. This study analyzes key intraprocedural indicators of colonoscopies at a tertiary care center to evaluate adherence to care standards.

Methods: This retrospective study examined 3763 colonoscopies conducted by adult gastroenterologists at Johns Hopkins Aramco Healthcare from January 2021 to December 2022. Procedures were categorized as screening and non-screening, with demographic data collected alongside withdrawal time (WT), cecal intubation rate (CIR), polyp detection rate (PDR), adenoma detection rate (ADR), Boston Bowel Preparation Scale (BBPS), polyp retrieval rate, rectal retroflexion, and adverse events.

Results: The mean age of participants was 54.13 years, with 81.56% of them Saudis and 44.6% female. The average WT was 10 min. The overall CIR was 93.6% (94.78% for screening), with a PDR of 33.9% and a retrieval rate of 96.6%. ADR for screening participants was 25.63%, and 88.94% of participants achieved a BBPS score of 6 or more. The adverse event rate was at 0.2%, primarily due to bleeding.

Conclusions: The study indicates that colonoscopy procedures adhere to care standards, with ADR among male screening patients approaching 30%. Further research is necessary to evaluate pre- and post-procedural indicators.

求助全文
通过发布文献求助,成功后即可免费获取论文全文。 去求助
来源期刊
Saudi Journal of Gastroenterology
Saudi Journal of Gastroenterology GASTROENTEROLOGY & HEPATOLOGY-
CiteScore
4.40
自引率
3.70%
发文量
63
审稿时长
28 weeks
期刊介绍: The Saudi Journal of Gastroenterology (SJG) is an open access peer-reviewed publication. Authors are invited to submit articles in the field of gastroenterology, hepatology and nutrition, with a wide spectrum of coverage including basic science, epidemiology, diagnostics, therapeutics, public health, and standards of health care in relation to the concerned specialty. Review articles are usually by invitation. However review articles of current interest and a high standard of scientific value could also be considered for publication.
×
引用
GB/T 7714-2015
复制
MLA
复制
APA
复制
导出至
BibTeX EndNote RefMan NoteFirst NoteExpress
×
提示
您的信息不完整,为了账户安全,请先补充。
现在去补充
×
提示
您因"违规操作"
具体请查看互助需知
我知道了
×
提示
确定
请完成安全验证×
copy
已复制链接
快去分享给好友吧!
我知道了
右上角分享
点击右上角分享
0
联系我们:info@booksci.cn Book学术提供免费学术资源搜索服务,方便国内外学者检索中英文文献。致力于提供最便捷和优质的服务体验。 Copyright © 2023 布克学术 All rights reserved.
京ICP备2023020795号-1
ghs 京公网安备 11010802042870号
Book学术文献互助
Book学术文献互助群
群 号:604180095
Book学术官方微信