聚乙二醇脂质体阿霉素联合阿糖胞苷和粒细胞集落刺激因子治疗新诊断的老年和不适合急性髓系白血病患者:一项前瞻性、单中心、单组、II期研究

IF 2.8 4区 医学 Q3 ONCOLOGY
Technology in Cancer Research & Treatment Pub Date : 2025-01-01 Epub Date: 2025-03-27 DOI:10.1177/15330338241312436
Bingqing Luo, Xiaoyan Tan, Yanfang Zhang, Xiao Hu, Hanqing Zeng, Hongbo Xiao, Shifeng Lou, Kang Zhou
{"title":"聚乙二醇脂质体阿霉素联合阿糖胞苷和粒细胞集落刺激因子治疗新诊断的老年和不适合急性髓系白血病患者:一项前瞻性、单中心、单组、II期研究","authors":"Bingqing Luo, Xiaoyan Tan, Yanfang Zhang, Xiao Hu, Hanqing Zeng, Hongbo Xiao, Shifeng Lou, Kang Zhou","doi":"10.1177/15330338241312436","DOIUrl":null,"url":null,"abstract":"<p><p>BackgroundEffective treatment options are limited for elderly patients with acute myeloid leukemia (AML). A prospective phase II study was conducted to investigate the safety and efficacy of pegylated liposomal doxorubicin (PLD) combined with low-dose cytarabine (LDAC) and granulocyte colony-stimulating factor (G-CSF) in newly diagnosed older and unfit AML patients.MethodsTwenty-two patients were enrolled and deemed evaluable. The study included one cycle of induction and four cycles of consolidation, followed by maintenance therapy.ResultsThe median age of enrolled patients was 71.5 years (range, 63 to 82 years), and 16 patients (72.7%) were over 70 years of age. The overall response rate (ORR) was 77.3% (n = 17) and the complete remission (CR)/complete remission with incomplete recovery (CRi) rate was 63.6% (n = 14) after the first induction cycle. With a median follow-up of 12.4 months, eight patients (57.1%) relapsed, with a median time to relapse of 12.3 months. The median duration of response (DOR) was 11.9 months (95% CI, 6.4 to NA months), the median overall survival (OS) was 15 months (95% CI, 8.4 to 21.6 months), and the median progression-free survival (PFS) was 7.5 months (95% CI, 4.6 to 15.1 months). Common grade 3 or greater adverse events included febrile neutropenia (77.8%) and infection (63.6%), with pneumonia being the most common (10, 45.5%). There was one death (4.5%) within 30 days.ConclusionThe combination of PLD, LDAC, and G-CSF is well-tolerated and exhibits high rates of CR/CRi and low early mortality, providing an attractive treatment option for newly diagnosed elderly and unfit AML patients.</p>","PeriodicalId":22203,"journal":{"name":"Technology in Cancer Research & Treatment","volume":"24 ","pages":"15330338241312436"},"PeriodicalIF":2.8000,"publicationDate":"2025-01-01","publicationTypes":"Journal Article","fieldsOfStudy":null,"isOpenAccess":false,"openAccessPdf":"https://www.ncbi.nlm.nih.gov/pmc/articles/PMC11952034/pdf/","citationCount":"0","resultStr":"{\"title\":\"Pegylated Liposomal Doxorubicin Combined with Cytarabine and Granulocyte Colony-Stimulating Factor for Treating Newly Diagnosed Older and Unfit Acute Myeloid Leukemia Patients: A Prospective, Single-Center, Single-arm, Phase II Study.\",\"authors\":\"Bingqing Luo, Xiaoyan Tan, Yanfang Zhang, Xiao Hu, Hanqing Zeng, Hongbo Xiao, Shifeng Lou, Kang Zhou\",\"doi\":\"10.1177/15330338241312436\",\"DOIUrl\":null,\"url\":null,\"abstract\":\"<p><p>BackgroundEffective treatment options are limited for elderly patients with acute myeloid leukemia (AML). A prospective phase II study was conducted to investigate the safety and efficacy of pegylated liposomal doxorubicin (PLD) combined with low-dose cytarabine (LDAC) and granulocyte colony-stimulating factor (G-CSF) in newly diagnosed older and unfit AML patients.MethodsTwenty-two patients were enrolled and deemed evaluable. The study included one cycle of induction and four cycles of consolidation, followed by maintenance therapy.ResultsThe median age of enrolled patients was 71.5 years (range, 63 to 82 years), and 16 patients (72.7%) were over 70 years of age. The overall response rate (ORR) was 77.3% (n = 17) and the complete remission (CR)/complete remission with incomplete recovery (CRi) rate was 63.6% (n = 14) after the first induction cycle. With a median follow-up of 12.4 months, eight patients (57.1%) relapsed, with a median time to relapse of 12.3 months. The median duration of response (DOR) was 11.9 months (95% CI, 6.4 to NA months), the median overall survival (OS) was 15 months (95% CI, 8.4 to 21.6 months), and the median progression-free survival (PFS) was 7.5 months (95% CI, 4.6 to 15.1 months). Common grade 3 or greater adverse events included febrile neutropenia (77.8%) and infection (63.6%), with pneumonia being the most common (10, 45.5%). There was one death (4.5%) within 30 days.ConclusionThe combination of PLD, LDAC, and G-CSF is well-tolerated and exhibits high rates of CR/CRi and low early mortality, providing an attractive treatment option for newly diagnosed elderly and unfit AML patients.</p>\",\"PeriodicalId\":22203,\"journal\":{\"name\":\"Technology in Cancer Research & Treatment\",\"volume\":\"24 \",\"pages\":\"15330338241312436\"},\"PeriodicalIF\":2.8000,\"publicationDate\":\"2025-01-01\",\"publicationTypes\":\"Journal Article\",\"fieldsOfStudy\":null,\"isOpenAccess\":false,\"openAccessPdf\":\"https://www.ncbi.nlm.nih.gov/pmc/articles/PMC11952034/pdf/\",\"citationCount\":\"0\",\"resultStr\":null,\"platform\":\"Semanticscholar\",\"paperid\":null,\"PeriodicalName\":\"Technology in Cancer Research & Treatment\",\"FirstCategoryId\":\"3\",\"ListUrlMain\":\"https://doi.org/10.1177/15330338241312436\",\"RegionNum\":4,\"RegionCategory\":\"医学\",\"ArticlePicture\":[],\"TitleCN\":null,\"AbstractTextCN\":null,\"PMCID\":null,\"EPubDate\":\"2025/3/27 0:00:00\",\"PubModel\":\"Epub\",\"JCR\":\"Q3\",\"JCRName\":\"ONCOLOGY\",\"Score\":null,\"Total\":0}","platform":"Semanticscholar","paperid":null,"PeriodicalName":"Technology in Cancer Research & Treatment","FirstCategoryId":"3","ListUrlMain":"https://doi.org/10.1177/15330338241312436","RegionNum":4,"RegionCategory":"医学","ArticlePicture":[],"TitleCN":null,"AbstractTextCN":null,"PMCID":null,"EPubDate":"2025/3/27 0:00:00","PubModel":"Epub","JCR":"Q3","JCRName":"ONCOLOGY","Score":null,"Total":0}
引用次数: 0

摘要

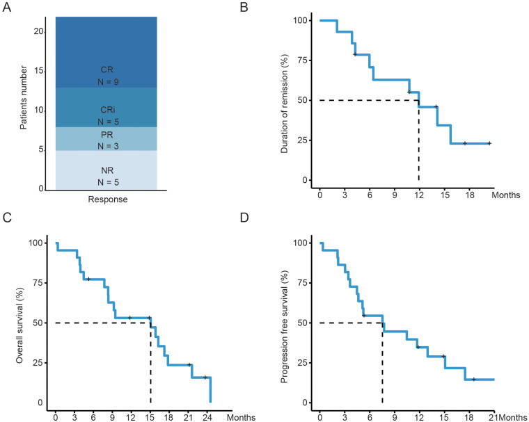
背景:老年急性髓性白血病(AML)患者的有效治疗选择有限。一项前瞻性II期研究旨在探讨聚乙二醇化脂质体多柔比星(PLD)联合低剂量阿糖胞苷(LDAC)和粒细胞集落刺激因子(G-CSF)治疗新诊断的老年和不适合AML患者的安全性和有效性。方法选取可评价的22例患者。该研究包括一个诱导周期和四个巩固周期,随后是维持治疗。结果入组患者的中位年龄为71.5岁(63 ~ 82岁),年龄超过70岁的有16例(72.7%)。总有效率(ORR)为77.3% (n = 17),第一个诱导周期后完全缓解(CR)/完全缓解伴不完全恢复(CRi)率为63.6% (n = 14)。中位随访12.4个月,8例患者(57.1%)复发,中位复发时间为12.3个月。中位缓解持续时间(DOR)为11.9个月(95% CI, 6.4至NA个月),中位总生存期(OS)为15个月(95% CI, 8.4至21.6个月),中位无进展生存期(PFS)为7.5个月(95% CI, 4.6至15.1个月)。常见的3级及以上不良事件包括发热性中性粒细胞减少症(77.8%)和感染(63.6%),其中肺炎最为常见(10.45.5%)。30天内有1例死亡(4.5%)。结论PLD、LDAC和G-CSF联合用药耐受性良好,CR/CRi率高,早期死亡率低,为新诊断的老年不适应AML患者提供了一种有吸引力的治疗选择。
本文章由计算机程序翻译,如有差异,请以英文原文为准。

Pegylated Liposomal Doxorubicin Combined with Cytarabine and Granulocyte Colony-Stimulating Factor for Treating Newly Diagnosed Older and Unfit Acute Myeloid Leukemia Patients: A Prospective, Single-Center, Single-arm, Phase II Study.

Pegylated Liposomal Doxorubicin Combined with Cytarabine and Granulocyte Colony-Stimulating Factor for Treating Newly Diagnosed Older and Unfit Acute Myeloid Leukemia Patients: A Prospective, Single-Center, Single-arm, Phase II Study.

Pegylated Liposomal Doxorubicin Combined with Cytarabine and Granulocyte Colony-Stimulating Factor for Treating Newly Diagnosed Older and Unfit Acute Myeloid Leukemia Patients: A Prospective, Single-Center, Single-arm, Phase II Study.

Pegylated Liposomal Doxorubicin Combined with Cytarabine and Granulocyte Colony-Stimulating Factor for Treating Newly Diagnosed Older and Unfit Acute Myeloid Leukemia Patients: A Prospective, Single-Center, Single-arm, Phase II Study.

BackgroundEffective treatment options are limited for elderly patients with acute myeloid leukemia (AML). A prospective phase II study was conducted to investigate the safety and efficacy of pegylated liposomal doxorubicin (PLD) combined with low-dose cytarabine (LDAC) and granulocyte colony-stimulating factor (G-CSF) in newly diagnosed older and unfit AML patients.MethodsTwenty-two patients were enrolled and deemed evaluable. The study included one cycle of induction and four cycles of consolidation, followed by maintenance therapy.ResultsThe median age of enrolled patients was 71.5 years (range, 63 to 82 years), and 16 patients (72.7%) were over 70 years of age. The overall response rate (ORR) was 77.3% (n = 17) and the complete remission (CR)/complete remission with incomplete recovery (CRi) rate was 63.6% (n = 14) after the first induction cycle. With a median follow-up of 12.4 months, eight patients (57.1%) relapsed, with a median time to relapse of 12.3 months. The median duration of response (DOR) was 11.9 months (95% CI, 6.4 to NA months), the median overall survival (OS) was 15 months (95% CI, 8.4 to 21.6 months), and the median progression-free survival (PFS) was 7.5 months (95% CI, 4.6 to 15.1 months). Common grade 3 or greater adverse events included febrile neutropenia (77.8%) and infection (63.6%), with pneumonia being the most common (10, 45.5%). There was one death (4.5%) within 30 days.ConclusionThe combination of PLD, LDAC, and G-CSF is well-tolerated and exhibits high rates of CR/CRi and low early mortality, providing an attractive treatment option for newly diagnosed elderly and unfit AML patients.

求助全文
通过发布文献求助,成功后即可免费获取论文全文。 去求助
来源期刊
CiteScore
4.40
自引率
0.00%
发文量
202
审稿时长
2 months
期刊介绍: Technology in Cancer Research & Treatment (TCRT) is a JCR-ranked, broad-spectrum, open access, peer-reviewed publication whose aim is to provide researchers and clinicians with a platform to share and discuss developments in the prevention, diagnosis, treatment, and monitoring of cancer.
×
引用
GB/T 7714-2015
复制
MLA
复制
APA
复制
导出至
BibTeX EndNote RefMan NoteFirst NoteExpress
×
提示
您的信息不完整,为了账户安全,请先补充。
现在去补充
×
提示
您因"违规操作"
具体请查看互助需知
我知道了
×
提示
确定
请完成安全验证×
copy
已复制链接
快去分享给好友吧!
我知道了
右上角分享
点击右上角分享
0
联系我们:info@booksci.cn Book学术提供免费学术资源搜索服务,方便国内外学者检索中英文文献。致力于提供最便捷和优质的服务体验。 Copyright © 2023 布克学术 All rights reserved.
京ICP备2023020795号-1
ghs 京公网安备 11010802042870号
Book学术文献互助
Book学术文献互助群
群 号:604180095
Book学术官方微信