字里行间的阅读:全血细胞计数衍生参数作为新诊断急性髓性白血病患者的预后因素。

IF 1.9 4区 医学 Q3 ONCOLOGY
Clinical Medicine Insights-Oncology Pub Date : 2025-03-21 eCollection Date: 2025-01-01 DOI:10.1177/11795549251321360
Paulina Stefaniuk, Justyna Muzyka-Kasietczuk, Dorota Koczkodaj, Marek Hus, Monika Podhorecka
{"title":"字里行间的阅读:全血细胞计数衍生参数作为新诊断急性髓性白血病患者的预后因素。","authors":"Paulina Stefaniuk, Justyna Muzyka-Kasietczuk, Dorota Koczkodaj, Marek Hus, Monika Podhorecka","doi":"10.1177/11795549251321360","DOIUrl":null,"url":null,"abstract":"<p><strong>Background: </strong>Research proved the prognostic significance of the neutrophil-to-lymphocyte ratio (NLR), lymphocyte-to-monocyte ratio (LMR), platelet-to-lymphocyte ratio (PLR), and red blood cell distribution width (RDW) in some hematological malignancies. This study aimed to analyze the role of pretreatment NLR, LMR, PLR, RDW coefficient of variation (RDW-CV), and RDW standard deviation (RDW-SD) as prognostic markers for acute myeloid leukemia (AML).</p><p><strong>Methods: </strong>This retrospective cohort study included 204 patients newly diagnosed with AML in the Department of Hematooncology and Bone Marrow Transplantation of the Medical University of Lublin.</p><p><strong>Results: </strong>In the univariate models, higher RDW-CV and lower LMR predicted a poorer response to induction chemotherapy (odds ratio [OR] = 1.21, 95% confidence interval [CI95] = [1.09-2.36], <i>P</i> < .001; OR = 0.95, CI95 = [0.89-0.99], <i>P</i> = .045, respectively). In the multivariate model, age of diagnosis, ECOG (Performance Status Assessment by Eastern Cooperative Oncology Group) score, cytogenetic risk, NLR, and RDW-CV affected the odds of no response to chemotherapy significantly. The risk of progression was influenced by NLR and RDW-CV in the univariate analysis (hazard ratio [HR] = 1.20, CI95 = [1.09-1.33], <i>P</i> < .001; HR = 1.10, CI95 = [1.04-1.17], <i>P</i> = .002, respectively). In the multivariate settings, cytogenetic risk, leukocyte count, and RDW-CV affected progression free survival (PFS) significantly. Based on univariate models, the risk of death, when overall survival (OS) was taken into account, was influenced by NLR, LMR, and RDW-CV (HR = 1.05, CI95 = [1.00-1.09], <i>P</i> = .034; HR = 0.94, CI95 = [0.89-0.98], <i>P</i> = .010; HR = 1.06, CI95 = [1.01-1.10], <i>P</i> = .014, respectively).</p><p><strong>Conclusions: </strong>Higher NLR, higher RDW, lower LMR, and possibly lower PLR are poor prognostic factors that may help in the risk stratification of patients with AML.</p>","PeriodicalId":48591,"journal":{"name":"Clinical Medicine Insights-Oncology","volume":"19 ","pages":"11795549251321360"},"PeriodicalIF":1.9000,"publicationDate":"2025-03-21","publicationTypes":"Journal Article","fieldsOfStudy":null,"isOpenAccess":false,"openAccessPdf":"https://www.ncbi.nlm.nih.gov/pmc/articles/PMC11938486/pdf/","citationCount":"0","resultStr":"{\"title\":\"Reading Between the Lines: Complete Blood Count-Derived Parameters as Prognostic Factors in Patients With Newly Diagnosed Acute Myeloid Leukemia.\",\"authors\":\"Paulina Stefaniuk, Justyna Muzyka-Kasietczuk, Dorota Koczkodaj, Marek Hus, Monika Podhorecka\",\"doi\":\"10.1177/11795549251321360\",\"DOIUrl\":null,\"url\":null,\"abstract\":\"<p><strong>Background: </strong>Research proved the prognostic significance of the neutrophil-to-lymphocyte ratio (NLR), lymphocyte-to-monocyte ratio (LMR), platelet-to-lymphocyte ratio (PLR), and red blood cell distribution width (RDW) in some hematological malignancies. This study aimed to analyze the role of pretreatment NLR, LMR, PLR, RDW coefficient of variation (RDW-CV), and RDW standard deviation (RDW-SD) as prognostic markers for acute myeloid leukemia (AML).</p><p><strong>Methods: </strong>This retrospective cohort study included 204 patients newly diagnosed with AML in the Department of Hematooncology and Bone Marrow Transplantation of the Medical University of Lublin.</p><p><strong>Results: </strong>In the univariate models, higher RDW-CV and lower LMR predicted a poorer response to induction chemotherapy (odds ratio [OR] = 1.21, 95% confidence interval [CI95] = [1.09-2.36], <i>P</i> < .001; OR = 0.95, CI95 = [0.89-0.99], <i>P</i> = .045, respectively). In the multivariate model, age of diagnosis, ECOG (Performance Status Assessment by Eastern Cooperative Oncology Group) score, cytogenetic risk, NLR, and RDW-CV affected the odds of no response to chemotherapy significantly. The risk of progression was influenced by NLR and RDW-CV in the univariate analysis (hazard ratio [HR] = 1.20, CI95 = [1.09-1.33], <i>P</i> < .001; HR = 1.10, CI95 = [1.04-1.17], <i>P</i> = .002, respectively). In the multivariate settings, cytogenetic risk, leukocyte count, and RDW-CV affected progression free survival (PFS) significantly. Based on univariate models, the risk of death, when overall survival (OS) was taken into account, was influenced by NLR, LMR, and RDW-CV (HR = 1.05, CI95 = [1.00-1.09], <i>P</i> = .034; HR = 0.94, CI95 = [0.89-0.98], <i>P</i> = .010; HR = 1.06, CI95 = [1.01-1.10], <i>P</i> = .014, respectively).</p><p><strong>Conclusions: </strong>Higher NLR, higher RDW, lower LMR, and possibly lower PLR are poor prognostic factors that may help in the risk stratification of patients with AML.</p>\",\"PeriodicalId\":48591,\"journal\":{\"name\":\"Clinical Medicine Insights-Oncology\",\"volume\":\"19 \",\"pages\":\"11795549251321360\"},\"PeriodicalIF\":1.9000,\"publicationDate\":\"2025-03-21\",\"publicationTypes\":\"Journal Article\",\"fieldsOfStudy\":null,\"isOpenAccess\":false,\"openAccessPdf\":\"https://www.ncbi.nlm.nih.gov/pmc/articles/PMC11938486/pdf/\",\"citationCount\":\"0\",\"resultStr\":null,\"platform\":\"Semanticscholar\",\"paperid\":null,\"PeriodicalName\":\"Clinical Medicine Insights-Oncology\",\"FirstCategoryId\":\"3\",\"ListUrlMain\":\"https://doi.org/10.1177/11795549251321360\",\"RegionNum\":4,\"RegionCategory\":\"医学\",\"ArticlePicture\":[],\"TitleCN\":null,\"AbstractTextCN\":null,\"PMCID\":null,\"EPubDate\":\"2025/1/1 0:00:00\",\"PubModel\":\"eCollection\",\"JCR\":\"Q3\",\"JCRName\":\"ONCOLOGY\",\"Score\":null,\"Total\":0}","platform":"Semanticscholar","paperid":null,"PeriodicalName":"Clinical Medicine Insights-Oncology","FirstCategoryId":"3","ListUrlMain":"https://doi.org/10.1177/11795549251321360","RegionNum":4,"RegionCategory":"医学","ArticlePicture":[],"TitleCN":null,"AbstractTextCN":null,"PMCID":null,"EPubDate":"2025/1/1 0:00:00","PubModel":"eCollection","JCR":"Q3","JCRName":"ONCOLOGY","Score":null,"Total":0}
引用次数: 0

摘要

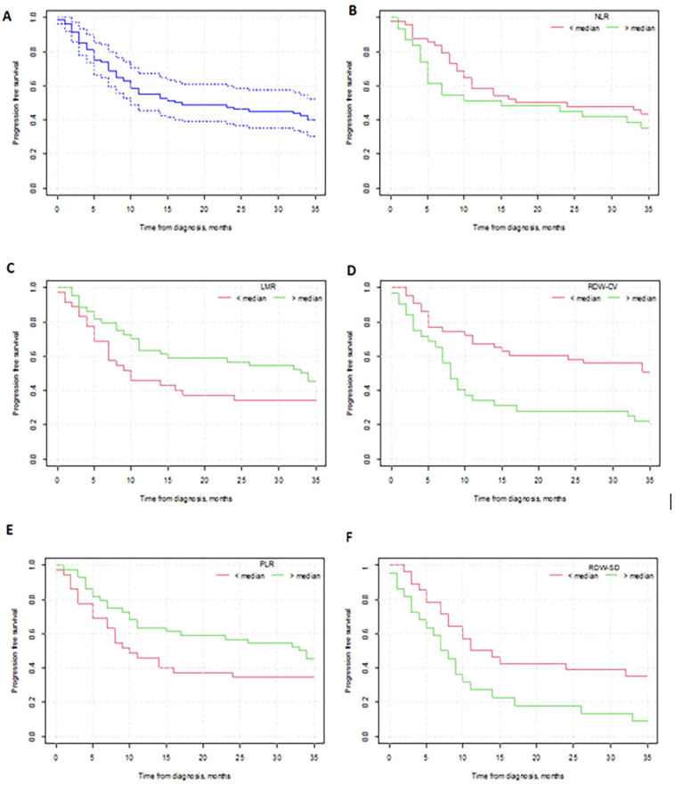
背景:研究证实了中性粒细胞与淋巴细胞比值(NLR)、淋巴细胞与单核细胞比值(LMR)、血小板与淋巴细胞比值(PLR)和红细胞分布宽度(RDW)在某些血液系统恶性肿瘤中的预后意义。本研究旨在分析预处理NLR、LMR、PLR、RDW变异系数(RDW- cv)和RDW标准差(RDW- sd)作为急性髓性白血病(AML)预后指标的作用。方法:回顾性队列研究纳入卢布林医科大学血液肿瘤学和骨髓移植科204例新诊断为AML的患者。结果:在单变量模型中,较高的RDW-CV和较低的LMR预示着诱导化疗反应较差(优势比[OR] = 1.21, 95%可信区间[CI95] = [1.09-2.36], P P =。045年,分别)。在多变量模型中,诊断年龄、ECOG评分、细胞遗传学风险、NLR和RDW-CV显著影响化疗无反应的几率。在单因素分析中,NLR和RDW-CV对进展风险有影响(风险比[HR] = 1.20, CI95 = [1.09-1.33], P P =。002年,分别)。在多变量环境中,细胞遗传风险、白细胞计数和RDW-CV显著影响无进展生存期(PFS)。基于单变量模型,当考虑总生存期(OS)时,死亡风险受NLR、LMR和RDW-CV的影响(HR = 1.05, CI95 = [1.00-1.09], P = 0.034;Hr = 0.94, ci95 = [0.89-0.98], p = 0.010;Hr = 1.06, ci95 = [1.01-1.10], p =。014年,分别)。结论:较高的NLR、较高的RDW、较低的LMR和可能较低的PLR是不良预后因素,可能有助于AML患者的风险分层。
本文章由计算机程序翻译,如有差异,请以英文原文为准。

Reading Between the Lines: Complete Blood Count-Derived Parameters as Prognostic Factors in Patients With Newly Diagnosed Acute Myeloid Leukemia.

Reading Between the Lines: Complete Blood Count-Derived Parameters as Prognostic Factors in Patients With Newly Diagnosed Acute Myeloid Leukemia.

Reading Between the Lines: Complete Blood Count-Derived Parameters as Prognostic Factors in Patients With Newly Diagnosed Acute Myeloid Leukemia.

Reading Between the Lines: Complete Blood Count-Derived Parameters as Prognostic Factors in Patients With Newly Diagnosed Acute Myeloid Leukemia.

Background: Research proved the prognostic significance of the neutrophil-to-lymphocyte ratio (NLR), lymphocyte-to-monocyte ratio (LMR), platelet-to-lymphocyte ratio (PLR), and red blood cell distribution width (RDW) in some hematological malignancies. This study aimed to analyze the role of pretreatment NLR, LMR, PLR, RDW coefficient of variation (RDW-CV), and RDW standard deviation (RDW-SD) as prognostic markers for acute myeloid leukemia (AML).

Methods: This retrospective cohort study included 204 patients newly diagnosed with AML in the Department of Hematooncology and Bone Marrow Transplantation of the Medical University of Lublin.

Results: In the univariate models, higher RDW-CV and lower LMR predicted a poorer response to induction chemotherapy (odds ratio [OR] = 1.21, 95% confidence interval [CI95] = [1.09-2.36], P < .001; OR = 0.95, CI95 = [0.89-0.99], P = .045, respectively). In the multivariate model, age of diagnosis, ECOG (Performance Status Assessment by Eastern Cooperative Oncology Group) score, cytogenetic risk, NLR, and RDW-CV affected the odds of no response to chemotherapy significantly. The risk of progression was influenced by NLR and RDW-CV in the univariate analysis (hazard ratio [HR] = 1.20, CI95 = [1.09-1.33], P < .001; HR = 1.10, CI95 = [1.04-1.17], P = .002, respectively). In the multivariate settings, cytogenetic risk, leukocyte count, and RDW-CV affected progression free survival (PFS) significantly. Based on univariate models, the risk of death, when overall survival (OS) was taken into account, was influenced by NLR, LMR, and RDW-CV (HR = 1.05, CI95 = [1.00-1.09], P = .034; HR = 0.94, CI95 = [0.89-0.98], P = .010; HR = 1.06, CI95 = [1.01-1.10], P = .014, respectively).

Conclusions: Higher NLR, higher RDW, lower LMR, and possibly lower PLR are poor prognostic factors that may help in the risk stratification of patients with AML.

求助全文
通过发布文献求助,成功后即可免费获取论文全文。 去求助
来源期刊
CiteScore
2.40
自引率
4.50%
发文量
57
审稿时长
8 weeks
期刊介绍: Clinical Medicine Insights: Oncology is an international, peer-reviewed, open access journal that focuses on all aspects of cancer research and treatment, in addition to related genetic, pathophysiological and epidemiological topics. Of particular but not exclusive importance are molecular biology, clinical interventions, controlled trials, therapeutics, pharmacology and drug delivery, and techniques of cancer surgery. The journal welcomes unsolicited article proposals.
×
引用
GB/T 7714-2015
复制
MLA
复制
APA
复制
导出至
BibTeX EndNote RefMan NoteFirst NoteExpress
×
提示
您的信息不完整,为了账户安全,请先补充。
现在去补充
×
提示
您因"违规操作"
具体请查看互助需知
我知道了
×
提示
确定
请完成安全验证×
copy
已复制链接
快去分享给好友吧!
我知道了
右上角分享
点击右上角分享
0
联系我们:info@booksci.cn Book学术提供免费学术资源搜索服务,方便国内外学者检索中英文文献。致力于提供最便捷和优质的服务体验。 Copyright © 2023 布克学术 All rights reserved.
京ICP备2023020795号-1
ghs 京公网安备 11010802042870号
Book学术文献互助
Book学术文献互助群
群 号:604180095
Book学术官方微信