高危人乳头瘤病毒感染宫颈癌及其癌前病变患者宫颈细胞因子的表达模式

IF 1.9 4区 医学 Q3 ONCOLOGY
Clinical Medicine Insights-Oncology Pub Date : 2025-03-25 eCollection Date: 2025-01-01 DOI:10.1177/11795549251316767
Shamoli Saha, Sharmin Sultana, Raad Rahmat, Tahmina Akther, Ashrafun Nessa, Munira Jahan
{"title":"高危人乳头瘤病毒感染宫颈癌及其癌前病变患者宫颈细胞因子的表达模式","authors":"Shamoli Saha, Sharmin Sultana, Raad Rahmat, Tahmina Akther, Ashrafun Nessa, Munira Jahan","doi":"10.1177/11795549251316767","DOIUrl":null,"url":null,"abstract":"<p><strong>Background: </strong>Cervical cancer is the second most common cancer in Bangladesh and is primarily caused by persistent high-risk human papillomavirus (HR-HPV) infection. Several risk factors, including immunological, genetic, environmental, and viral factors, may contribute to the development of cervical cancer. Moreover, a disruption in an otherwise delicate balance between immune response and cytokine production may lead to diseased states. Henceforth, this study aimed to determine and compare selected cytokines, including interleukin-6 (IL-6), interleukin-1 beta (IL-1β), tumor necrosis factor-alpha (TNF-α), interferon-gamma (INF-γ), interleukin-10 (IL-10), GM-CSF, interleukin-8 (IL-8), and MCP-1 among HR-HPV-infected patients with cervical cancer, precancer individuals, and healthy participants to test the propensity of these cytokines to serve as predictive biomarkers for the detection of cervical cancer during its early stages.</p><p><strong>Methods: </strong>A cross-sectional study was conducted on female patients visiting two referral hospitals in Bangladesh from September to November 2022. Among them, 80 women were enrolled in the study as patients with cervical cancer and precancerous lesions along with HPV DNA-negative healthy individuals. The selected cytokines in the cervical swab were estimated by flow cytometry.</p><p><strong>Result: </strong>Cervical cancer and precancer were primarily detected in patients aged above 40 years (73.3% and 46.7% of the patients in the respective groups). Other significant risk factors, including poor educational, socioeconomic status and nutritional conditions, age of first coitus, multiparity, and tobacco and betel nut consumption, were found significant for the development of cervical cancer and precancer (<i>P</i> < .05). The levels of IL-6, IL-1β, IL-10, IL-8, and MCP-1 were substantially elevated in patients with cancer than in patients with precancer and healthy individuals (<i>P</i> < .001). Moreover, the levels of IL-6, IL-1β, IL-10, and IL-8 were also significantly increased in patients with precancer than in healthy individuals (<i>P</i> < .05).</p><p><strong>Conclusions: </strong>Thus, IL-6, IL-1β, IL-10, IL-8, and MCP-1 can be used as potential biomarkers for diagnostic and prognostic purposes in HPV-induced cervical cancer and precancer.</p>","PeriodicalId":48591,"journal":{"name":"Clinical Medicine Insights-Oncology","volume":"19 ","pages":"11795549251316767"},"PeriodicalIF":1.9000,"publicationDate":"2025-03-25","publicationTypes":"Journal Article","fieldsOfStudy":null,"isOpenAccess":false,"openAccessPdf":"https://www.ncbi.nlm.nih.gov/pmc/articles/PMC11938483/pdf/","citationCount":"0","resultStr":"{\"title\":\"Patterns of Different Cervical Cytokine Expression in High-Risk Human Papillomavirus-Infected Patients With Cervical Cancer and Its Precancerous Lesions.\",\"authors\":\"Shamoli Saha, Sharmin Sultana, Raad Rahmat, Tahmina Akther, Ashrafun Nessa, Munira Jahan\",\"doi\":\"10.1177/11795549251316767\",\"DOIUrl\":null,\"url\":null,\"abstract\":\"<p><strong>Background: </strong>Cervical cancer is the second most common cancer in Bangladesh and is primarily caused by persistent high-risk human papillomavirus (HR-HPV) infection. Several risk factors, including immunological, genetic, environmental, and viral factors, may contribute to the development of cervical cancer. Moreover, a disruption in an otherwise delicate balance between immune response and cytokine production may lead to diseased states. Henceforth, this study aimed to determine and compare selected cytokines, including interleukin-6 (IL-6), interleukin-1 beta (IL-1β), tumor necrosis factor-alpha (TNF-α), interferon-gamma (INF-γ), interleukin-10 (IL-10), GM-CSF, interleukin-8 (IL-8), and MCP-1 among HR-HPV-infected patients with cervical cancer, precancer individuals, and healthy participants to test the propensity of these cytokines to serve as predictive biomarkers for the detection of cervical cancer during its early stages.</p><p><strong>Methods: </strong>A cross-sectional study was conducted on female patients visiting two referral hospitals in Bangladesh from September to November 2022. Among them, 80 women were enrolled in the study as patients with cervical cancer and precancerous lesions along with HPV DNA-negative healthy individuals. The selected cytokines in the cervical swab were estimated by flow cytometry.</p><p><strong>Result: </strong>Cervical cancer and precancer were primarily detected in patients aged above 40 years (73.3% and 46.7% of the patients in the respective groups). Other significant risk factors, including poor educational, socioeconomic status and nutritional conditions, age of first coitus, multiparity, and tobacco and betel nut consumption, were found significant for the development of cervical cancer and precancer (<i>P</i> < .05). The levels of IL-6, IL-1β, IL-10, IL-8, and MCP-1 were substantially elevated in patients with cancer than in patients with precancer and healthy individuals (<i>P</i> < .001). Moreover, the levels of IL-6, IL-1β, IL-10, and IL-8 were also significantly increased in patients with precancer than in healthy individuals (<i>P</i> < .05).</p><p><strong>Conclusions: </strong>Thus, IL-6, IL-1β, IL-10, IL-8, and MCP-1 can be used as potential biomarkers for diagnostic and prognostic purposes in HPV-induced cervical cancer and precancer.</p>\",\"PeriodicalId\":48591,\"journal\":{\"name\":\"Clinical Medicine Insights-Oncology\",\"volume\":\"19 \",\"pages\":\"11795549251316767\"},\"PeriodicalIF\":1.9000,\"publicationDate\":\"2025-03-25\",\"publicationTypes\":\"Journal Article\",\"fieldsOfStudy\":null,\"isOpenAccess\":false,\"openAccessPdf\":\"https://www.ncbi.nlm.nih.gov/pmc/articles/PMC11938483/pdf/\",\"citationCount\":\"0\",\"resultStr\":null,\"platform\":\"Semanticscholar\",\"paperid\":null,\"PeriodicalName\":\"Clinical Medicine Insights-Oncology\",\"FirstCategoryId\":\"3\",\"ListUrlMain\":\"https://doi.org/10.1177/11795549251316767\",\"RegionNum\":4,\"RegionCategory\":\"医学\",\"ArticlePicture\":[],\"TitleCN\":null,\"AbstractTextCN\":null,\"PMCID\":null,\"EPubDate\":\"2025/1/1 0:00:00\",\"PubModel\":\"eCollection\",\"JCR\":\"Q3\",\"JCRName\":\"ONCOLOGY\",\"Score\":null,\"Total\":0}","platform":"Semanticscholar","paperid":null,"PeriodicalName":"Clinical Medicine Insights-Oncology","FirstCategoryId":"3","ListUrlMain":"https://doi.org/10.1177/11795549251316767","RegionNum":4,"RegionCategory":"医学","ArticlePicture":[],"TitleCN":null,"AbstractTextCN":null,"PMCID":null,"EPubDate":"2025/1/1 0:00:00","PubModel":"eCollection","JCR":"Q3","JCRName":"ONCOLOGY","Score":null,"Total":0}
引用次数: 0

摘要

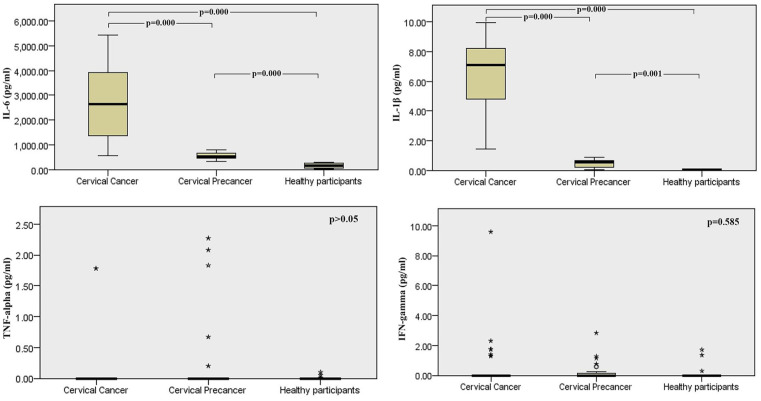
背景:宫颈癌是孟加拉国第二大常见癌症,主要由持续的高危人乳头瘤病毒(HR-HPV)感染引起。多种危险因素,包括免疫、遗传、环境和病毒因素,都可能导致宫颈癌的发生。此外,免疫反应和细胞因子产生之间微妙平衡的破坏可能导致疾病状态。因此,本研究旨在确定和比较选定的细胞因子,包括白细胞介素-6 (IL-6)、白细胞介素-1β (IL-1β)、肿瘤坏死因子-α (TNF-α)、干扰素-γ (INF-γ)、白细胞介素-10 (IL-10)、GM-CSF、白细胞介素-8 (IL-8)和MCP-1,在hr - hpv感染的宫颈癌患者、癌前个体和健康参与者中,以测试这些细胞因子作为宫颈癌早期检测的预测性生物标志物的倾向。方法:对2022年9月至11月在孟加拉国两家转诊医院就诊的女性患者进行横断面研究。其中,80名患有宫颈癌和癌前病变的女性与HPV dna阴性的健康人一起参加了这项研究。用流式细胞术对宫颈拭子中选定的细胞因子进行测定。结果:宫颈癌及癌前病变以40岁以上患者为主(两组分别占73.3%和46.7%)。结论:IL-6、IL-1β、IL-10、IL-8和MCP-1可以作为hpv诱导的宫颈癌和癌前病变的潜在生物标志物,用于诊断和预后。
本文章由计算机程序翻译,如有差异,请以英文原文为准。

Patterns of Different Cervical Cytokine Expression in High-Risk Human Papillomavirus-Infected Patients With Cervical Cancer and Its Precancerous Lesions.

Patterns of Different Cervical Cytokine Expression in High-Risk Human Papillomavirus-Infected Patients With Cervical Cancer and Its Precancerous Lesions.

Patterns of Different Cervical Cytokine Expression in High-Risk Human Papillomavirus-Infected Patients With Cervical Cancer and Its Precancerous Lesions.

Patterns of Different Cervical Cytokine Expression in High-Risk Human Papillomavirus-Infected Patients With Cervical Cancer and Its Precancerous Lesions.

Background: Cervical cancer is the second most common cancer in Bangladesh and is primarily caused by persistent high-risk human papillomavirus (HR-HPV) infection. Several risk factors, including immunological, genetic, environmental, and viral factors, may contribute to the development of cervical cancer. Moreover, a disruption in an otherwise delicate balance between immune response and cytokine production may lead to diseased states. Henceforth, this study aimed to determine and compare selected cytokines, including interleukin-6 (IL-6), interleukin-1 beta (IL-1β), tumor necrosis factor-alpha (TNF-α), interferon-gamma (INF-γ), interleukin-10 (IL-10), GM-CSF, interleukin-8 (IL-8), and MCP-1 among HR-HPV-infected patients with cervical cancer, precancer individuals, and healthy participants to test the propensity of these cytokines to serve as predictive biomarkers for the detection of cervical cancer during its early stages.

Methods: A cross-sectional study was conducted on female patients visiting two referral hospitals in Bangladesh from September to November 2022. Among them, 80 women were enrolled in the study as patients with cervical cancer and precancerous lesions along with HPV DNA-negative healthy individuals. The selected cytokines in the cervical swab were estimated by flow cytometry.

Result: Cervical cancer and precancer were primarily detected in patients aged above 40 years (73.3% and 46.7% of the patients in the respective groups). Other significant risk factors, including poor educational, socioeconomic status and nutritional conditions, age of first coitus, multiparity, and tobacco and betel nut consumption, were found significant for the development of cervical cancer and precancer (P < .05). The levels of IL-6, IL-1β, IL-10, IL-8, and MCP-1 were substantially elevated in patients with cancer than in patients with precancer and healthy individuals (P < .001). Moreover, the levels of IL-6, IL-1β, IL-10, and IL-8 were also significantly increased in patients with precancer than in healthy individuals (P < .05).

Conclusions: Thus, IL-6, IL-1β, IL-10, IL-8, and MCP-1 can be used as potential biomarkers for diagnostic and prognostic purposes in HPV-induced cervical cancer and precancer.

求助全文
通过发布文献求助,成功后即可免费获取论文全文。 去求助
来源期刊
CiteScore
2.40
自引率
4.50%
发文量
57
审稿时长
8 weeks
期刊介绍: Clinical Medicine Insights: Oncology is an international, peer-reviewed, open access journal that focuses on all aspects of cancer research and treatment, in addition to related genetic, pathophysiological and epidemiological topics. Of particular but not exclusive importance are molecular biology, clinical interventions, controlled trials, therapeutics, pharmacology and drug delivery, and techniques of cancer surgery. The journal welcomes unsolicited article proposals.
×
引用
GB/T 7714-2015
复制
MLA
复制
APA
复制
导出至
BibTeX EndNote RefMan NoteFirst NoteExpress
×
提示
您的信息不完整,为了账户安全,请先补充。
现在去补充
×
提示
您因"违规操作"
具体请查看互助需知
我知道了
×
提示
确定
请完成安全验证×
copy
已复制链接
快去分享给好友吧!
我知道了
右上角分享
点击右上角分享
0
联系我们:info@booksci.cn Book学术提供免费学术资源搜索服务,方便国内外学者检索中英文文献。致力于提供最便捷和优质的服务体验。 Copyright © 2023 布克学术 All rights reserved.
京ICP备2023020795号-1
ghs 京公网安备 11010802042870号
Book学术文献互助
Book学术文献互助群
群 号:604180095
Book学术官方微信