【开放式实验:QuEChERS联合荧光衍生法检测阿特拉津及其对酶活性的影响】。

Xing-Hua Huang, Yi-Yao Huang, Wu Gao, Yi-da Zhang, Xiao-Yan Liu, Hai-Xia Zhang
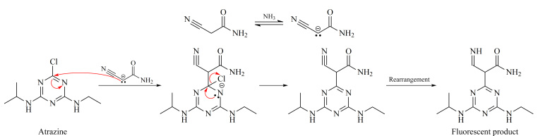
{"title":"【开放式实验:QuEChERS联合荧光衍生法检测阿特拉津及其对酶活性的影响】。","authors":"Xing-Hua Huang, Yi-Yao Huang, Wu Gao, Yi-da Zhang, Xiao-Yan Liu, Hai-Xia Zhang","doi":"10.3724/SP.J.1123.2024.06010","DOIUrl":null,"url":null,"abstract":"<p><p>Atrazine is a triazine pesticide that interferes with normal physiological activities, induces oxidative stress, and is significantly toxic to plants. Therefore, the ability to quantitatively detect atrazine and study the mechanisms responsible for its toxicity are crucial for ensuring food safety and maintaining plant growth. Herein, a method was developed by QuEChERS combined with fluorescence derivatization to rapidly, sensitively, and quantitatively detect atrazine in real samples. This approach offers excellent selectivity and high sensitivity, and is simple to operate. In addition, we also investigated the effect of atrazine on catalase activity through enzyme-activity assays and molecular-docking studies to explore the mechanism responsible for the toxicity of atrazine on the molecular level. This experiment involves knowledge related to sample pretreatment, spectroscopy, and molecular docking, while the instruments used are widely available in colleges and universities and are very suitable for teaching open experiments. This experiment aims to provide students with a comprehensive understanding of experimental operations integrated with theory, as well as applied research aimed at helping students understand the use of separation materials, the selection and application of fluorescent derivatization reagents, the principles of analytical instruments, the use of enzymes, and the principles of molecular docking. This experiment is expected to enhance students' awareness of people's livelihoods, analytical chemistry concepts, and operational standards, which will guide the development of their scientific research thinking and improve their abilities to solve real-world problems.</p>","PeriodicalId":101336,"journal":{"name":"Se pu = Chinese journal of chromatography","volume":"43 4","pages":"388-393"},"PeriodicalIF":0.0000,"publicationDate":"2025-04-08","publicationTypes":"Journal Article","fieldsOfStudy":null,"isOpenAccess":false,"openAccessPdf":"https://www.ncbi.nlm.nih.gov/pmc/articles/PMC11966371/pdf/","citationCount":"0","resultStr":"{\"title\":\"[Open experiment: QuEChERS combined with fluorescence derivatization for the detection of atrazine and its effect on enzyme activity].\",\"authors\":\"Xing-Hua Huang, Yi-Yao Huang, Wu Gao, Yi-da Zhang, Xiao-Yan Liu, Hai-Xia Zhang\",\"doi\":\"10.3724/SP.J.1123.2024.06010\",\"DOIUrl\":null,\"url\":null,\"abstract\":\"<p><p>Atrazine is a triazine pesticide that interferes with normal physiological activities, induces oxidative stress, and is significantly toxic to plants. Therefore, the ability to quantitatively detect atrazine and study the mechanisms responsible for its toxicity are crucial for ensuring food safety and maintaining plant growth. Herein, a method was developed by QuEChERS combined with fluorescence derivatization to rapidly, sensitively, and quantitatively detect atrazine in real samples. This approach offers excellent selectivity and high sensitivity, and is simple to operate. In addition, we also investigated the effect of atrazine on catalase activity through enzyme-activity assays and molecular-docking studies to explore the mechanism responsible for the toxicity of atrazine on the molecular level. This experiment involves knowledge related to sample pretreatment, spectroscopy, and molecular docking, while the instruments used are widely available in colleges and universities and are very suitable for teaching open experiments. This experiment aims to provide students with a comprehensive understanding of experimental operations integrated with theory, as well as applied research aimed at helping students understand the use of separation materials, the selection and application of fluorescent derivatization reagents, the principles of analytical instruments, the use of enzymes, and the principles of molecular docking. This experiment is expected to enhance students' awareness of people's livelihoods, analytical chemistry concepts, and operational standards, which will guide the development of their scientific research thinking and improve their abilities to solve real-world problems.</p>\",\"PeriodicalId\":101336,\"journal\":{\"name\":\"Se pu = Chinese journal of chromatography\",\"volume\":\"43 4\",\"pages\":\"388-393\"},\"PeriodicalIF\":0.0000,\"publicationDate\":\"2025-04-08\",\"publicationTypes\":\"Journal Article\",\"fieldsOfStudy\":null,\"isOpenAccess\":false,\"openAccessPdf\":\"https://www.ncbi.nlm.nih.gov/pmc/articles/PMC11966371/pdf/\",\"citationCount\":\"0\",\"resultStr\":null,\"platform\":\"Semanticscholar\",\"paperid\":null,\"PeriodicalName\":\"Se pu = Chinese journal of chromatography\",\"FirstCategoryId\":\"1085\",\"ListUrlMain\":\"https://doi.org/10.3724/SP.J.1123.2024.06010\",\"RegionNum\":0,\"RegionCategory\":null,\"ArticlePicture\":[],\"TitleCN\":null,\"AbstractTextCN\":null,\"PMCID\":null,\"EPubDate\":\"\",\"PubModel\":\"\",\"JCR\":\"\",\"JCRName\":\"\",\"Score\":null,\"Total\":0}","platform":"Semanticscholar","paperid":null,"PeriodicalName":"Se pu = Chinese journal of chromatography","FirstCategoryId":"1085","ListUrlMain":"https://doi.org/10.3724/SP.J.1123.2024.06010","RegionNum":0,"RegionCategory":null,"ArticlePicture":[],"TitleCN":null,"AbstractTextCN":null,"PMCID":null,"EPubDate":"","PubModel":"","JCR":"","JCRName":"","Score":null,"Total":0}
引用次数: 0

摘要

阿特拉津是一种三嗪类农药,干扰植物正常生理活动,诱导氧化应激,对植物具有显著毒性。因此,定量检测阿特拉津并研究其毒性机制对于确保食品安全和维持植物生长至关重要。本文建立了一种结合荧光衍生化的快速、灵敏、定量检测实际样品中阿特拉津的方法。该方法选择性好,灵敏度高,操作简单。此外,我们还通过酶活性测定和分子对接研究考察了阿特拉津对过氧化氢酶活性的影响,从分子水平探讨了阿特拉津毒性的机制。本实验涉及到样品预处理、光谱学、分子对接等相关知识,所使用的仪器在高校广泛使用,非常适合开放性实验教学。本实验旨在让学生全面了解与理论相结合的实验操作,以及应用研究,帮助学生了解分离材料的使用、荧光衍生化试剂的选择与应用、分析仪器的原理、酶的使用、分子对接的原理。本实验旨在增强学生对民生、分析化学概念、操作标准的认识,引导学生科研思维的发展,提高学生解决现实问题的能力。
本文章由计算机程序翻译,如有差异,请以英文原文为准。

[Open experiment: QuEChERS combined with fluorescence derivatization for the detection of atrazine and its effect on enzyme activity].

[Open experiment: QuEChERS combined with fluorescence derivatization for the detection of atrazine and its effect on enzyme activity].

[Open experiment: QuEChERS combined with fluorescence derivatization for the detection of atrazine and its effect on enzyme activity].

[Open experiment: QuEChERS combined with fluorescence derivatization for the detection of atrazine and its effect on enzyme activity].

Atrazine is a triazine pesticide that interferes with normal physiological activities, induces oxidative stress, and is significantly toxic to plants. Therefore, the ability to quantitatively detect atrazine and study the mechanisms responsible for its toxicity are crucial for ensuring food safety and maintaining plant growth. Herein, a method was developed by QuEChERS combined with fluorescence derivatization to rapidly, sensitively, and quantitatively detect atrazine in real samples. This approach offers excellent selectivity and high sensitivity, and is simple to operate. In addition, we also investigated the effect of atrazine on catalase activity through enzyme-activity assays and molecular-docking studies to explore the mechanism responsible for the toxicity of atrazine on the molecular level. This experiment involves knowledge related to sample pretreatment, spectroscopy, and molecular docking, while the instruments used are widely available in colleges and universities and are very suitable for teaching open experiments. This experiment aims to provide students with a comprehensive understanding of experimental operations integrated with theory, as well as applied research aimed at helping students understand the use of separation materials, the selection and application of fluorescent derivatization reagents, the principles of analytical instruments, the use of enzymes, and the principles of molecular docking. This experiment is expected to enhance students' awareness of people's livelihoods, analytical chemistry concepts, and operational standards, which will guide the development of their scientific research thinking and improve their abilities to solve real-world problems.

求助全文
通过发布文献求助,成功后即可免费获取论文全文。 去求助
来源期刊
自引率
0.00%
发文量
0
×
引用
GB/T 7714-2015
复制
MLA
复制
APA
复制
导出至
BibTeX EndNote RefMan NoteFirst NoteExpress
×
提示
您的信息不完整,为了账户安全,请先补充。
现在去补充
×
提示
您因"违规操作"
具体请查看互助需知
我知道了
×
提示
确定
请完成安全验证×
copy
已复制链接
快去分享给好友吧!
我知道了
右上角分享
点击右上角分享
0
联系我们:info@booksci.cn Book学术提供免费学术资源搜索服务,方便国内外学者检索中英文文献。致力于提供最便捷和优质的服务体验。 Copyright © 2023 布克学术 All rights reserved.
京ICP备2023020795号-1
ghs 京公网安备 11010802042870号
Book学术文献互助
Book学术文献互助群
群 号:604180095
Book学术官方微信