[固相萃取-超高效液相色谱-串联质谱法测定人体尿液中的四种氧化应激生物标志物]。

Zhuang-Zhuang Feng, Xiao Lin, De-Jun Bao, Xiao-Jian Hu, Hai-Jing Zhang, Ying Zhu, Xu Zhang
{"title":"[固相萃取-超高效液相色谱-串联质谱法测定人体尿液中的四种氧化应激生物标志物]。","authors":"Zhuang-Zhuang Feng, Xiao Lin, De-Jun Bao, Xiao-Jian Hu, Hai-Jing Zhang, Ying Zhu, Xu Zhang","doi":"10.3724/SP.J.1123.2024.10003","DOIUrl":null,"url":null,"abstract":"<p><p>Oxidative stress biomarkers are measurable biological indicators that reflect the balance between the production of reactive oxygen species (ROS) and the body's ability to neutralize them using antioxidants. Elevated oxidative stress is associated with a number of health effects. Herein, we report the development of a comprehensive and sensitive method for quantifying four typical oxidative stress biomarkers in human urine using solid-phase extraction (SPE) in conjunction with ultra performance liquid chromatography-tandem mass spectrometry (UPLC-MS/MS). The quantified biomarkers include L,L-dityrosine (diY), 8-hydroxy-2'-deoxyguanosine (8-OHdG), 8-hydroxyguanosine (8-OHG), and 4-hydroxynonenal mercapturic acid (HNEMA), which are markers of oxidative-stress-related damage in proteins, DNA, RNA, and lipids, respectively. To that end, we systematically optimized the MS parameters, SPE cartridge, and elution conditions of the method. Briefly, 0.2 mL of a urine sample was mixed with 0.8 mL of pure water, after which an internal-standard mixture was added. The four target analytes were enriched and purified using an HLB SPE cartridge. The diY and the other three compounds were eluted with 2% (volume fraction) methanol aqueous solution and methanol, respectively. The two groups of eluates containing different target analytes were separately injected onto an Acquity UPLC HSS T3 column (100 mm×2.1 mm, 1.8 μm) and gradient eluted using 0.05% (v/v) acetic acid aqueous solution and methanol. The target analytes were identified using both negative and positive electrospray ionization (ESI<sup>-</sup> and ESI<sup>+</sup>) and multiple reaction monitoring (MRM) modes, and quantified using stable-isotope-labeled internal standards. The four typical oxidative-stress biomarkers exhibited good linearities within the mass concentration range of 0.01-100 μg/L, with correlation coefficients ≥0.9998, and limits of detection (LODs) and limits of quantification (LOQs) of 7-18 and 22-60 ng/L, respectively. The spiked recoveries of the target analytes at three levels (5, 10 and 50 μg/L) were 103.0%-105.6%(8-OHdG), 100.8%-104.2%(8-OHG), 97.2%-100.2%(diY) and 96.9%-106.0%(HNEMA), with intra-day precisions of between 1.6% and 5.2%. Moderate-to-strong matrix effects of between 42% and 137% were observed for each target analyte. The target compounds exhibited weak matrix effects of 99%-102% (8-OHdG), 97%-98% (8-OHG), 97%-106% (diY), and 94%-110% (HNEMA) after adjustment using the stable-isotope-labeled internal-standard method. The developed method was used to determine the abovementioned four typical oxidative stress biomarkers in 40 urine samples. All target compounds were detected in human urine at rates of 100%, with mass concentrations of 0.52-14.40 μg/L, 2.75-38.15 μg/L, 8.92-82.28 μg/L, and 1.74-575.29 μg/L recorded for 8-OHdG, 8-OHG, diY, and HNEMA, respectively, along with median values of 2.89, 12.36, 37.66, and 96.92 μg/L, respectively. The developed method is simple to operate, highly sensitive, and is very precise and accurate; consequently, it is suitable for determining the abovementioned four typical oxidative stress biomarkers in human urine.</p>","PeriodicalId":101336,"journal":{"name":"Se pu = Chinese journal of chromatography","volume":"43 4","pages":"317-325"},"PeriodicalIF":0.0000,"publicationDate":"2025-04-08","publicationTypes":"Journal Article","fieldsOfStudy":null,"isOpenAccess":false,"openAccessPdf":"https://www.ncbi.nlm.nih.gov/pmc/articles/PMC11966377/pdf/","citationCount":"0","resultStr":"{\"title\":\"[Determination of four oxidative stress biomarkers in human urine using solid-phase extraction coupled with ultra performance liquid chromatography-tandem mass spectrometry].\",\"authors\":\"Zhuang-Zhuang Feng, Xiao Lin, De-Jun Bao, Xiao-Jian Hu, Hai-Jing Zhang, Ying Zhu, Xu Zhang\",\"doi\":\"10.3724/SP.J.1123.2024.10003\",\"DOIUrl\":null,\"url\":null,\"abstract\":\"<p><p>Oxidative stress biomarkers are measurable biological indicators that reflect the balance between the production of reactive oxygen species (ROS) and the body's ability to neutralize them using antioxidants. Elevated oxidative stress is associated with a number of health effects. Herein, we report the development of a comprehensive and sensitive method for quantifying four typical oxidative stress biomarkers in human urine using solid-phase extraction (SPE) in conjunction with ultra performance liquid chromatography-tandem mass spectrometry (UPLC-MS/MS). The quantified biomarkers include L,L-dityrosine (diY), 8-hydroxy-2'-deoxyguanosine (8-OHdG), 8-hydroxyguanosine (8-OHG), and 4-hydroxynonenal mercapturic acid (HNEMA), which are markers of oxidative-stress-related damage in proteins, DNA, RNA, and lipids, respectively. To that end, we systematically optimized the MS parameters, SPE cartridge, and elution conditions of the method. Briefly, 0.2 mL of a urine sample was mixed with 0.8 mL of pure water, after which an internal-standard mixture was added. The four target analytes were enriched and purified using an HLB SPE cartridge. The diY and the other three compounds were eluted with 2% (volume fraction) methanol aqueous solution and methanol, respectively. The two groups of eluates containing different target analytes were separately injected onto an Acquity UPLC HSS T3 column (100 mm×2.1 mm, 1.8 μm) and gradient eluted using 0.05% (v/v) acetic acid aqueous solution and methanol. The target analytes were identified using both negative and positive electrospray ionization (ESI<sup>-</sup> and ESI<sup>+</sup>) and multiple reaction monitoring (MRM) modes, and quantified using stable-isotope-labeled internal standards. The four typical oxidative-stress biomarkers exhibited good linearities within the mass concentration range of 0.01-100 μg/L, with correlation coefficients ≥0.9998, and limits of detection (LODs) and limits of quantification (LOQs) of 7-18 and 22-60 ng/L, respectively. The spiked recoveries of the target analytes at three levels (5, 10 and 50 μg/L) were 103.0%-105.6%(8-OHdG), 100.8%-104.2%(8-OHG), 97.2%-100.2%(diY) and 96.9%-106.0%(HNEMA), with intra-day precisions of between 1.6% and 5.2%. Moderate-to-strong matrix effects of between 42% and 137% were observed for each target analyte. The target compounds exhibited weak matrix effects of 99%-102% (8-OHdG), 97%-98% (8-OHG), 97%-106% (diY), and 94%-110% (HNEMA) after adjustment using the stable-isotope-labeled internal-standard method. The developed method was used to determine the abovementioned four typical oxidative stress biomarkers in 40 urine samples. All target compounds were detected in human urine at rates of 100%, with mass concentrations of 0.52-14.40 μg/L, 2.75-38.15 μg/L, 8.92-82.28 μg/L, and 1.74-575.29 μg/L recorded for 8-OHdG, 8-OHG, diY, and HNEMA, respectively, along with median values of 2.89, 12.36, 37.66, and 96.92 μg/L, respectively. The developed method is simple to operate, highly sensitive, and is very precise and accurate; consequently, it is suitable for determining the abovementioned four typical oxidative stress biomarkers in human urine.</p>\",\"PeriodicalId\":101336,\"journal\":{\"name\":\"Se pu = Chinese journal of chromatography\",\"volume\":\"43 4\",\"pages\":\"317-325\"},\"PeriodicalIF\":0.0000,\"publicationDate\":\"2025-04-08\",\"publicationTypes\":\"Journal Article\",\"fieldsOfStudy\":null,\"isOpenAccess\":false,\"openAccessPdf\":\"https://www.ncbi.nlm.nih.gov/pmc/articles/PMC11966377/pdf/\",\"citationCount\":\"0\",\"resultStr\":null,\"platform\":\"Semanticscholar\",\"paperid\":null,\"PeriodicalName\":\"Se pu = Chinese journal of chromatography\",\"FirstCategoryId\":\"1085\",\"ListUrlMain\":\"https://doi.org/10.3724/SP.J.1123.2024.10003\",\"RegionNum\":0,\"RegionCategory\":null,\"ArticlePicture\":[],\"TitleCN\":null,\"AbstractTextCN\":null,\"PMCID\":null,\"EPubDate\":\"\",\"PubModel\":\"\",\"JCR\":\"\",\"JCRName\":\"\",\"Score\":null,\"Total\":0}","platform":"Semanticscholar","paperid":null,"PeriodicalName":"Se pu = Chinese journal of chromatography","FirstCategoryId":"1085","ListUrlMain":"https://doi.org/10.3724/SP.J.1123.2024.10003","RegionNum":0,"RegionCategory":null,"ArticlePicture":[],"TitleCN":null,"AbstractTextCN":null,"PMCID":null,"EPubDate":"","PubModel":"","JCR":"","JCRName":"","Score":null,"Total":0}
引用次数: 0

摘要

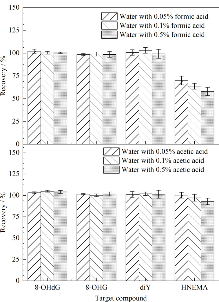
氧化应激生物标志物是可测量的生物指标,反映了活性氧(ROS)的产生与身体使用抗氧化剂中和它们的能力之间的平衡。氧化应激升高与许多健康影响有关。在此,我们报告了一种全面、灵敏的方法,用于定量人体尿液中四种典型的氧化应激生物标志物,该方法使用固相萃取(SPE)结合超高效液相色谱-串联质谱(UPLC-MS/MS)。定量的生物标志物包括L,L-二酪氨酸(diY), 8-羟基-2'-脱氧鸟苷(8-OHdG), 8-羟基鸟苷(8-OHG)和4-羟基壬烯醛巯基酸(HNEMA),它们分别是蛋白质,DNA, RNA和脂质中氧化应激相关损伤的标志物。为此,我们系统地优化了该方法的质谱参数、固相萃取筒和洗脱条件。简单地说,将0.2 mL尿液样本与0.8 mL纯水混合,然后加入内标混合物。用高效液相色谱(HLB)固相萃取筒富集和纯化四种目标分析物。分别用2%(体积分数)的甲醇水溶液和甲醇洗脱diY和其他三种化合物。两组含不同目的分析物的洗脱液分别进样于Acquity UPLC HSS T3柱(100 mm×2.1 mm, 1.8 μm)上,用0.05% (v/v)醋酸水溶液和甲醇梯度洗脱。采用负电喷雾电离(ESI-)和正电喷雾电离(ESI +)和多重反应监测(MRM)模式对目标分析物进行鉴定,并使用稳定同位素标记的内标进行定量。4种典型氧化应激生物标志物在0.01 ~ 100 μg/L的质量浓度范围内呈良好的线性关系,相关系数≥0.9998,检测限和定量限分别为7 ~ 18 ng/L和22 ~ 60 ng/L。5、10、50 μg/L加标回收率分别为103.0% ~ 105.6%(8-OHG)、100.8% ~ 104.2%(8-OHG)、97.2% ~ 100.2%(diY)和96.9% ~ 106.0%(HNEMA),日内精密度在1.6% ~ 5.2%之间。对于每种目标分析物,观察到42%至137%之间的中等至强基质效应。用稳定同位素标记内标法调整后,目标化合物表现出99% ~ 102% (8-OHdG)、97% ~ 98% (8-OHG)、97% ~ 106% (diY)和94% ~ 110% (HNEMA)的弱基质效应。采用该方法测定了40份尿样中上述四种典型氧化应激生物标志物。8-OHdG、8-OHG、diY和HNEMA的质量浓度分别为0.52 ~ 14.40 μg/L、2.75 ~ 38.15 μg/L、8.92 ~ 82.28 μg/L和1.74 ~ 575.29 μg/L,中位数分别为2.89、12.36、37.66和96.92 μg/L。该方法操作简单,灵敏度高,准确度高;因此,它适用于测定人体尿液中上述四种典型氧化应激生物标志物。
本文章由计算机程序翻译,如有差异,请以英文原文为准。

[Determination of four oxidative stress biomarkers in human urine using solid-phase extraction coupled with ultra performance liquid chromatography-tandem mass spectrometry].

[Determination of four oxidative stress biomarkers in human urine using solid-phase extraction coupled with ultra performance liquid chromatography-tandem mass spectrometry].

[Determination of four oxidative stress biomarkers in human urine using solid-phase extraction coupled with ultra performance liquid chromatography-tandem mass spectrometry].

[Determination of four oxidative stress biomarkers in human urine using solid-phase extraction coupled with ultra performance liquid chromatography-tandem mass spectrometry].

Oxidative stress biomarkers are measurable biological indicators that reflect the balance between the production of reactive oxygen species (ROS) and the body's ability to neutralize them using antioxidants. Elevated oxidative stress is associated with a number of health effects. Herein, we report the development of a comprehensive and sensitive method for quantifying four typical oxidative stress biomarkers in human urine using solid-phase extraction (SPE) in conjunction with ultra performance liquid chromatography-tandem mass spectrometry (UPLC-MS/MS). The quantified biomarkers include L,L-dityrosine (diY), 8-hydroxy-2'-deoxyguanosine (8-OHdG), 8-hydroxyguanosine (8-OHG), and 4-hydroxynonenal mercapturic acid (HNEMA), which are markers of oxidative-stress-related damage in proteins, DNA, RNA, and lipids, respectively. To that end, we systematically optimized the MS parameters, SPE cartridge, and elution conditions of the method. Briefly, 0.2 mL of a urine sample was mixed with 0.8 mL of pure water, after which an internal-standard mixture was added. The four target analytes were enriched and purified using an HLB SPE cartridge. The diY and the other three compounds were eluted with 2% (volume fraction) methanol aqueous solution and methanol, respectively. The two groups of eluates containing different target analytes were separately injected onto an Acquity UPLC HSS T3 column (100 mm×2.1 mm, 1.8 μm) and gradient eluted using 0.05% (v/v) acetic acid aqueous solution and methanol. The target analytes were identified using both negative and positive electrospray ionization (ESI- and ESI+) and multiple reaction monitoring (MRM) modes, and quantified using stable-isotope-labeled internal standards. The four typical oxidative-stress biomarkers exhibited good linearities within the mass concentration range of 0.01-100 μg/L, with correlation coefficients ≥0.9998, and limits of detection (LODs) and limits of quantification (LOQs) of 7-18 and 22-60 ng/L, respectively. The spiked recoveries of the target analytes at three levels (5, 10 and 50 μg/L) were 103.0%-105.6%(8-OHdG), 100.8%-104.2%(8-OHG), 97.2%-100.2%(diY) and 96.9%-106.0%(HNEMA), with intra-day precisions of between 1.6% and 5.2%. Moderate-to-strong matrix effects of between 42% and 137% were observed for each target analyte. The target compounds exhibited weak matrix effects of 99%-102% (8-OHdG), 97%-98% (8-OHG), 97%-106% (diY), and 94%-110% (HNEMA) after adjustment using the stable-isotope-labeled internal-standard method. The developed method was used to determine the abovementioned four typical oxidative stress biomarkers in 40 urine samples. All target compounds were detected in human urine at rates of 100%, with mass concentrations of 0.52-14.40 μg/L, 2.75-38.15 μg/L, 8.92-82.28 μg/L, and 1.74-575.29 μg/L recorded for 8-OHdG, 8-OHG, diY, and HNEMA, respectively, along with median values of 2.89, 12.36, 37.66, and 96.92 μg/L, respectively. The developed method is simple to operate, highly sensitive, and is very precise and accurate; consequently, it is suitable for determining the abovementioned four typical oxidative stress biomarkers in human urine.

求助全文
通过发布文献求助,成功后即可免费获取论文全文。 去求助
来源期刊
自引率
0.00%
发文量
0
×
引用
GB/T 7714-2015
复制
MLA
复制
APA
复制
导出至
BibTeX EndNote RefMan NoteFirst NoteExpress
×
提示
您的信息不完整,为了账户安全,请先补充。
现在去补充
×
提示
您因"违规操作"
具体请查看互助需知
我知道了
×
提示
确定
请完成安全验证×
copy
已复制链接
快去分享给好友吧!
我知道了
右上角分享
点击右上角分享
0
联系我们:info@booksci.cn Book学术提供免费学术资源搜索服务,方便国内外学者检索中英文文献。致力于提供最便捷和优质的服务体验。 Copyright © 2023 布克学术 All rights reserved.
京ICP备2023020795号-1
ghs 京公网安备 11010802042870号
Book学术文献互助
Book学术文献互助群
群 号:604180095
Book学术官方微信