[基于亲水性相互作用的超高效液相色谱-三重四极杆质谱法测定草莓不同成熟期18种游离氨基酸]。

Min Ju, Yu-Ming Song, Jin-Feng Zhao, Yu-Ming Sun, Li-Na Zhou, Qing-Xin Yin, Chen Wang, Rui Cai, Qiang Xu, Hui-Hui Wan
{"title":"[基于亲水性相互作用的超高效液相色谱-三重四极杆质谱法测定草莓不同成熟期18种游离氨基酸]。","authors":"Min Ju, Yu-Ming Song, Jin-Feng Zhao, Yu-Ming Sun, Li-Na Zhou, Qing-Xin Yin, Chen Wang, Rui Cai, Qiang Xu, Hui-Hui Wan","doi":"10.3724/SP.J.1123.2024.04017","DOIUrl":null,"url":null,"abstract":"<p><p>The determination of free amino acids is important for quality evaluation and nutritional studies of strawberries. In this study, an ultra performance liquid chromatography-tandem mass spectrometry (UPLC-MS/MS) method using hydrophilic interaction chromatographic column was established for the simultaneous determination of 18 free amino acids in strawberries, and the pretreatment, chromatography, and mass spectrometry conditions were optimized. Specific pretreatment processes include grinding, extraction with water, centrifugation, and membrane filtration. The treated samples were then analyzed by hydrophilic interaction liquid chromatography (HILIC)-tandem mass spectrometry. The separation was performed on an ACQUITY UPLC Glycan BEH Amide column (150 mm×2.1 mm, 1.7 μm), with a water-acetonitrile system containing 5 mmol/L ammonium formate and 0.1% (v/v) formic acid as the mobile phase for gradient elution. A triple quadrupole mass spectrometer was used in positive-ion electrospray ionization (ESI) scanning mode, with target amino acids quantified using the matrix-matched standard-curve method. Eighteen free amino acids were determined with good linearities in the range of 0.5-40.0 μmol/L, along with <i>r</i><sup>2</sup> greater than 0.992. The intra-day and inter-day precisions of the method were 1.0%-14.8% and 3.6%-17.6%, respectively. The limits of detection (LODs) were in the range of 50-250 nmol/L. The recoveries of the 18 amino acids were 75.0%-114.6% with relative standard deviations (RSDs) of 0.3%-13.5%. The contents of free amino acids in strawberries at different ripening stages were statistically analyzed, and a total of seven differentiated free amino acids (phenylalanine, isoleucine, glutamine, 4-aminobutyric acid, arginine, glutamic acid, and aspartic acid) were statistically screened. The method is rapid, accurate, reproducible and stable, and can quantitatively determine the content of amino acids in strawberries.</p>","PeriodicalId":101336,"journal":{"name":"Se pu = Chinese journal of chromatography","volume":"43 4","pages":"372-381"},"PeriodicalIF":0.0000,"publicationDate":"2025-04-08","publicationTypes":"Journal Article","fieldsOfStudy":null,"isOpenAccess":false,"openAccessPdf":"https://www.ncbi.nlm.nih.gov/pmc/articles/PMC11966381/pdf/","citationCount":"0","resultStr":"{\"title\":\"[Determination of 18 free amino acids in strawberries at different ripening stages by ultra performance liquid chromatography-triple quadrupole mass spectrometry based on hydrophilic interaction].\",\"authors\":\"Min Ju, Yu-Ming Song, Jin-Feng Zhao, Yu-Ming Sun, Li-Na Zhou, Qing-Xin Yin, Chen Wang, Rui Cai, Qiang Xu, Hui-Hui Wan\",\"doi\":\"10.3724/SP.J.1123.2024.04017\",\"DOIUrl\":null,\"url\":null,\"abstract\":\"<p><p>The determination of free amino acids is important for quality evaluation and nutritional studies of strawberries. In this study, an ultra performance liquid chromatography-tandem mass spectrometry (UPLC-MS/MS) method using hydrophilic interaction chromatographic column was established for the simultaneous determination of 18 free amino acids in strawberries, and the pretreatment, chromatography, and mass spectrometry conditions were optimized. Specific pretreatment processes include grinding, extraction with water, centrifugation, and membrane filtration. The treated samples were then analyzed by hydrophilic interaction liquid chromatography (HILIC)-tandem mass spectrometry. The separation was performed on an ACQUITY UPLC Glycan BEH Amide column (150 mm×2.1 mm, 1.7 μm), with a water-acetonitrile system containing 5 mmol/L ammonium formate and 0.1% (v/v) formic acid as the mobile phase for gradient elution. A triple quadrupole mass spectrometer was used in positive-ion electrospray ionization (ESI) scanning mode, with target amino acids quantified using the matrix-matched standard-curve method. Eighteen free amino acids were determined with good linearities in the range of 0.5-40.0 μmol/L, along with <i>r</i><sup>2</sup> greater than 0.992. The intra-day and inter-day precisions of the method were 1.0%-14.8% and 3.6%-17.6%, respectively. The limits of detection (LODs) were in the range of 50-250 nmol/L. The recoveries of the 18 amino acids were 75.0%-114.6% with relative standard deviations (RSDs) of 0.3%-13.5%. The contents of free amino acids in strawberries at different ripening stages were statistically analyzed, and a total of seven differentiated free amino acids (phenylalanine, isoleucine, glutamine, 4-aminobutyric acid, arginine, glutamic acid, and aspartic acid) were statistically screened. The method is rapid, accurate, reproducible and stable, and can quantitatively determine the content of amino acids in strawberries.</p>\",\"PeriodicalId\":101336,\"journal\":{\"name\":\"Se pu = Chinese journal of chromatography\",\"volume\":\"43 4\",\"pages\":\"372-381\"},\"PeriodicalIF\":0.0000,\"publicationDate\":\"2025-04-08\",\"publicationTypes\":\"Journal Article\",\"fieldsOfStudy\":null,\"isOpenAccess\":false,\"openAccessPdf\":\"https://www.ncbi.nlm.nih.gov/pmc/articles/PMC11966381/pdf/\",\"citationCount\":\"0\",\"resultStr\":null,\"platform\":\"Semanticscholar\",\"paperid\":null,\"PeriodicalName\":\"Se pu = Chinese journal of chromatography\",\"FirstCategoryId\":\"1085\",\"ListUrlMain\":\"https://doi.org/10.3724/SP.J.1123.2024.04017\",\"RegionNum\":0,\"RegionCategory\":null,\"ArticlePicture\":[],\"TitleCN\":null,\"AbstractTextCN\":null,\"PMCID\":null,\"EPubDate\":\"\",\"PubModel\":\"\",\"JCR\":\"\",\"JCRName\":\"\",\"Score\":null,\"Total\":0}","platform":"Semanticscholar","paperid":null,"PeriodicalName":"Se pu = Chinese journal of chromatography","FirstCategoryId":"1085","ListUrlMain":"https://doi.org/10.3724/SP.J.1123.2024.04017","RegionNum":0,"RegionCategory":null,"ArticlePicture":[],"TitleCN":null,"AbstractTextCN":null,"PMCID":null,"EPubDate":"","PubModel":"","JCR":"","JCRName":"","Score":null,"Total":0}
引用次数: 0

摘要

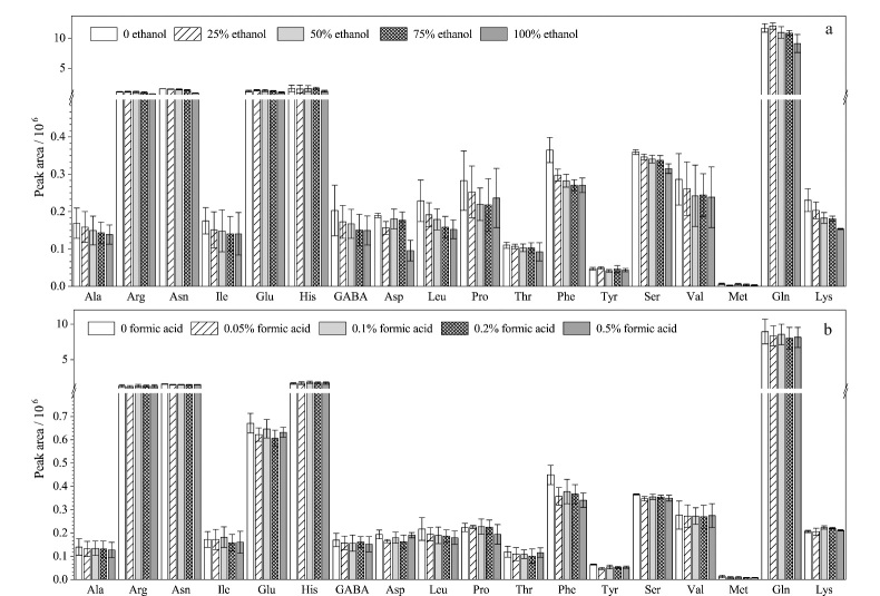
游离氨基酸的测定对草莓的品质评价和营养研究具有重要意义。本研究建立了亲水色谱柱超高效液相色谱-串联质谱(UPLC-MS/MS)同时测定草莓中18种游离氨基酸的方法,并对预处理、色谱和质谱条件进行了优化。具体的预处理工艺包括研磨、水萃取、离心和膜过滤。处理后的样品采用亲水相互作用液相色谱-串联质谱法进行分析。采用ACQUITY UPLC Glycan BEH Amide色谱柱(150 mm×2.1 mm, 1.7 μm),以含5 mmol/L甲酸铵和0.1% (v/v)甲酸为流动相的水-乙腈体系梯度洗脱。采用三联四极杆质谱仪进行正离子电喷雾(ESI)扫描,目的氨基酸采用基质匹配标准曲线法定量。18种游离氨基酸在0.5 ~ 40.0 μmol/L范围内线性良好,r2 > 0.992。方法日内精密度为1.0% ~ 14.8%,日间精密度为3.6% ~ 17.6%。检出限在50 ~ 250 nmol/L范围内。18种氨基酸加样回收率为75.0% ~ 114.6%,相对标准偏差(rsd)为0.3% ~ 13.5%。对草莓不同成熟期游离氨基酸含量进行统计分析,共筛选出苯丙氨酸、异亮氨酸、谷氨酰胺、4-氨基丁酸、精氨酸、谷氨酸和天冬氨酸7种有差异的游离氨基酸。该方法快速、准确、重现性好、稳定性好,可用于草莓中氨基酸含量的定量测定。
本文章由计算机程序翻译,如有差异,请以英文原文为准。

[Determination of 18 free amino acids in strawberries at different ripening stages by ultra performance liquid chromatography-triple quadrupole mass spectrometry based on hydrophilic interaction].

[Determination of 18 free amino acids in strawberries at different ripening stages by ultra performance liquid chromatography-triple quadrupole mass spectrometry based on hydrophilic interaction].

[Determination of 18 free amino acids in strawberries at different ripening stages by ultra performance liquid chromatography-triple quadrupole mass spectrometry based on hydrophilic interaction].

[Determination of 18 free amino acids in strawberries at different ripening stages by ultra performance liquid chromatography-triple quadrupole mass spectrometry based on hydrophilic interaction].

The determination of free amino acids is important for quality evaluation and nutritional studies of strawberries. In this study, an ultra performance liquid chromatography-tandem mass spectrometry (UPLC-MS/MS) method using hydrophilic interaction chromatographic column was established for the simultaneous determination of 18 free amino acids in strawberries, and the pretreatment, chromatography, and mass spectrometry conditions were optimized. Specific pretreatment processes include grinding, extraction with water, centrifugation, and membrane filtration. The treated samples were then analyzed by hydrophilic interaction liquid chromatography (HILIC)-tandem mass spectrometry. The separation was performed on an ACQUITY UPLC Glycan BEH Amide column (150 mm×2.1 mm, 1.7 μm), with a water-acetonitrile system containing 5 mmol/L ammonium formate and 0.1% (v/v) formic acid as the mobile phase for gradient elution. A triple quadrupole mass spectrometer was used in positive-ion electrospray ionization (ESI) scanning mode, with target amino acids quantified using the matrix-matched standard-curve method. Eighteen free amino acids were determined with good linearities in the range of 0.5-40.0 μmol/L, along with r2 greater than 0.992. The intra-day and inter-day precisions of the method were 1.0%-14.8% and 3.6%-17.6%, respectively. The limits of detection (LODs) were in the range of 50-250 nmol/L. The recoveries of the 18 amino acids were 75.0%-114.6% with relative standard deviations (RSDs) of 0.3%-13.5%. The contents of free amino acids in strawberries at different ripening stages were statistically analyzed, and a total of seven differentiated free amino acids (phenylalanine, isoleucine, glutamine, 4-aminobutyric acid, arginine, glutamic acid, and aspartic acid) were statistically screened. The method is rapid, accurate, reproducible and stable, and can quantitatively determine the content of amino acids in strawberries.

求助全文
通过发布文献求助,成功后即可免费获取论文全文。 去求助
来源期刊
自引率
0.00%
发文量
0
×
引用
GB/T 7714-2015
复制
MLA
复制
APA
复制
导出至
BibTeX EndNote RefMan NoteFirst NoteExpress
×
提示
您的信息不完整,为了账户安全,请先补充。
现在去补充
×
提示
您因"违规操作"
具体请查看互助需知
我知道了
×
提示
确定
请完成安全验证×
copy
已复制链接
快去分享给好友吧!
我知道了
右上角分享
点击右上角分享
0
联系我们:info@booksci.cn Book学术提供免费学术资源搜索服务,方便国内外学者检索中英文文献。致力于提供最便捷和优质的服务体验。 Copyright © 2023 布克学术 All rights reserved.
京ICP备2023020795号-1
ghs 京公网安备 11010802042870号
Book学术文献互助
Book学术文献互助群
群 号:604180095
Book学术官方微信