使用工具变量分析的结直肠癌手术入路和术后长期生存的变化。

Cody Lendon Mullens, Sarah Sheskey, Edward C Norton, Jyothi R Thumma, Hari Nathan, Scott E Regenbogen, Kyle H Sheetz
{"title":"使用工具变量分析的结直肠癌手术入路和术后长期生存的变化。","authors":"Cody Lendon Mullens, Sarah Sheskey, Edward C Norton, Jyothi R Thumma, Hari Nathan, Scott E Regenbogen, Kyle H Sheetz","doi":"10.1097/AS9.0000000000000538","DOIUrl":null,"url":null,"abstract":"<p><strong>Objective: </strong>The study aimed to determine whether increased use of minimally invasive surgical approaches, compared with open, improves long-term survival after colon and rectal cancer resections.</p><p><strong>Background: </strong>Existing prospective and observational data comparing surgical approach for colon and rectal cancer are limited by selection bias, necessitating better approaches for causal inference to understand the relationship between surgical approach and long-term survival.</p><p><strong>Methods: </strong>We included colon and rectal cancer patients who underwent colon or rectal resection from the American College of Surgeons National Cancer Database between 2011 and 2018. Using an instrumental variable (IV) approach, we accounted for measured and unmeasured differences between patients undergoing colon or rectal cancer resection based on operative approach - robotic, laparoscopic, or open. The IV used in this study was rate of robotic-assisted colon and rectal cancer surgery within 81 different hospital regions based on US Census region and rurality during the 12 months before each patient's operation. Proportional hazard modeling was used to estimate risk-adjusted mortality rates.</p><p><strong>Results: </strong>There were 326,406 colon and 96,979 rectal cancer patients included in this study. The risk-adjusted 5-year cumulative incidence of mortality for colon and rectal cancer was highest for patients who underwent open approaches (35.73 [95% confidence interval {CI}: 35.37-36.1] and 39.27 [95% CI: 28.44-30.13], respectively), compared with lower mortality for those undergoing laparoscopic (28.91 [95% CI: 28.55-29.27] and 22.93 [95% CI: 22.11-23.78], respectively) and robotic approaches (26.39 [95% CI: 24.51-28.42] and 19.77 [95% CI: 17.32-22.43], respectively). Growth in utilization of minimally invasive approaches outpaced improvements in long-term survival.</p><p><strong>Conclusions: </strong>Patients undergoing minimally invasive surgical approaches for colon and rectal cancer had improved long-term survival. However, long-term survival changes did not correlate with the large expansion of minimally invasive approaches, which suggests that growing these approaches is not a viable strategy to improve long-term patient outcomes.</p>","PeriodicalId":72231,"journal":{"name":"Annals of surgery open : perspectives of surgical history, education, and clinical approaches","volume":"6 1","pages":"e538"},"PeriodicalIF":0.0000,"publicationDate":"2025-01-23","publicationTypes":"Journal Article","fieldsOfStudy":null,"isOpenAccess":false,"openAccessPdf":"https://www.ncbi.nlm.nih.gov/pmc/articles/PMC11932609/pdf/","citationCount":"0","resultStr":"{\"title\":\"Surgical Approach and Variation in Long-Term Survival Following Colorectal Cancer Surgery Using Instrumental Variable Analysis.\",\"authors\":\"Cody Lendon Mullens, Sarah Sheskey, Edward C Norton, Jyothi R Thumma, Hari Nathan, Scott E Regenbogen, Kyle H Sheetz\",\"doi\":\"10.1097/AS9.0000000000000538\",\"DOIUrl\":null,\"url\":null,\"abstract\":\"<p><strong>Objective: </strong>The study aimed to determine whether increased use of minimally invasive surgical approaches, compared with open, improves long-term survival after colon and rectal cancer resections.</p><p><strong>Background: </strong>Existing prospective and observational data comparing surgical approach for colon and rectal cancer are limited by selection bias, necessitating better approaches for causal inference to understand the relationship between surgical approach and long-term survival.</p><p><strong>Methods: </strong>We included colon and rectal cancer patients who underwent colon or rectal resection from the American College of Surgeons National Cancer Database between 2011 and 2018. Using an instrumental variable (IV) approach, we accounted for measured and unmeasured differences between patients undergoing colon or rectal cancer resection based on operative approach - robotic, laparoscopic, or open. The IV used in this study was rate of robotic-assisted colon and rectal cancer surgery within 81 different hospital regions based on US Census region and rurality during the 12 months before each patient's operation. Proportional hazard modeling was used to estimate risk-adjusted mortality rates.</p><p><strong>Results: </strong>There were 326,406 colon and 96,979 rectal cancer patients included in this study. The risk-adjusted 5-year cumulative incidence of mortality for colon and rectal cancer was highest for patients who underwent open approaches (35.73 [95% confidence interval {CI}: 35.37-36.1] and 39.27 [95% CI: 28.44-30.13], respectively), compared with lower mortality for those undergoing laparoscopic (28.91 [95% CI: 28.55-29.27] and 22.93 [95% CI: 22.11-23.78], respectively) and robotic approaches (26.39 [95% CI: 24.51-28.42] and 19.77 [95% CI: 17.32-22.43], respectively). Growth in utilization of minimally invasive approaches outpaced improvements in long-term survival.</p><p><strong>Conclusions: </strong>Patients undergoing minimally invasive surgical approaches for colon and rectal cancer had improved long-term survival. However, long-term survival changes did not correlate with the large expansion of minimally invasive approaches, which suggests that growing these approaches is not a viable strategy to improve long-term patient outcomes.</p>\",\"PeriodicalId\":72231,\"journal\":{\"name\":\"Annals of surgery open : perspectives of surgical history, education, and clinical approaches\",\"volume\":\"6 1\",\"pages\":\"e538\"},\"PeriodicalIF\":0.0000,\"publicationDate\":\"2025-01-23\",\"publicationTypes\":\"Journal Article\",\"fieldsOfStudy\":null,\"isOpenAccess\":false,\"openAccessPdf\":\"https://www.ncbi.nlm.nih.gov/pmc/articles/PMC11932609/pdf/\",\"citationCount\":\"0\",\"resultStr\":null,\"platform\":\"Semanticscholar\",\"paperid\":null,\"PeriodicalName\":\"Annals of surgery open : perspectives of surgical history, education, and clinical approaches\",\"FirstCategoryId\":\"1085\",\"ListUrlMain\":\"https://doi.org/10.1097/AS9.0000000000000538\",\"RegionNum\":0,\"RegionCategory\":null,\"ArticlePicture\":[],\"TitleCN\":null,\"AbstractTextCN\":null,\"PMCID\":null,\"EPubDate\":\"2025/3/1 0:00:00\",\"PubModel\":\"eCollection\",\"JCR\":\"\",\"JCRName\":\"\",\"Score\":null,\"Total\":0}","platform":"Semanticscholar","paperid":null,"PeriodicalName":"Annals of surgery open : perspectives of surgical history, education, and clinical approaches","FirstCategoryId":"1085","ListUrlMain":"https://doi.org/10.1097/AS9.0000000000000538","RegionNum":0,"RegionCategory":null,"ArticlePicture":[],"TitleCN":null,"AbstractTextCN":null,"PMCID":null,"EPubDate":"2025/3/1 0:00:00","PubModel":"eCollection","JCR":"","JCRName":"","Score":null,"Total":0}
引用次数: 0

摘要

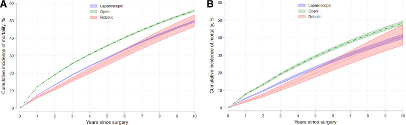
目的:本研究旨在确定与开放手术入路相比,增加微创手术入路的使用是否能提高结肠癌和直肠癌切除术后的长期生存率。背景:现有比较结肠癌和直肠癌手术入路的前瞻性和观察性数据受选择偏倚的限制,需要更好的方法进行因果推理,以了解手术入路与长期生存之间的关系。方法:我们纳入了2011年至2018年期间美国外科医师学会国家癌症数据库中接受结肠或直肠切除术的结肠癌和直肠癌患者。使用工具变量(IV)方法,我们考虑了基于手术入路(机器人、腹腔镜或开放)的结肠或直肠癌切除术患者之间的测量和未测量差异。本研究中使用的IV是基于美国人口普查区和农村地区的81个不同医院区域在每位患者手术前12个月的机器人辅助结肠癌和直肠癌手术率。比例风险模型用于估计风险调整后的死亡率。结果:共纳入326406例结肠癌患者和96979例直肠癌患者。经风险调整后的结肠和直肠癌5年累积死亡率在开放式入路患者中最高(分别为35.73[95%可信区间{CI}: 35.37-36.1]和39.27 [95% CI: 28.44-30.13]),而腹腔镜入路患者的死亡率较低(分别为28.91 [95% CI: 28.55-29.27]和22.93 [95% CI: 22.11-23.78])和机器人入路患者(分别为26.39 [95% CI: 24.51-28.42]和19.77 [95% CI: 17.32-22.43])。微创入路应用的增长超过了长期生存率的提高。结论:行微创手术入路的结肠癌和直肠癌患者的长期生存率提高。然而,长期生存率的变化与微创入路的大规模扩展无关,这表明发展这些入路并不是改善患者长期预后的可行策略。
本文章由计算机程序翻译,如有差异,请以英文原文为准。

Surgical Approach and Variation in Long-Term Survival Following Colorectal Cancer Surgery Using Instrumental Variable Analysis.

Surgical Approach and Variation in Long-Term Survival Following Colorectal Cancer Surgery Using Instrumental Variable Analysis.

Surgical Approach and Variation in Long-Term Survival Following Colorectal Cancer Surgery Using Instrumental Variable Analysis.

Objective: The study aimed to determine whether increased use of minimally invasive surgical approaches, compared with open, improves long-term survival after colon and rectal cancer resections.

Background: Existing prospective and observational data comparing surgical approach for colon and rectal cancer are limited by selection bias, necessitating better approaches for causal inference to understand the relationship between surgical approach and long-term survival.

Methods: We included colon and rectal cancer patients who underwent colon or rectal resection from the American College of Surgeons National Cancer Database between 2011 and 2018. Using an instrumental variable (IV) approach, we accounted for measured and unmeasured differences between patients undergoing colon or rectal cancer resection based on operative approach - robotic, laparoscopic, or open. The IV used in this study was rate of robotic-assisted colon and rectal cancer surgery within 81 different hospital regions based on US Census region and rurality during the 12 months before each patient's operation. Proportional hazard modeling was used to estimate risk-adjusted mortality rates.

Results: There were 326,406 colon and 96,979 rectal cancer patients included in this study. The risk-adjusted 5-year cumulative incidence of mortality for colon and rectal cancer was highest for patients who underwent open approaches (35.73 [95% confidence interval {CI}: 35.37-36.1] and 39.27 [95% CI: 28.44-30.13], respectively), compared with lower mortality for those undergoing laparoscopic (28.91 [95% CI: 28.55-29.27] and 22.93 [95% CI: 22.11-23.78], respectively) and robotic approaches (26.39 [95% CI: 24.51-28.42] and 19.77 [95% CI: 17.32-22.43], respectively). Growth in utilization of minimally invasive approaches outpaced improvements in long-term survival.

Conclusions: Patients undergoing minimally invasive surgical approaches for colon and rectal cancer had improved long-term survival. However, long-term survival changes did not correlate with the large expansion of minimally invasive approaches, which suggests that growing these approaches is not a viable strategy to improve long-term patient outcomes.

求助全文
通过发布文献求助,成功后即可免费获取论文全文。 去求助
来源期刊
自引率
0.00%
发文量
0
审稿时长
3 weeks
×
引用
GB/T 7714-2015
复制
MLA
复制
APA
复制
导出至
BibTeX EndNote RefMan NoteFirst NoteExpress
×
提示
您的信息不完整,为了账户安全,请先补充。
现在去补充
×
提示
您因"违规操作"
具体请查看互助需知
我知道了
×
提示
确定
请完成安全验证×
copy
已复制链接
快去分享给好友吧!
我知道了
右上角分享
点击右上角分享
0
联系我们:info@booksci.cn Book学术提供免费学术资源搜索服务,方便国内外学者检索中英文文献。致力于提供最便捷和优质的服务体验。 Copyright © 2023 布克学术 All rights reserved.
京ICP备2023020795号-1
ghs 京公网安备 11010802042870号
Book学术文献互助
Book学术文献互助群
群 号:604180095
Book学术官方微信