计划家庭分娩中未接受新生儿筛查与婴儿预防性健康实践相关:一项回顾性病例对照研究

IF 4 Q1 GENETICS & HEREDITY
Chen Stein-Zamir, Hanna Shoob, Sandra Katan, Gina Verbov, Shlomo Almashanu
{"title":"计划家庭分娩中未接受新生儿筛查与婴儿预防性健康实践相关:一项回顾性病例对照研究","authors":"Chen Stein-Zamir, Hanna Shoob, Sandra Katan, Gina Verbov, Shlomo Almashanu","doi":"10.3390/ijns11010015","DOIUrl":null,"url":null,"abstract":"<p><p>Universal Newborn Screening (NBS) programs (for endocrine, immunologic and metabolic disorders) are effective in reducing child morbidity and mortality. Despite available health services, NBS is not carried out for some newborns. The contributing factors for this should be explored. In high-income settings, homebirth generally refers to planned birth at home, attended by skilled health professionals. We aimed to assess trends and characteristics of planned homebirths and the uptake of NBS and infant health practices. A retrospective case-control study including 3246 infants compared planned homebirth (cases) to age-matched hospital birth controls. During 2016-2023, 0.56% of livebirths (1623/290,458) in the Jerusalem District (JD), Israel, were planned homebirths. The rate has increased since 2020 (COVID-19 pandemic), 0.45% in 2016-2019 vs. 0.67% in 2020-2023. Homebirth infants had a higher birthweight, lower firstborn rate and higher socioeconomic rank. The overall NBS uptake in homebirths was significantly lower (73.7% vs. 99.5% in hospital births) and declined over time (81.1% in 2016-2019 vs. 68.7% in 2020-2023). Regarding preventive health practices for homebirth infants, the registration rate to Mother and Child Health Clinics (MCHCs) was lower (47.1% vs. 92.8% in hospital births), and routine immunization rates were decreased (DTaP-IPV-HiB3 90.7% vs. 60.1%). The NBS uptake among homebirth infants was significantly associated with MCHC registration and routine immunizations (RR = 4.15, 95%CI 3.3-5.3). NBS uptake in homebirths is considerably lower and is associated with subsequent patterns of preventive health practices. Notably, the national NBS program data also indicate a trend of increase in non-uptake rates. Barriers to NBS for homebirths should be identified and targeted interventions implemented. The trends in national NBS non-uptake necessitate further follow-up, and evidence from successful outreach programs should be reviewed and translated into guidelines for health organizations.</p>","PeriodicalId":14159,"journal":{"name":"International Journal of Neonatal Screening","volume":"11 1","pages":""},"PeriodicalIF":4.0000,"publicationDate":"2025-02-21","publicationTypes":"Journal Article","fieldsOfStudy":null,"isOpenAccess":false,"openAccessPdf":"https://www.ncbi.nlm.nih.gov/pmc/articles/PMC11942714/pdf/","citationCount":"0","resultStr":"{\"title\":\"Non-Uptake of Newborn Screening in Planned Homebirth Is Associated with Preventive Health Practices for Infants: A Retrospective Case-Control Study.\",\"authors\":\"Chen Stein-Zamir, Hanna Shoob, Sandra Katan, Gina Verbov, Shlomo Almashanu\",\"doi\":\"10.3390/ijns11010015\",\"DOIUrl\":null,\"url\":null,\"abstract\":\"<p><p>Universal Newborn Screening (NBS) programs (for endocrine, immunologic and metabolic disorders) are effective in reducing child morbidity and mortality. Despite available health services, NBS is not carried out for some newborns. The contributing factors for this should be explored. In high-income settings, homebirth generally refers to planned birth at home, attended by skilled health professionals. We aimed to assess trends and characteristics of planned homebirths and the uptake of NBS and infant health practices. A retrospective case-control study including 3246 infants compared planned homebirth (cases) to age-matched hospital birth controls. During 2016-2023, 0.56% of livebirths (1623/290,458) in the Jerusalem District (JD), Israel, were planned homebirths. The rate has increased since 2020 (COVID-19 pandemic), 0.45% in 2016-2019 vs. 0.67% in 2020-2023. Homebirth infants had a higher birthweight, lower firstborn rate and higher socioeconomic rank. The overall NBS uptake in homebirths was significantly lower (73.7% vs. 99.5% in hospital births) and declined over time (81.1% in 2016-2019 vs. 68.7% in 2020-2023). Regarding preventive health practices for homebirth infants, the registration rate to Mother and Child Health Clinics (MCHCs) was lower (47.1% vs. 92.8% in hospital births), and routine immunization rates were decreased (DTaP-IPV-HiB3 90.7% vs. 60.1%). The NBS uptake among homebirth infants was significantly associated with MCHC registration and routine immunizations (RR = 4.15, 95%CI 3.3-5.3). NBS uptake in homebirths is considerably lower and is associated with subsequent patterns of preventive health practices. Notably, the national NBS program data also indicate a trend of increase in non-uptake rates. Barriers to NBS for homebirths should be identified and targeted interventions implemented. The trends in national NBS non-uptake necessitate further follow-up, and evidence from successful outreach programs should be reviewed and translated into guidelines for health organizations.</p>\",\"PeriodicalId\":14159,\"journal\":{\"name\":\"International Journal of Neonatal Screening\",\"volume\":\"11 1\",\"pages\":\"\"},\"PeriodicalIF\":4.0000,\"publicationDate\":\"2025-02-21\",\"publicationTypes\":\"Journal Article\",\"fieldsOfStudy\":null,\"isOpenAccess\":false,\"openAccessPdf\":\"https://www.ncbi.nlm.nih.gov/pmc/articles/PMC11942714/pdf/\",\"citationCount\":\"0\",\"resultStr\":null,\"platform\":\"Semanticscholar\",\"paperid\":null,\"PeriodicalName\":\"International Journal of Neonatal Screening\",\"FirstCategoryId\":\"1085\",\"ListUrlMain\":\"https://doi.org/10.3390/ijns11010015\",\"RegionNum\":0,\"RegionCategory\":null,\"ArticlePicture\":[],\"TitleCN\":null,\"AbstractTextCN\":null,\"PMCID\":null,\"EPubDate\":\"\",\"PubModel\":\"\",\"JCR\":\"Q1\",\"JCRName\":\"GENETICS & HEREDITY\",\"Score\":null,\"Total\":0}","platform":"Semanticscholar","paperid":null,"PeriodicalName":"International Journal of Neonatal Screening","FirstCategoryId":"1085","ListUrlMain":"https://doi.org/10.3390/ijns11010015","RegionNum":0,"RegionCategory":null,"ArticlePicture":[],"TitleCN":null,"AbstractTextCN":null,"PMCID":null,"EPubDate":"","PubModel":"","JCR":"Q1","JCRName":"GENETICS & HEREDITY","Score":null,"Total":0}
引用次数: 0

摘要

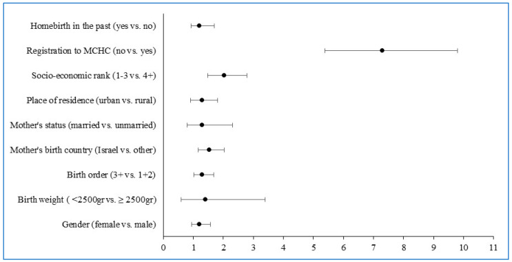
新生儿普遍筛查(NBS)项目(针对内分泌、免疫和代谢紊乱)在降低儿童发病率和死亡率方面是有效的。尽管有保健服务,但没有对一些新生儿实施国家统计局。应该探讨造成这种情况的因素。在高收入环境中,家庭分娩一般指在家中计划生育,由熟练的保健专业人员助产。我们的目的是评估计划在家分娩的趋势和特征,以及国家统计局和婴儿健康实践的吸收。一项包括3246名婴儿的回顾性病例对照研究比较了计划在家分娩(例)和年龄匹配的医院节育。2016-2023年期间,以色列耶路撒冷地区(JD) 0.56%的活产(1623/290,458)为计划在家分娩。自2020年(COVID-19大流行)以来,这一比例有所上升,2016-2019年为0.45%,2020-2023年为0.67%。家中出生的婴儿出生体重高,头胎率低,社会经济地位高。在家分娩的国家统计局总体接纳率明显较低(73.7%对99.5%),并随着时间的推移而下降(2016-2019年为81.1%对2020-2023年为68.7%)。在家中出生婴儿的预防性保健实践方面,母婴保健诊所(MCHCs)的登记率较低(47.1%比医院出生的92.8%),常规免疫率下降(dtap - ipvv - hib3 90.7%比60.1%)。家中出生婴儿的NBS摄取与妇幼保健中心登记和常规免疫接种显著相关(RR = 4.15, 95%CI 3.3-5.3)。在家庭分娩中,国家统计局的吸收要低得多,这与随后的预防性保健做法模式有关。值得注意的是,国家统计局的项目数据也表明,不吸收率呈上升趋势。应该确定国家统计局对家庭分娩的障碍,并实施有针对性的干预措施。国家不采用国家统计局的趋势需要进一步的随访,并且应该审查成功的推广计划的证据并将其转化为卫生组织的指导方针。
本文章由计算机程序翻译,如有差异,请以英文原文为准。

Non-Uptake of Newborn Screening in Planned Homebirth Is Associated with Preventive Health Practices for Infants: A Retrospective Case-Control Study.

Non-Uptake of Newborn Screening in Planned Homebirth Is Associated with Preventive Health Practices for Infants: A Retrospective Case-Control Study.

Non-Uptake of Newborn Screening in Planned Homebirth Is Associated with Preventive Health Practices for Infants: A Retrospective Case-Control Study.

Non-Uptake of Newborn Screening in Planned Homebirth Is Associated with Preventive Health Practices for Infants: A Retrospective Case-Control Study.

Universal Newborn Screening (NBS) programs (for endocrine, immunologic and metabolic disorders) are effective in reducing child morbidity and mortality. Despite available health services, NBS is not carried out for some newborns. The contributing factors for this should be explored. In high-income settings, homebirth generally refers to planned birth at home, attended by skilled health professionals. We aimed to assess trends and characteristics of planned homebirths and the uptake of NBS and infant health practices. A retrospective case-control study including 3246 infants compared planned homebirth (cases) to age-matched hospital birth controls. During 2016-2023, 0.56% of livebirths (1623/290,458) in the Jerusalem District (JD), Israel, were planned homebirths. The rate has increased since 2020 (COVID-19 pandemic), 0.45% in 2016-2019 vs. 0.67% in 2020-2023. Homebirth infants had a higher birthweight, lower firstborn rate and higher socioeconomic rank. The overall NBS uptake in homebirths was significantly lower (73.7% vs. 99.5% in hospital births) and declined over time (81.1% in 2016-2019 vs. 68.7% in 2020-2023). Regarding preventive health practices for homebirth infants, the registration rate to Mother and Child Health Clinics (MCHCs) was lower (47.1% vs. 92.8% in hospital births), and routine immunization rates were decreased (DTaP-IPV-HiB3 90.7% vs. 60.1%). The NBS uptake among homebirth infants was significantly associated with MCHC registration and routine immunizations (RR = 4.15, 95%CI 3.3-5.3). NBS uptake in homebirths is considerably lower and is associated with subsequent patterns of preventive health practices. Notably, the national NBS program data also indicate a trend of increase in non-uptake rates. Barriers to NBS for homebirths should be identified and targeted interventions implemented. The trends in national NBS non-uptake necessitate further follow-up, and evidence from successful outreach programs should be reviewed and translated into guidelines for health organizations.

求助全文
通过发布文献求助,成功后即可免费获取论文全文。 去求助
来源期刊
International Journal of Neonatal Screening
International Journal of Neonatal Screening Medicine-Pediatrics, Perinatology and Child Health
CiteScore
6.70
自引率
20.00%
发文量
56
审稿时长
11 weeks
×
引用
GB/T 7714-2015
复制
MLA
复制
APA
复制
导出至
BibTeX EndNote RefMan NoteFirst NoteExpress
×
提示
您的信息不完整,为了账户安全,请先补充。
现在去补充
×
提示
您因"违规操作"
具体请查看互助需知
我知道了
×
提示
确定
请完成安全验证×
copy
已复制链接
快去分享给好友吧!
我知道了
右上角分享
点击右上角分享
0
联系我们:info@booksci.cn Book学术提供免费学术资源搜索服务,方便国内外学者检索中英文文献。致力于提供最便捷和优质的服务体验。 Copyright © 2023 布克学术 All rights reserved.
京ICP备2023020795号-1
ghs 京公网安备 11010802042870号
Book学术文献互助
Book学术文献互助群
群 号:604180095
Book学术官方微信