I型干扰素标记:临床应用的定量标准化方法。

IF 3.8 3区 医学 Q3 IMMUNOLOGY
Alessandra Tesser, Paola Bocca, Massimo Ulivi, Alessia Pin, Claudia Pastorino, Davide Cangelosi, Elettra Santori, Enrico Drago, Roberta Caorsi, Fabio Candotti, Marco Gattorno, Alberto Tommasini, Stefano Volpi
{"title":"I型干扰素标记:临床应用的定量标准化方法。","authors":"Alessandra Tesser, Paola Bocca, Massimo Ulivi, Alessia Pin, Claudia Pastorino, Davide Cangelosi, Elettra Santori, Enrico Drago, Roberta Caorsi, Fabio Candotti, Marco Gattorno, Alberto Tommasini, Stefano Volpi","doi":"10.1093/cei/uxaf018","DOIUrl":null,"url":null,"abstract":"<p><p>Type I Interferon (IFN) induced gene expression analysis (\"IFN signature\") is employed to categorize pathological conditions that exhibit Type I IFN dysregulation and to direct customized therapeutic strategies. For instance, it is used to differentiate patients with IFN-related inflammation from those with conditions primarily mediated by other cytokines, such as juvenile idiopathic arthritis and periodic fevers. Nevertheless, there is currently no standardized method available for clinical practice, and comparing values at different time points or between centers poses a challenge. In this work, we described a standardized method based on the development and validation of a synthetic control to solve the problem of test comparison. Inter-assay and inter-laboratory variability were assessed by multiple repeated analyses within the same laboratory, and between two different laboratories involved in the study. The method has been validated by evaluating the IFN signature of 39 patients with inflammatory disorders known to be related or not to Type I IFN (i.e. monogenic interferonopathies, systemic lupus erythematosus, juvenile dermatomyositis, periodic fevers, and juvenile idiopathic arthritis). The proposed method proved to be highly reproducible among centers and able to discriminate among IFN-related or non-IFN-related inflammation. The use of a synthetic control minimized the inter-assay and inter-laboratory variability, and thus facilitate data sharing among centers to improve knowledge of IFN-related inflammation and patient's care.</p>","PeriodicalId":10268,"journal":{"name":"Clinical and experimental immunology","volume":" ","pages":""},"PeriodicalIF":3.8000,"publicationDate":"2025-01-21","publicationTypes":"Journal Article","fieldsOfStudy":null,"isOpenAccess":false,"openAccessPdf":"https://www.ncbi.nlm.nih.gov/pmc/articles/PMC12023162/pdf/","citationCount":"0","resultStr":"{\"title\":\"Type I interferon signature: a quantitative standardized method for clinical application.\",\"authors\":\"Alessandra Tesser, Paola Bocca, Massimo Ulivi, Alessia Pin, Claudia Pastorino, Davide Cangelosi, Elettra Santori, Enrico Drago, Roberta Caorsi, Fabio Candotti, Marco Gattorno, Alberto Tommasini, Stefano Volpi\",\"doi\":\"10.1093/cei/uxaf018\",\"DOIUrl\":null,\"url\":null,\"abstract\":\"<p><p>Type I Interferon (IFN) induced gene expression analysis (\\\"IFN signature\\\") is employed to categorize pathological conditions that exhibit Type I IFN dysregulation and to direct customized therapeutic strategies. For instance, it is used to differentiate patients with IFN-related inflammation from those with conditions primarily mediated by other cytokines, such as juvenile idiopathic arthritis and periodic fevers. Nevertheless, there is currently no standardized method available for clinical practice, and comparing values at different time points or between centers poses a challenge. In this work, we described a standardized method based on the development and validation of a synthetic control to solve the problem of test comparison. Inter-assay and inter-laboratory variability were assessed by multiple repeated analyses within the same laboratory, and between two different laboratories involved in the study. The method has been validated by evaluating the IFN signature of 39 patients with inflammatory disorders known to be related or not to Type I IFN (i.e. monogenic interferonopathies, systemic lupus erythematosus, juvenile dermatomyositis, periodic fevers, and juvenile idiopathic arthritis). The proposed method proved to be highly reproducible among centers and able to discriminate among IFN-related or non-IFN-related inflammation. The use of a synthetic control minimized the inter-assay and inter-laboratory variability, and thus facilitate data sharing among centers to improve knowledge of IFN-related inflammation and patient's care.</p>\",\"PeriodicalId\":10268,\"journal\":{\"name\":\"Clinical and experimental immunology\",\"volume\":\" \",\"pages\":\"\"},\"PeriodicalIF\":3.8000,\"publicationDate\":\"2025-01-21\",\"publicationTypes\":\"Journal Article\",\"fieldsOfStudy\":null,\"isOpenAccess\":false,\"openAccessPdf\":\"https://www.ncbi.nlm.nih.gov/pmc/articles/PMC12023162/pdf/\",\"citationCount\":\"0\",\"resultStr\":null,\"platform\":\"Semanticscholar\",\"paperid\":null,\"PeriodicalName\":\"Clinical and experimental immunology\",\"FirstCategoryId\":\"3\",\"ListUrlMain\":\"https://doi.org/10.1093/cei/uxaf018\",\"RegionNum\":3,\"RegionCategory\":\"医学\",\"ArticlePicture\":[],\"TitleCN\":null,\"AbstractTextCN\":null,\"PMCID\":null,\"EPubDate\":\"\",\"PubModel\":\"\",\"JCR\":\"Q3\",\"JCRName\":\"IMMUNOLOGY\",\"Score\":null,\"Total\":0}","platform":"Semanticscholar","paperid":null,"PeriodicalName":"Clinical and experimental immunology","FirstCategoryId":"3","ListUrlMain":"https://doi.org/10.1093/cei/uxaf018","RegionNum":3,"RegionCategory":"医学","ArticlePicture":[],"TitleCN":null,"AbstractTextCN":null,"PMCID":null,"EPubDate":"","PubModel":"","JCR":"Q3","JCRName":"IMMUNOLOGY","Score":null,"Total":0}
引用次数: 0

摘要

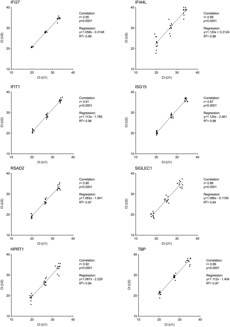
I型干扰素(IFN)诱导的基因表达分析(“IFN特征”)用于对表现出I型IFN失调的病理状况进行分类,并指导定制治疗策略。例如,它可用于区分ifn相关炎症患者与主要由其他细胞因子介导的炎症患者,如幼年特发性关节炎和周期性发热。然而,目前没有标准化的方法可用于临床实践,比较不同时间点或中心之间的值是一个挑战。在这项工作中,我们描述了一种基于综合控制的开发和验证的标准化方法来解决测试比较问题。通过在同一实验室和参与研究的两个不同实验室进行多次重复分析,评估了测定间和实验室间的变异性。通过评估39例已知与I型IFN相关或无关的炎症性疾病(即单基因干扰素病、SLE、幼年皮肌炎、周期性发热、幼年特发性关节炎)的IFN特征,该方法得到了验证。所提出的方法被证明在中心之间具有高度可重复性,并且能够区分ifn相关或非ifn相关的炎症。合成对照的使用最大限度地减少了检测间和实验室间的差异,从而促进了中心之间的数据共享,从而提高了对ifn相关炎症和患者护理的认识。
本文章由计算机程序翻译,如有差异,请以英文原文为准。

Type I interferon signature: a quantitative standardized method for clinical application.

Type I interferon signature: a quantitative standardized method for clinical application.

Type I interferon signature: a quantitative standardized method for clinical application.

Type I interferon signature: a quantitative standardized method for clinical application.

Type I Interferon (IFN) induced gene expression analysis ("IFN signature") is employed to categorize pathological conditions that exhibit Type I IFN dysregulation and to direct customized therapeutic strategies. For instance, it is used to differentiate patients with IFN-related inflammation from those with conditions primarily mediated by other cytokines, such as juvenile idiopathic arthritis and periodic fevers. Nevertheless, there is currently no standardized method available for clinical practice, and comparing values at different time points or between centers poses a challenge. In this work, we described a standardized method based on the development and validation of a synthetic control to solve the problem of test comparison. Inter-assay and inter-laboratory variability were assessed by multiple repeated analyses within the same laboratory, and between two different laboratories involved in the study. The method has been validated by evaluating the IFN signature of 39 patients with inflammatory disorders known to be related or not to Type I IFN (i.e. monogenic interferonopathies, systemic lupus erythematosus, juvenile dermatomyositis, periodic fevers, and juvenile idiopathic arthritis). The proposed method proved to be highly reproducible among centers and able to discriminate among IFN-related or non-IFN-related inflammation. The use of a synthetic control minimized the inter-assay and inter-laboratory variability, and thus facilitate data sharing among centers to improve knowledge of IFN-related inflammation and patient's care.

求助全文
通过发布文献求助,成功后即可免费获取论文全文。 去求助
来源期刊
CiteScore
8.40
自引率
2.20%
发文量
101
审稿时长
3-8 weeks
期刊介绍: Clinical & Experimental Immunology (established in 1966) is an authoritative international journal publishing high-quality research studies in translational and clinical immunology that have the potential to transform our understanding of the immunopathology of human disease and/or change clinical practice. The journal is focused on translational and clinical immunology and is among the foremost journals in this field, attracting high-quality papers from across the world. Translation is viewed as a process of applying ideas, insights and discoveries generated through scientific studies to the treatment, prevention or diagnosis of human disease. Clinical immunology has evolved as a field to encompass the application of state-of-the-art technologies such as next-generation sequencing, metagenomics and high-dimensional phenotyping to understand mechanisms that govern the outcomes of clinical trials.
×
引用
GB/T 7714-2015
复制
MLA
复制
APA
复制
导出至
BibTeX EndNote RefMan NoteFirst NoteExpress
×
提示
您的信息不完整,为了账户安全,请先补充。
现在去补充
×
提示
您因"违规操作"
具体请查看互助需知
我知道了
×
提示
确定
请完成安全验证×
copy
已复制链接
快去分享给好友吧!
我知道了
右上角分享
点击右上角分享
0
联系我们:info@booksci.cn Book学术提供免费学术资源搜索服务,方便国内外学者检索中英文文献。致力于提供最便捷和优质的服务体验。 Copyright © 2023 布克学术 All rights reserved.
京ICP备2023020795号-1
ghs 京公网安备 11010802042870号
Book学术文献互助
Book学术文献互助群
群 号:604180095
Book学术官方微信