曲线对称幂的二次欧拉特性。

IF 0.6 4区 数学 Q3 MATHEMATICS
Manuscripta Mathematica Pub Date : 2025-01-01 Epub Date: 2025-03-20 DOI:10.1007/s00229-025-01623-0
Lukas F Bröring, Anna M Viergever
{"title":"曲线对称幂的二次欧拉特性。","authors":"Lukas F Bröring, Anna M Viergever","doi":"10.1007/s00229-025-01623-0","DOIUrl":null,"url":null,"abstract":"<p><p>We compute the quadratic Euler characteristic of the symmetric powers of a smooth, projective curve over any field <i>k</i> that is not of characteristic two, using the Motivic Gauss-Bonnet Theorem of Levine-Raksit. As an application, we show that the power structure on the Grothendieck-Witt ring introduced by Pajwani-Pál computes the compactly supported <math> <msup><mrow><mi>A</mi></mrow> <mn>1</mn></msup> </math> -Euler characteristic of symmetric powers for all curves.</p>","PeriodicalId":49887,"journal":{"name":"Manuscripta Mathematica","volume":"176 2","pages":"26"},"PeriodicalIF":0.6000,"publicationDate":"2025-01-01","publicationTypes":"Journal Article","fieldsOfStudy":null,"isOpenAccess":false,"openAccessPdf":"https://www.ncbi.nlm.nih.gov/pmc/articles/PMC11926038/pdf/","citationCount":"0","resultStr":"{\"title\":\"Quadratic Euler characteristic of symmetric powers of curves.\",\"authors\":\"Lukas F Bröring, Anna M Viergever\",\"doi\":\"10.1007/s00229-025-01623-0\",\"DOIUrl\":null,\"url\":null,\"abstract\":\"<p><p>We compute the quadratic Euler characteristic of the symmetric powers of a smooth, projective curve over any field <i>k</i> that is not of characteristic two, using the Motivic Gauss-Bonnet Theorem of Levine-Raksit. As an application, we show that the power structure on the Grothendieck-Witt ring introduced by Pajwani-Pál computes the compactly supported <math> <msup><mrow><mi>A</mi></mrow> <mn>1</mn></msup> </math> -Euler characteristic of symmetric powers for all curves.</p>\",\"PeriodicalId\":49887,\"journal\":{\"name\":\"Manuscripta Mathematica\",\"volume\":\"176 2\",\"pages\":\"26\"},\"PeriodicalIF\":0.6000,\"publicationDate\":\"2025-01-01\",\"publicationTypes\":\"Journal Article\",\"fieldsOfStudy\":null,\"isOpenAccess\":false,\"openAccessPdf\":\"https://www.ncbi.nlm.nih.gov/pmc/articles/PMC11926038/pdf/\",\"citationCount\":\"0\",\"resultStr\":null,\"platform\":\"Semanticscholar\",\"paperid\":null,\"PeriodicalName\":\"Manuscripta Mathematica\",\"FirstCategoryId\":\"100\",\"ListUrlMain\":\"https://doi.org/10.1007/s00229-025-01623-0\",\"RegionNum\":4,\"RegionCategory\":\"数学\",\"ArticlePicture\":[],\"TitleCN\":null,\"AbstractTextCN\":null,\"PMCID\":null,\"EPubDate\":\"2025/3/20 0:00:00\",\"PubModel\":\"Epub\",\"JCR\":\"Q3\",\"JCRName\":\"MATHEMATICS\",\"Score\":null,\"Total\":0}","platform":"Semanticscholar","paperid":null,"PeriodicalName":"Manuscripta Mathematica","FirstCategoryId":"100","ListUrlMain":"https://doi.org/10.1007/s00229-025-01623-0","RegionNum":4,"RegionCategory":"数学","ArticlePicture":[],"TitleCN":null,"AbstractTextCN":null,"PMCID":null,"EPubDate":"2025/3/20 0:00:00","PubModel":"Epub","JCR":"Q3","JCRName":"MATHEMATICS","Score":null,"Total":0}
引用次数: 0

摘要

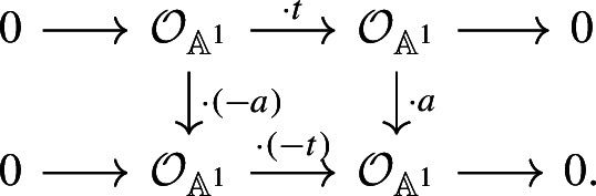
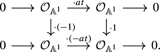
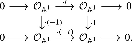
我们利用Levine-Raksit的动机高斯-博内定理,计算了任意场k上不具有特征二的光滑投影曲线的对称幂的二次欧拉特征。作为一个应用,我们证明了Pajwani-Pál引入的Grothendieck-Witt环上的幂结构计算了所有曲线对称幂的紧支A 1 -欧拉特性。
本文章由计算机程序翻译,如有差异,请以英文原文为准。

Quadratic Euler characteristic of symmetric powers of curves.

Quadratic Euler characteristic of symmetric powers of curves.

Quadratic Euler characteristic of symmetric powers of curves.

Quadratic Euler characteristic of symmetric powers of curves.

We compute the quadratic Euler characteristic of the symmetric powers of a smooth, projective curve over any field k that is not of characteristic two, using the Motivic Gauss-Bonnet Theorem of Levine-Raksit. As an application, we show that the power structure on the Grothendieck-Witt ring introduced by Pajwani-Pál computes the compactly supported A 1 -Euler characteristic of symmetric powers for all curves.

求助全文
通过发布文献求助,成功后即可免费获取论文全文。 去求助
来源期刊
Manuscripta Mathematica
Manuscripta Mathematica 数学-数学
CiteScore
1.40
自引率
0.00%
发文量
86
审稿时长
6-12 weeks
期刊介绍: manuscripta mathematica was founded in 1969 to provide a forum for the rapid communication of advances in mathematical research. Edited by an international board whose members represent a wide spectrum of research interests, manuscripta mathematica is now recognized as a leading source of information on the latest mathematical results.
×
引用
GB/T 7714-2015
复制
MLA
复制
APA
复制
导出至
BibTeX EndNote RefMan NoteFirst NoteExpress
×
提示
您的信息不完整,为了账户安全,请先补充。
现在去补充
×
提示
您因"违规操作"
具体请查看互助需知
我知道了
×
提示
确定
请完成安全验证×
copy
已复制链接
快去分享给好友吧!
我知道了
右上角分享
点击右上角分享
0
联系我们:info@booksci.cn Book学术提供免费学术资源搜索服务,方便国内外学者检索中英文文献。致力于提供最便捷和优质的服务体验。 Copyright © 2023 布克学术 All rights reserved.
京ICP备2023020795号-1
ghs 京公网安备 11010802042870号
Book学术文献互助
Book学术文献互助群
群 号:604180095
Book学术官方微信